|
Fig 7. Derricin and derricidin inhibit double axis formation in Xenopus embryos and suppress Wnt/β-catenin luciferase reporter activity in vivo. |
|
Fig 2. Derricin and derricidin reduce cell number and cell viability of colon cells.(A, B, D, E, G, H) Graphs show MTT absorbance levels in HCT116, DLD-1 and IEC-18 cell lines, after treatment up to 72 h with 10–100 μM of derricin or derricidin. (A) In HCT116 cells, it is observed significant reduction in cell viability after 100 μM of derricin for 24 h and 20 μM of derricin for 48 h (B) After derricidin treatment, reduction of cell viability occurred at 100 μM of derricidin after 24 h and at 30 μM after 72 h. (D) In DLD-1 cells, it is observed a milder effect at 100 μM after 18h of treatment. Otherwise, an intense reduction of MTT absorbance is detected after 48h treatment with 100 μM of derricin. (E) Derricidin treatment significantly reduces DLD-1 cell viability after 18h treatment with 50 μM of flavonoid and at 20 μM after 72h. (G) In IEC-18 cells, reduction of viability is observed with 100 μM of derricin, starting at 18h of treatment. (H) A similar profile is observed after derricidin treatment. (C,F,I) DAPI-stained nuclei were counted after 24h treatment with derricin and derricidin. (C) 30 and 50μM of derricin reduced approximately 30% and 58% the number of HCT116 nuclei, respectively; while derricidin reduced approximately 39% and 65%, respectively. (F) DLD-1 nuclei were decreased about 44% and 50% after derricin treatment at 30 and 50 μM concentrations, respectively. Derricidin treatment diminished about 50% and 70%, respectively. (I) IEC-18 nuclei were also decreased, with values of 25% and 32% of reduction with 30 and 50μM of derricin, respectively, and 40% and 38% with 30 and 50μM of derricidin, respectively. * p<0.05, **p<0.01, ***p<0.001. |
|
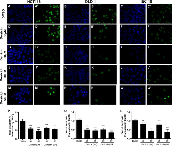
Fig 3. Derricin and derricidin inhibit cell proliferation of HCT116, DLD-1 and IEC-18 cells.Edu incorporation in colon cells after treatment with 30 and 50μM of derricin and derricidin for 24h. (A,A’,B,B’,C,C’) In control conditions, it is observed a considerable number of Edu-positive cells. (D,D’,E,E’,F,F’,G,G’,H,H’,I,I’) After treatment with derricin, it is observed a lower number of Edu-positive cells. (J,J’,K,K’,L,L’,M,M’,N,N’,O,O’) Derricidin treatment also reduces Edu-positive cells. (P,Q,R) Quantification of Edu-positive cells in HCT116, DLD-1 and IEC-18. Scale bar 50 μm, **p<0.01, ***p<0.001. |
|
Fig 4. Derricin and derricidin induced cell cycle arrest in CRC cells.(A, D, E) In HCT116, untreated cells showed approximately 75% of cells in G1/G0 phase, while 30 and 50 μM of derricin reduced this proportion to 67.6% and 54%, respectively, resulting in cell cycle arrest in S and G2/M phases, respectively. Derricidin reduced this proportion to 53.8% and 35.5%, respectively and also induced cell cycle arrest in G2/M phase. (B, F,G) On the other hand, DLD-1 cells accumulated in G0/G1 phase of cell cycle after 30 μM and 50 μM of derricin or derricidin. (C, H, I) Derricin and derricidin treatment had milder effects in cell cycle progression of IEC-18 cells, except for a slightly arrest at G2/M with 50 μM of derricin. Bar graphs represent the percentage of cells according treatment and significant data were represented in the figure. Black bars: G0/G1 phase; White bars: S phase; and Gray bars: G2/M phases. |
|
Fig 5. Derricin and derricidin affect β-catenin cell localization and Wnt reporter activity in HCT116 cells.(A-I) β-catenin immunostaining of HCT116 cells treated with 30 μM of each chalcone for 24 h. (A-C) In control conditions, majority of cells show β-catenin staining of nucleus. (D-F) After treatment with derricin, this staining is lost and most cells show β-catenin in cytoplasm and membrane. (G-I) Derricidin treatment also reduces nuclear staining of β-catenin. (J) Quantification of immunostaining showed that both chalcones reduce nuclear β-catenin. (K) Wnt/βâcatenin specific reporter assay of TOPFlash/Renilla transfected HCT116 cells. Both chalcones reduce Wnt reporter activity after 30 and 50 μM treatment for 24 h. Scale bar: 50 μM, *p<0.05,**p<0.01, ***p<0.001. |
|
Fig 6. Derricin and derricidin inhibit Wnt-reporter activity in RKO-pBAR/Renilla and HEK293t.(A,C) Derricin inhibits Wnt-reporter activity starting at 10 μM in luciferase assays of RKO-pBAR/Renilla and of HEK293t. (B,D) Derricidin slightly inhibits Wnt-reporter activity at 20 μM in RKO-pBAR/Renilla and HEK293t. In RKO-pBAR/Renilla, higher inhibition is achieved at 50 μM of derricidin (B). (A,B) 10, 20, 50 μM of each chalcone. (C,D) 10, 20, 30 μM of each chalcone. (E) HEK293T activation of Wnt signaling through transfection of β-catenin is suppressed upon derricin treatment, but not derricidin. *p<0.05, **p<0.01, ***p<0.001. |
|
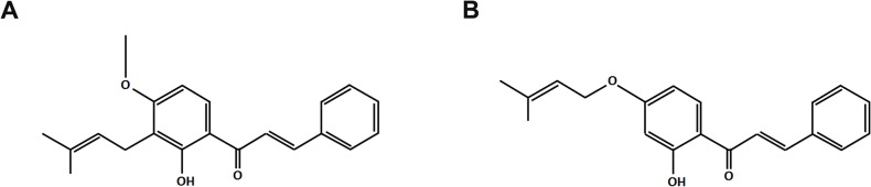
Fig 1. Chemical structures of the chalcones derricin (A) and derricidin (B). |