Click here to close
Hello! We notice that you are using Internet Explorer, which is not supported by Xenbase and may cause the site to display incorrectly.
We suggest using a current version of Chrome,
FireFox, or Safari.
Sci Rep
2015 Jan 12;5:11157. doi: 10.1038/srep11157.
Show Gene links
Show Anatomy links
Intracellular microRNA profiles form in the Xenopus laevis oocyte that may contribute to asymmetric cell division.
Sidova M, Sindelka R, Castoldi M, Benes V, Kubista M.
???displayArticle.abstract???
Asymmetric distribution of fate determinants within cells is an essential biological strategy to prepare them for asymmetric division. In this work we measure the intracellular distribution of 12 maternal microRNAs (miRNA) along the animal-vegetal axis of the Xenopus laevis oocyte using qPCR tomography. We find the miRNAs have distinct intracellular profiles that resemble two out of the three profiles we previously observed for mRNAs. Our results suggest that miRNAs in addition to proteins and mRNAs may have asymmetric distribution within the oocyte and may contribute to asymmetric cell division as cell fate determinants.
Figure 1. a. Individual intracellular profiles of miR-16c, miR-18b, miR-20b, miR-93a, miR-363-3p and miR-5102-5p predominantly localized in the center of the oocyte with slight asymmetry towards the animal hemisphere. Blue lines indicate oocytes from the first female and green lines indicate oocytes from the second female. b. Individual intracellular profiles of miR-19b, miR-22, miR-25, miR-100, miR-148b, and miR-221 localized in the vegetal hemisphere. Red lines indicate oocytes from the first female and orange lines indicate oocytes from the second female. Y-axis indicates relative quantity and x-axis indicates the section from the animal pole (section A) to vegetal pole (section E).
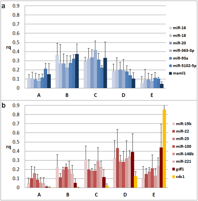
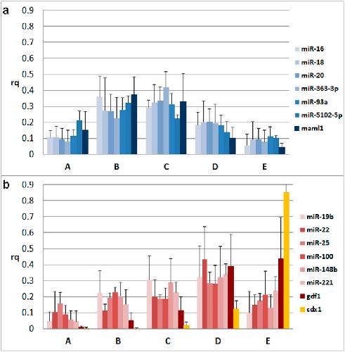
Figure 2. Intracellular profiles of the miRNAs and the selected reference mRNAs measured using qPCR tomography (maml1- dark blue, gdf1 â dark red, cdx1 - yellow).Y-axis indicates relative quantity and x-axis indicates the section from the animal pole (section A) to vegetal pole (section E). a. Spatial profiles of miR-16c, miR-18b, miR-20b, miR-93a, miR-363-3p and miR-5102-5p (indicated in blue scale), which are predominant in the animal hemisphere like the mRNA maml1 (dark blue). b. Intracellular profiles of miR-19b, miR-22, miR-25, miR-100, miR-148b, and miR-221 (indicated in red scale), which are predominant in the vegetal hemisphere like the mRNA gdf1 (dark red). Also shown is the mRNA cdx1 (yellow), which has an extreme vegetal profile.
Figure 3. Hierarchical clustering(a) and SOM classification (b) of intracellular profiles along the animal-vegetal axis of the Xenopus laevis oocyte. The hierarchical clustering is presented in a dendrogram, where the similarity between miRNAs/mRNAs is indicated by the distance at which they are joined. Both the dendrogram and the SOM clearly separate the miRNA and mRNA profiles into two clusters. miR-16c, miR-18b, miR-20b, miR-93a, miR-363-3p and miR-5102-5p (light blue) cluster with animally localized mRNA maml1 (dark blue), while miR-19b, miR-22, miR-25, miR-100, miR-148b, and miR-221 (light red) cluster with vegetally localized gdf1 (dark red) and cdx1 (yellow) mRNAs.
Figure 4. Sequences of the studied miRNAs and their predicted target mRNAs (animal mRNAs are shown in blue, vegetal mRNAs in red).Target prediction was performed using MicroCosm Targets Version 5 database (http://www.ebi.ac.uk/enright-srv/microcosm/htdocs/targets/v5/). The conservation is indicated by colored bases: red color indicates high evolutionary conservation, while blue color indicates low conservation. A sequence of miR-5102-5p indicated in black and two nucleotides on the 3´ end of miR-363-3p were not found in the database. Yellow boxes indicate miRNA seed sequences (from 2nd to the 8th nucleotide in the 5´ end).
Ambady,
Identification of novel microRNAs in Xenopus laevis metaphase II arrested eggs.
2012, Pubmed,
Xenbase
Ambady,
Identification of novel microRNAs in Xenopus laevis metaphase II arrested eggs.
2012,
Pubmed
,
Xenbase Benes,
Identification of cytokine-induced modulation of microRNA expression and secretion as measured by a novel microRNA specific qPCR assay.
