XB-ART-50636
Elife
2015 Jan 06;4:e06774. doi: 10.7554/eLife.06774.
Show Gene links
Show Anatomy links
Tarantula toxins use common surfaces for interacting with Kv and ASIC ion channels.
Gupta K, Zamanian M, Bae C, Milescu M, Krepkiy D, Tilley DC, Sack JT, Yarov-Yarovoy V, Kim JI, Swartz KJ.
???displayArticle.abstract???
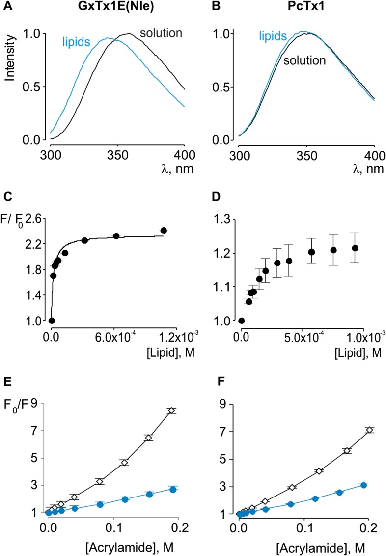
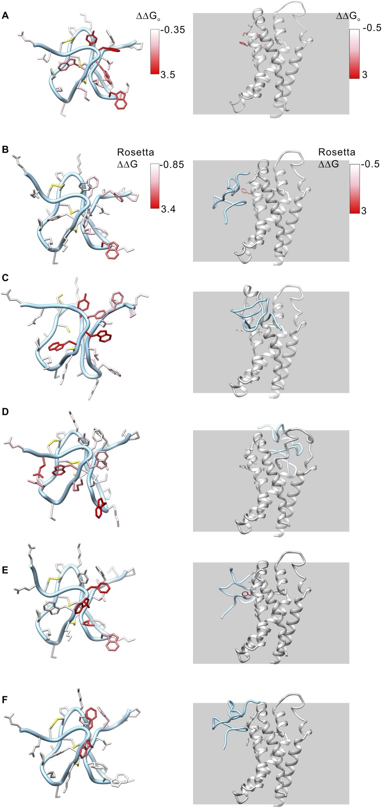
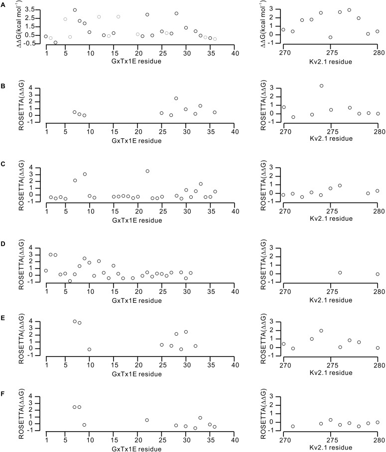
Tarantula toxins that bind to voltage-sensing domains of voltage-activated ion channels are thought to partition into the membrane and bind to the channel within the bilayer. While no structures of a voltage-sensor toxin bound to a channel have been solved, a structural homolog, psalmotoxin (PcTx1), was recently crystalized in complex with the extracellular domain of an acid sensing ion channel (ASIC). In the present study we use spectroscopic, biophysical and computational approaches to compare membrane interaction properties and channel binding surfaces of PcTx1 with the voltage-sensor toxin guangxitoxin (GxTx-1E). Our results show that both types of tarantula toxins interact with membranes, but that voltage-sensor toxins partition deeper into the bilayer. In addition, our results suggest that tarantula toxins have evolved a similar concave surface for clamping onto α-helices that is effective in aqueous or lipidic physical environments.
???displayArticle.pubmedLink??? 25948544
???displayArticle.pmcLink??? PMC4423116
???displayArticle.link??? Elife
???displayArticle.grants??? [+]
T32 HL086350 NHLBI NIH HHS , U01 NS090581 NINDS NIH HHS , 1U01NS090581 NINDS NIH HHS , NIH T32HL086350 NHLBI NIH HHS
Species referenced: Xenopus laevis
Genes referenced: asic1 kcna2 kcnb1 mst1 tbx2 xk
???attribute.lit??? ???displayArticles.show???
References [+] :
Alabi,
Portability of paddle motif function and pharmacology in voltage sensors.
