Click here to close
Hello! We notice that you are using Internet Explorer, which is not supported by Xenbase and may cause the site to display incorrectly.
We suggest using a current version of Chrome,
FireFox, or Safari.
Physiol Rep
2013 Dec 08;17:e00165. doi: 10.1002/phy2.165.
Show Gene links
Show Anatomy links
Peptide transporter isoforms are discriminated by the fluorophore-conjugated dipeptides β-Ala- and d-Ala-Lys-N-7-amino-4-methylcoumarin-3-acetic acid.
Kottra G, Spanier B, Verri T, Daniel H.
???displayArticle.abstract???
Peptide transporters of the SLC15 family are classified by structure and function into PEPT1 (low-affinity/high-capacity) and PEPT2 (high-affinity/low-capacity) isoforms. Despite the differences in kinetics, both transporter isoforms are reckoned to transport essentially all possible di- and tripeptides. We here report that the fluorophore-conjugated dipeptide derivatives β-Ala-Lys-N-7-amino-4-methylcoumarin-3-acetic acid (β-AK-AMCA) and d-Ala-Lys-N-7-amino-4-methylcoumarin-3-acetic acid (d-AK-AMCA) are transported by distinct PEPT isoforms in a species-specific manner. Transport of the fluorophore peptides was studied (1) in vitro after heterologous expression in Xenopus oocytes of PEPT1 and PEPT2 isoforms from different vertebrate species and of PEPT1 and PEPT2 transporters from Caenorhabditis elegans by using electrophysiological and fluorescence methods and (2) in vivo in C. elegans by using fluorescence methods. Our results indicate that both substrates are transported by the vertebrate "renal-type" and the C. elegans "intestinal-type" peptide transporter only. A systematic analysis among species finds four predicted amino acid residues along the sequence that may account for the substrate uptake differences observed between the vertebrate PEPT1/nematode PEPT2 and the vertebrate PEPT2/nematode PEPT1 subtype. This selectivity on basis of isoforms and species may be helpful in better defining the structure-function determinants of the proteins of the SLC15 family.
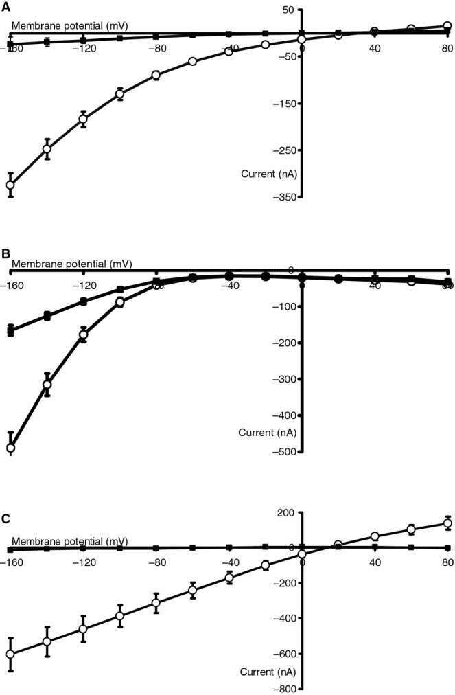
Figure 1. Current–voltage (I/V) relations induced by 1 mmol/L GQ (open circles) and by 1 mmol/L β‐AK‐AMCA (filled squares) in oocytes expressing (A) Caenorhabditis elegans PEPT1 (cePEPT1), (B) rabbit PEPT2 (rPEPT2), or (C) rabbit PEPT1 (rPEPT1). Please note the low, but significant transport current induced by β‐AK‐AMCA in cePEPT1, the higher current in rPEPT2 and the absence of β‐AK‐AMCA‐induced current in rPEPT1. Similar I/V relations have also been recorded in the other transporters listed in Table 1 (not shown).
Figure 2. Fluorescence (arbitrary units) induced by 3 h incubation in solutions containing 1 mmol/L β‐AK‐AMCA without or with 20 mmol/L GQ in oocytes expressing Caenorhabditis elegans (ce), human (h), rabbit (r), zebrafish (zf), mouse (m) PEPT1 and PEPT2 transporters, and rabbit chimeric transporters. NI, non‐injected. Dark columns: without β‐AK‐AMCA; shaded columns: with 1 mmol/L β‐AK‐AMCA; open columns: with 1 mmol/L β‐AK‐AMCA + 20 mmol/L GQ. For details see Materials and Methods.
Figure 3. Time‐dependent uptake of β‐AK‐AMCA and d‐AK‐AMCA in wild type and peptide transporter deficient pept‐1(lg601) Caenorhabditis elegans. The animals were incubated for 10 min, 1 h, 2.5 h, and 5 h in medium containing 1 mmol/L β‐ or d‐AK‐AMCA and representative images are shown. The fluorescent signal is mostly detectable in the intestinal epithelial cells. The anterior end of the nematodes in the representative images is positioned to the top and the asterix mark the terminal bulb of the pharynx (*). Scale bars indicate 50 μm.