2015,
Pubmed Bubunenko,
A consensus RNA signal that directs germ layer determinants to the vegetal cortex of Xenopus oocytes.
2002,
Pubmed
,
Xenbase Castoldi,
The liver-specific microRNA miR-122 controls systemic iron homeostasis in mice.
2011,
Pubmed Cuykendall,
Identification of germ plasm-associated transcripts by microarray analysis of Xenopus vegetal cortex RNA.
2010,
Pubmed
,
Xenbase Deshler,
Localization of Xenopus Vg1 mRNA by Vera protein and the endoplasmic reticulum.
1997,
Pubmed
,
Xenbase Ephrussi,
Induction of germ cell formation by oskar.
1992,
Pubmed Flachsova,
Single blastomere expression profiling of Xenopus laevis embryos of 8 to 32-cells reveals developmental asymmetry.
2013,
Pubmed
,
Xenbase Gautreau,
Two copies of a subelement from the Vg1 RNA localization sequence are sufficient to direct vegetal localization in Xenopus oocytes.
1997,
Pubmed
,
Xenbase Gurdon,
Changes in somatic cell nuclei inserted into growing and maturing amphibian oocytes.
1968,
Pubmed
,
Xenbase Hashimoto,
Localized maternal factors are required for zebrafish germ cell formation.
2004,
Pubmed Hibio,
Stability of miRNA 5'terminal and seed regions is correlated with experimentally observed miRNA-mediated silencing efficacy.
2012,
Pubmed Houston,
Regulation of cell polarity and RNA localization in vertebrate oocytes.
2013,
Pubmed
,
Xenbase Howley,
mRNA localization patterns in zebrafish oocytes.
2000,
Pubmed Ibberson,
RNA degradation compromises the reliability of microRNA expression profiling.
2009,
Pubmed Jenny,
A translation-independent role of oskar RNA in early Drosophila oogenesis.
2006,
Pubmed Jullien,
Mechanisms of nuclear reprogramming by eggs and oocytes: a deterministic process?
2011,
Pubmed
,
Xenbase King,
Putting RNAs in the right place at the right time: RNA localization in the frog oocyte.
2005,
Pubmed
,
Xenbase King,
Polarizing genetic information in the egg: RNA localization in the frog oocyte.
1999,
Pubmed
,
Xenbase Kloc,
Organization of cytokeratin cytoskeleton and germ plasm in the vegetal cortex of Xenopus laevis oocytes depends on coding and non-coding RNAs: three-dimensional and ultrastructural analysis.
2007,
Pubmed
,
Xenbase Kloc,
Two distinct pathways for the localization of RNAs at the vegetal cortex in Xenopus oocytes.
1995,
Pubmed
,
Xenbase Kloc,
Teachings from the egg: new and unexpected functions of RNAs.
2009,
Pubmed
,
Xenbase Kloc,
Binary function of mRNA.
2011,
Pubmed
,
Xenbase Kloc,
RNA localization and germ cell determination in Xenopus.
2001,
Pubmed
,
Xenbase Kloc,
RNA localization mechanisms in oocytes.
2005,
Pubmed Kloc,
Potential structural role of non-coding and coding RNAs in the organization of the cytoskeleton at the vegetal cortex of Xenopus oocytes.
2005,
Pubmed
,
Xenbase Lewis,
Conserved and clustered RNA recognition sequences are a critical feature of signals directing RNA localization in Xenopus oocytes.
2004,
Pubmed
,
Xenbase Mercer,
Expression of distinct RNAs from 3' untranslated regions.
2011,
Pubmed Mowry,
RNA sorting in Xenopus oocytes and embryos.
1999,
Pubmed
,
Xenbase Pandur,
Multiple maternal influences on dorsal-ventral fate of Xenopus animal blastomeres.
2002,
Pubmed
,
Xenbase Sindelka,
Spatial expression profiles in the Xenopus laevis oocytes measured with qPCR tomography.
2010,
Pubmed
,
Xenbase Sindelka,
Intracellular expression profiles measured by real-time PCR tomography in the Xenopus laevis oocyte.
2008,
Pubmed
,
Xenbase Snedden,
RNA localization in Xenopus oocytes uses a core group of trans-acting factors irrespective of destination.
2013,
Pubmed
,
Xenbase Watanabe,
Stage-specific expression of microRNAs during Xenopus development.
2005,
Pubmed
,
Xenbase White,
Maternal control of pattern formation in Xenopus laevis.
2008,
Pubmed
,
Xenbase Wylie,
Maternal beta-catenin establishes a 'dorsal signal' in early Xenopus embryos.
1996,
Pubmed
,
Xenbase Yisraeli,
A two-step model for the localization of maternal mRNA in Xenopus oocytes: involvement of microtubules and microfilaments in the translocation and anchoring of Vg1 mRNA.
1990,
Pubmed
,
Xenbase Zhou,
Sending RNAs into the future: RNA localization and germ cell fate.
2004,
Pubmed
,
Xenbase