2007, Pubmed,
Xenbase
Alabi, Portability of paddle motif function and pharmacology in voltage sensors. 2007, Pubmed , Xenbase
Axelrod, Reduction-of-dimensionality kinetics at reaction-limited cell surface receptors. 1994, Pubmed
Baconguis, X-ray structure of acid-sensing ion channel 1-snake toxin complex reveals open state of a Na(+)-selective channel. 2014, Pubmed
Baconguis, Structural plasticity and dynamic selectivity of acid-sensing ion channel-spider toxin complexes. 2012, Pubmed
Banerjee, Structure of a pore-blocking toxin in complex with a eukaryotic voltage-dependent K(+) channel. 2013, Pubmed
Ben-Tal, Electrostatic binding of proteins to membranes. Theoretical predictions and experimental results with charybdotoxin and phospholipid vesicles. 1997, Pubmed
Bohlen, A bivalent tarantula toxin activates the capsaicin receptor, TRPV1, by targeting the outer pore domain. 2010, Pubmed , Xenbase
Bohlen, A heteromeric Texas coral snake toxin targets acid-sensing ion channels to produce pain. 2011, Pubmed , Xenbase
Bosmans, Deconstructing voltage sensor function and pharmacology in sodium channels. 2008, Pubmed , Xenbase
Bosmans, Palmitoylation influences the function and pharmacology of sodium channels. 2011, Pubmed , Xenbase
Bosmans, Functional properties and toxin pharmacology of a dorsal root ganglion sodium channel viewed through its voltage sensors. 2011, Pubmed , Xenbase
Bradley, Toward high-resolution de novo structure prediction for small proteins. 2005, Pubmed
Campos, Alpha-scorpion toxin impairs a conformational change that leads to fast inactivation of muscle sodium channels. 2008, Pubmed , Xenbase
Campos, beta-Scorpion toxin modifies gating transitions in all four voltage sensors of the sodium channel. 2007, Pubmed , Xenbase
Cestèle, Voltage sensor-trapping: enhanced activation of sodium channels by beta-scorpion toxin bound to the S3-S4 loop in domain II. 1998, Pubmed
Chen, The tarantula toxin psalmotoxin 1 inhibits acid-sensing ion channel (ASIC) 1a by increasing its apparent H+ affinity. 2005, Pubmed , Xenbase
Chen, Interaction of acid-sensing ion channel (ASIC) 1 with the tarantula toxin psalmotoxin 1 is state dependent. 2006, Pubmed , Xenbase
Conway, Relaxation of backbone bond geometry improves protein energy landscape modeling. 2014, Pubmed
Dawson, Structure of the acid-sensing ion channel 1 in complex with the gating modifier Psalmotoxin 1. 2012, Pubmed
Escoubas, Isolation of a tarantula toxin specific for a class of proton-gated Na+ channels. 2000, Pubmed , Xenbase
Escoubas, Recombinant production and solution structure of PcTx1, the specific peptide inhibitor of ASIC1a proton-gated cation channels. 2003, Pubmed
Gill, Calculation of protein extinction coefficients from amino acid sequence data. 1989, Pubmed
Gray, Protein-protein docking with simultaneous optimization of rigid-body displacement and side-chain conformations. 2003, Pubmed
Herrington, Blockers of the delayed-rectifier potassium current in pancreatic beta-cells enhance glucose-dependent insulin secretion. 2006, Pubmed
Hessa, Recognition of transmembrane helices by the endoplasmic reticulum translocon. 2005, Pubmed
Jones, Computational and structural characterisation of protein associations. 2012, Pubmed
Jung, Structure and orientation of a voltage-sensor toxin in lipid membranes. 2010, Pubmed
Jung, Solution structure and lipid membrane partitioning of VSTx1, an inhibitor of the KvAP potassium channel. 2005, Pubmed
Kalia, Exploring structure-function relationships between TRP and Kv channels. 2013, Pubmed
Kortemme, Computational alanine scanning of protein-protein interfaces. 2004, Pubmed
Kortemme, A simple physical model for binding energy hot spots in protein-protein complexes. 2002, Pubmed
Ladokhin, How to measure and analyze tryptophan fluorescence in membranes properly, and why bother? 2000, Pubmed
Ladokhin, Measuring membrane penetration with depth-dependent fluorescence quenching: distribution analysis is coming of age. 2014, Pubmed
Ladokhin, Distribution analysis of depth-dependent fluorescence quenching in membranes: a practical guide. 1997, Pubmed
Ladokhin, Analysis of protein and peptide penetration into membranes by depth-dependent fluorescence quenching: theoretical considerations. 1999, Pubmed
Lee, Solution structure of GxTX-1E, a high-affinity tarantula toxin interacting with voltage sensors in Kv2.1 potassium channels . 2010, Pubmed , Xenbase