Figure 4. Molecular phylogenetic analysis performed on vertebrate PEPT1 and PEPT2 and nematode PEPT1 and PEPT2 by maximum likelihood (ML) method. The evolutionary history was inferred by using the ML method based on the Whelan and Goldman (2001) model. The tree with the highest log likelihood (−37,196.4871) is shown. Initial tree(s) for the heuristic search were obtained automatically as follows. When the number of common sites was <100 or less than one‐fourth of the total number of sites, the maximum parsimony method was used; otherwise BIONJ method with MCL distance matrix was used. A discrete Gamma distribution was used to model evolutionary rate differences among sites (five categories; +G, parameter = 0.9600). The rate variation model allowed for some sites to be evolutionarily invariable ([+I], 9.1163% sites). The tree is drawn to scale, with branch lengths measured in the number of substitutions per site. The analysis involved 114 amino acid sequences. All positions with less than 95% site coverage were eliminated. That is, fewer than 5% alignment gaps, missing data, and ambiguous bases were allowed at any position. There were a total of 630 positions in the final data set. Evolutionary analyses were conducted in MEGA5 (Tamura et al. 2011).
Figure 5. Sequence comparison performed on rabbit, human, mouse and zebrafish PEPT1, rabbit, human and zebrafish PEPT2, Caenorhabditis elegans PEPT1, and C. elegans PEPT2 amino acid sequences. Multiple sequence alignment was obtained by Clustal Omega (1.2.0) using default parameters. Consensus is reported. Candidate amino acid substitutions along the sequence are indicated with an arrow highlighted in red.
Abe,
Conjugation of dipeptide to fluorescent dyes enhances its affinity for a dipeptide transporter (PEPT1) in human intestinal Caco-2 cells.
1999, Pubmed
Abe,
Conjugation of dipeptide to fluorescent dyes enhances its affinity for a dipeptide transporter (PEPT1) in human intestinal Caco-2 cells.
1999,
Pubmed Allman,
Loss of the apical V-ATPase a-subunit VHA-6 prevents acidification of the intestinal lumen during a rhythmic behavior in C. elegans.
2009,
Pubmed Bednarczyk,
NBD-TMA: a novel fluorescent substrate of the peritubular organic cation transporter of renal proximal tubules.
2000,
Pubmed Biegel,
Structural requirements for the substrates of the H+/peptide cotransporter PEPT2 determined by three-dimensional quantitative structure-activity relationship analysis.
2006,
Pubmed Biegel,
Three-dimensional quantitative structure-activity relationship analyses of beta-lactam antibiotics and tripeptides as substrates of the mammalian H+/peptide cotransporter PEPT1.
2005,
Pubmed Boll,
Expression cloning and functional characterization of the kidney cortex high-affinity proton-coupled peptide transporter.
1996,
Pubmed
,
Xenbase Boll,
Expression cloning of a cDNA from rabbit small intestine related to proton-coupled transport of peptides, beta-lactam antibiotics and ACE-inhibitors.
1994,
Pubmed
,
Xenbase Brunaldi,
Fluorescence assays for measuring fatty acid binding and transport through membranes.
2007,
Pubmed Chen,
Gene ablation for PEPT1 in mice abolishes the effects of dipeptides on small intestinal fluid absorption, short-circuit current, and intracellular pH.
2010,
Pubmed Daniel,
Molecular and integrative physiology of intestinal peptide transport.
2004,
Pubmed Dieck,
The peptide transporter PepT2 is expressed in rat brain and mediates the accumulation of the fluorescent dipeptide derivative beta-Ala-Lys-Nepsilon-AMCA in astrocytes.
1999,
Pubmed Doki,
Structural basis for dynamic mechanism of proton-coupled symport by the peptide transporter POT.
2013,
Pubmed Döring,
Importance of a small N-terminal region in mammalian peptide transporters for substrate affinity and function.
2002,
Pubmed
,
Xenbase Döring,
Functional analysis of a chimeric mammalian peptide transporter derived from the intestinal and renal isoforms.
1996,
Pubmed
,
Xenbase Fei,
cDNA structure, genomic organization, and promoter analysis of the mouse intestinal peptide transporter PEPT1.
2000,
Pubmed
,
Xenbase Fei,
Two oligopeptide transporters from Caenorhabditis elegans: molecular cloning and functional expression.
1998,
Pubmed
,
Xenbase Ganapathy,
Peptide transport in rabbit intestinal brush-border membrane vesicles studied with a potential-sensitive dye.
1985,
Pubmed Ganapathy,
Differential recognition of beta -lactam antibiotics by intestinal and renal peptide transporters, PEPT 1 and PEPT 2.
1995,
Pubmed Gebauer,
Three-dimensional quantitative structure-activity relationship analyses of peptide substrates of the mammalian H+/peptide cotransporter PEPT1.
2003,
Pubmed Groneberg,
Renal assimilation of short chain peptides: visualization of tubular peptide uptake.
