Click here to close Hello! We notice that you are using Internet Explorer, which is not supported by Xenbase and may cause the site to display incorrectly. We suggest using a current version of Chrome, FireFox, or Safari.
XB-ART-49321
PLoS One 2014 Jul 01;97:e103244. doi: 10.1371/journal.pone.0103244.
Show Gene links Show Anatomy links

Efficient expression of functional (α6β2)2β3 AChRs in Xenopus oocytes from free subunits using slightly modified α6 subunits.

Ley CK, Kuryatov A, Wang J, Lindstrom JM.


???displayArticle.abstract???
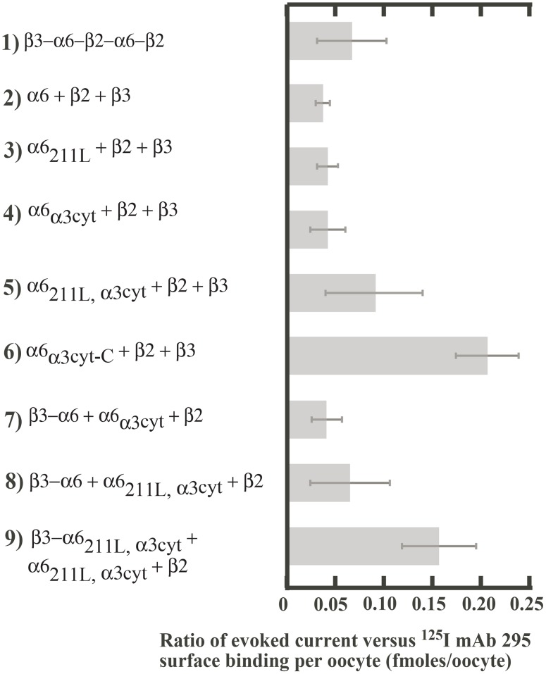
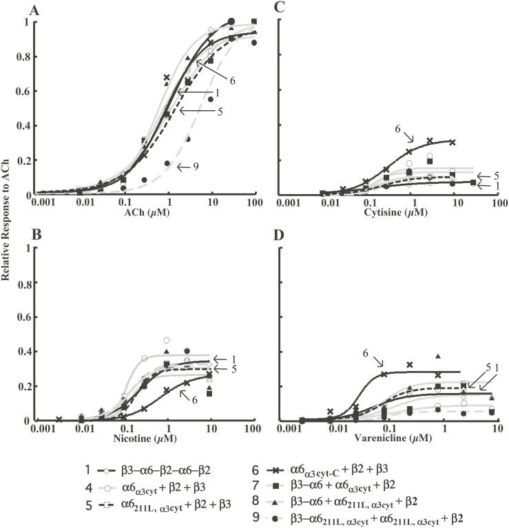
Human (α6β2)(α4β2)β3 nicotinic acetylcholine receptors (AChRs) are essential for addiction to nicotine and a target for drug development for smoking cessation. Expressing this complex AChR is difficult, but has been achieved using subunit concatamers. In order to determine what limits expression of α6* AChRs and to efficiently express α6* AChRs using free subunits, we investigated expression of the simpler (α6β2)2β3 AChR. The concatameric form of this AChR assembles well, but is transported to the cell surface inefficiently. Various chimeras of α6 with the closely related α3 subunit increased expression efficiency with free subunits and produced pharmacologically equivalent functional AChRs. A chimera in which the large cytoplasmic domain of α6 was replaced with that of α3 increased assembly with β2 subunits and transport of AChRs to the oocyte surface. Another chimera replacing the unique methionine 211 of α6 with leucine found at this position in transmembrane domain 1 of α3 and other α subunits increased assembly of mature subunits containing β3 subunits within oocytes. Combining both α3 sequences in an α6 chimera increased expression of functional (α6β2)2β3 AChRs to 12-fold more than with concatamers. This is pragmatically useful, and provides insights on features of α6 subunit structure that limit its expression in transfected cells.

???displayArticle.pubmedLink??? 25068303
???displayArticle.pmcLink??? PMC4113361
???displayArticle.link??? PLoS One
???displayArticle.grants??? [+]

Species referenced: Xenopus laevis


???attribute.lit??? ???displayArticles.show???
References [+] :
Akk, The influence of the membrane on neurosteroid actions at GABA(A) receptors. 2009, Pubmed