Lee, Solution structure and functional characterization of SGTx1, a modifier of Kv2.1 channel gating. 2004, Pubmed , Xenbase
Lee, A membrane-access mechanism of ion channel inhibition by voltage sensor toxins from spider venom. 2004, Pubmed
Lee, Interaction between extracellular Hanatoxin and the resting conformation of the voltage-sensor paddle in Kv channels. 2003, Pubmed , Xenbase
Li-Smerin, Localization and molecular determinants of the Hanatoxin receptors on the voltage-sensing domains of a K(+) channel. 2000, Pubmed , Xenbase
Li-Smerin, Gating modifier toxins reveal a conserved structural motif in voltage-gated Ca2+ and K+ channels. 1998, Pubmed , Xenbase
Li-Smerin, Helical structure of the COOH terminus of S3 and its contribution to the gating modifier toxin receptor in voltage-gated ion channels. 2001, Pubmed
Long, Atomic structure of a voltage-dependent K+ channel in a lipid membrane-like environment. 2007, Pubmed
MacKinnon, Mechanism of charybdotoxin block of the high-conductance, Ca2+-activated K+ channel. 1988, Pubmed
MacKinnon, Mutant potassium channels with altered binding of charybdotoxin, a pore-blocking peptide inhibitor. 1989, Pubmed , Xenbase
MacKinnon, Functional stoichiometry of Shaker potassium channel inactivation. 1993, Pubmed , Xenbase
MacKinnon, Determination of the subunit stoichiometry of a voltage-activated potassium channel. 1991, Pubmed , Xenbase
Mihailescu, Structural interactions of a voltage sensor toxin with lipid membranes. 2014, Pubmed
Milescu, Opening the shaker K+ channel with hanatoxin. 2013, Pubmed , Xenbase
Milescu, Tarantula toxins interact with voltage sensors within lipid membranes. 2007, Pubmed , Xenbase
Milescu, Interactions between lipids and voltage sensor paddles detected with tarantula toxins. 2009, Pubmed
Miller, The charybdotoxin family of K+ channel-blocking peptides. 1995, Pubmed
Morin, Counting membrane-embedded KCNE beta-subunits in functioning K+ channel complexes. 2008, Pubmed , Xenbase
Norton, The cystine knot structure of ion channel toxins and related polypeptides. 1998, Pubmed
Pallaghy, A common structural motif incorporating a cystine knot and a triple-stranded beta-sheet in toxic and inhibitory polypeptides. 1994, Pubmed
Phillips, Voltage-sensor activation with a tarantula toxin as cargo. 2005, Pubmed
Posokhov, Quenching-enhanced fluorescence titration protocol for accurate determination of free energy of membrane binding. 2007, Pubmed
Raman, Structure prediction for CASP8 with all-atom refinement using Rosetta. 2009, Pubmed
Rogers, Molecular determinants of high affinity binding of alpha-scorpion toxin and sea anemone toxin in the S3-S4 extracellular loop in domain IV of the Na+ channel alpha subunit. 1996, Pubmed
Rohl, Protein structure prediction using Rosetta. 2004, Pubmed
Salinas, The receptor site of the spider toxin PcTx1 on the proton-gated cation channel ASIC1a. 2006, Pubmed , Xenbase
Schmalhofer, A KV2.1 gating modifier binding assay suitable for high throughput screening. 2009, Pubmed
Schmidt, Voltage-dependent K+ channel gating and voltage sensor toxin sensitivity depend on the mechanical state of the lipid membrane. 2008, Pubmed , Xenbase
Suchyna, Bilayer-dependent inhibition of mechanosensitive channels by neuroactive peptide enantiomers. 2004, Pubmed
Swartz, Mapping the receptor site for hanatoxin, a gating modifier of voltage-dependent K+ channels. 1997, Pubmed
Swartz, An inhibitor of the Kv2.1 potassium channel isolated from the venom of a Chilean tarantula. 1995, Pubmed
Swartz, Hanatoxin modifies the gating of a voltage-dependent K+ channel through multiple binding sites. 1997, Pubmed , Xenbase
Swartz, Tarantula toxins interacting with voltage sensors in potassium channels. 2007, Pubmed
Takahashi, Solution structure of hanatoxin1, a gating modifier of voltage-dependent K(+) channels: common surface features of gating modifier toxins. 2000, Pubmed , Xenbase
Tilley, Chemoselective tarantula toxins report voltage activation of wild-type ion channels in live cells. 2014, Pubmed
Tyka, Alternate states of proteins revealed by detailed energy landscape mapping. 2011, Pubmed
Wang, Protein-protein docking with backbone flexibility. 2007, Pubmed
Wang, Molecular surface of tarantula toxins interacting with voltage sensors in K(v) channels. 2004, Pubmed , Xenbase
Xu, Energetic role of the paddle motif in voltage gating of Shaker K(+) channels. 2013, Pubmed , Xenbase