2002,
Pubmed Groneberg,
Intestinal peptide transport: ex vivo uptake studies and localization of peptide carrier PEPT1.
2001,
Pubmed Groneberg,
Distribution and function of the peptide transporter PEPT2 in normal and cystic fibrosis human lung.
2002,
Pubmed Groneberg,
Direct visualization of peptide uptake activity in the central nervous system of the rat.
2004,
Pubmed Guettou,
Structural insights into substrate recognition in proton-dependent oligopeptide transporters.
2013,
Pubmed Iwao,
Differentiation of human induced pluripotent stem cells into functional enterocyte-like cells using a simple method.
2014,
Pubmed Jørgensen,
Validation of a fluorescence-based high-throughput assay for the measurement of neurotransmitter transporter uptake activity.
2008,
Pubmed Knütter,
A novel inhibitor of the mammalian peptide transporter PEPT1.
2001,
Pubmed
,
Xenbase Kottra,
Bidirectional electrogenic transport of peptides by the proton-coupled carrier PEPT1 in Xenopus laevis oocytes: its asymmetry and symmetry.
2001,
Pubmed
,
Xenbase Larsen,
QSAR models for the human H(+)/peptide symporter, hPEPT1: affinity prediction using alignment-independent descriptors.
2008,
Pubmed Liang,
Human intestinal H+/peptide cotransporter. Cloning, functional expression, and chromosomal localization.
1995,
Pubmed
,
Xenbase Liu,
Molecular cloning of PEPT 2, a new member of the H+/peptide cotransporter family, from human kidney.
1995,
Pubmed Mason,
Novel fluorescence-based approaches for the study of biogenic amine transporter localization, activity, and regulation.
2005,
Pubmed Meissner,
Deletion of the intestinal peptide transporter affects insulin and TOR signaling in Caenorhabditis elegans.
2004,
Pubmed Newstead,
Towards a structural understanding of drug and peptide transport within the proton-dependent oligopeptide transporter (POT) family.
2011,
Pubmed Romano,
High-affinity peptide transporter PEPT2 (SLC15A2) of the zebrafish Danio rerio: functional properties, genomic organization, and expression analysis.
2006,
Pubmed
,
Xenbase Romano,
Teleost fish models in membrane transport research: the PEPT1(SLC15A1) H+-oligopeptide transporter as a case study.
2014,
Pubmed Romano,
Functional expression of SLC15 peptide transporters in rat thyroid follicular cells.
2010,
Pubmed Rühl,
Functional expression of the peptide transporter PEPT2 in the mammalian enteric nervous system.
2005,
Pubmed Schwartz,
Binding and transport in norepinephrine transporters. Real-time, spatially resolved analysis in single cells using a fluorescent substrate.
2003,
Pubmed Shu,
Mechanism of intestinal absorption and renal reabsorption of an orally active ace inhibitor: uptake and transport of fosinopril in cell cultures.
2001,
Pubmed Solcan,
Alternating access mechanism in the POT family of oligopeptide transporters.
2012,
Pubmed Son,
Characterization of carnosine uptake and its physiological function in human intestinal epithelial Caco-2 cells.
2004,
Pubmed Spence,
Directed differentiation of human pluripotent stem cells into intestinal tissue in vitro.
2011,
Pubmed
,
Xenbase Tamura,
MEGA5: molecular evolutionary genetics analysis using maximum likelihood, evolutionary distance, and maximum parsimony methods.
2011,
Pubmed Theis,
Defining minimal structural features in substrates of the H(+)/peptide cotransporter PEPT2 using novel amino acid and dipeptide derivatives.
2002,
Pubmed
,
Xenbase Theis,
Synthesis and characterization of high affinity inhibitors of the H+/peptide transporter PEPT2.
2002,
Pubmed
,
Xenbase Toyobuku,
Enhanced delivery of drugs to the liver by adenovirus-mediated heterologous expression of the human oligopeptide transporter PEPT1.
2002,
Pubmed Verri,
Molecular and functional characterisation of the zebrafish (Danio rerio) PEPT1-type peptide transporter.
2003,
Pubmed
,
Xenbase Weitz,
Functional and structural characterization of a prokaryotic peptide transporter with features similar to mammalian PEPT1.
2007,
Pubmed Wenzel,
Endogenous expression of the renal high-affinity H+-peptide cotransporter in LLC-PK1 cells.
1998,
Pubmed Whelan,
A general empirical model of protein evolution derived from multiple protein families using a maximum-likelihood approach.
2001,
Pubmed Wood,
Determination of pattern and fate in early embryos of Caenorhabditis elegans.
1988,
Pubmed Xiang,
PEPT2-mediated transport of 5-aminolevulinic acid and carnosine in astrocytes.
2006,
Pubmed Zhu,
Differential recognition of ACE inhibitors in Xenopus laevis oocytes expressing rat PEPT1 and PEPT2.
2000,
Pubmed
,
Xenbase