Click here to close
Hello! We notice that you are using Internet Explorer, which is not supported by Xenbase and may cause the site to display incorrectly.
We suggest using a current version of Chrome,
FireFox, or Safari.
???displayArticle.abstract???
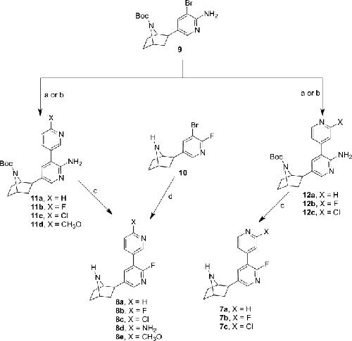
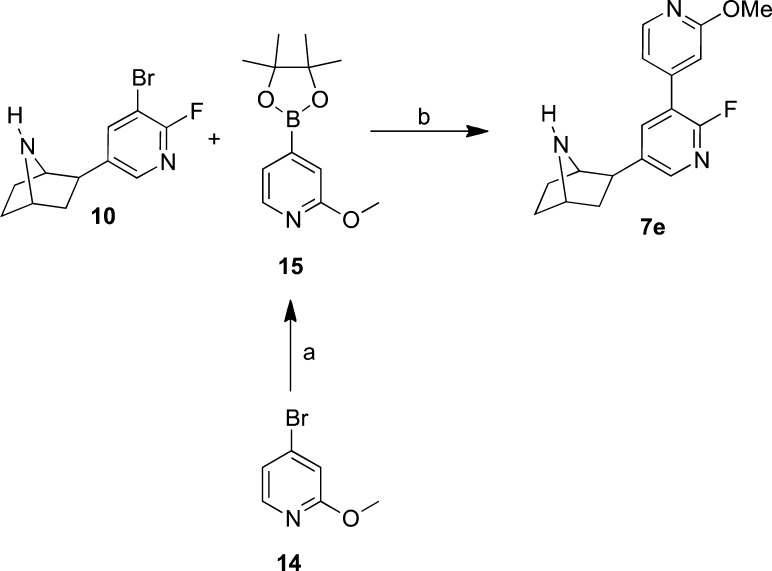
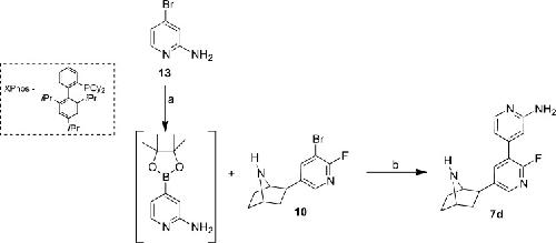
2'-Fluoro-3-(substituted pyridine)epibatidine analogues 7a-e and 8a-e were synthesized, and their in vitro and in vivo nAChR properties were determined. 2'-Fluoro-3'-(4″-pyridinyl)deschloroepibatidine (7a) and 2'-fluoro-3'-(3″-pyridinyl)deschloroepibatidine (8a) were synthesized as bioisosteres of the 4'-nitrophenyl lead compounds 5a and 5g. Comparison of the in vitro nAChR properties of 7a and 8a to those of 5a and 5g showed that 7a and 8a had in vitro nAChR properties similar to those of 5a and 5g but both were more selective for the α4β2-nAChR relative to the α3β4- and α7-nAChRs than 5a and 5g. The in vivo nAChR properties in mice of 7a were similar to those of 5a. In contrast, 8a was an agonist in all four mouse acute tests, whereas 5g was active only in a spontaneous activity test. In addition, 5g was a nicotine antagonist in both the tail-flick and hot-plate tests, whereas 8a was an antagonist only in the tail-flick test.
???displayArticle.pubmedLink???
24428686 ???displayArticle.pmcLink???PMC3983394 ???displayArticle.link???J Med Chem ???displayArticle.grants???[+]
Abdrakhmanova,
2-Fluoro-3-(4-nitro-phenyl)deschloroepibatidine is a novel potent competitive antagonist of human neuronal alpha4beta2 nAChRs.
2006, Pubmed
Abdrakhmanova,
2-Fluoro-3-(4-nitro-phenyl)deschloroepibatidine is a novel potent competitive antagonist of human neuronal alpha4beta2 nAChRs.
2006,
Pubmed AlSharari,
The antinociceptive effects of nicotinic partial agonists varenicline and sazetidine-A in murine acute and tonic pain models.
2012,
Pubmed Badio,
Epibatidine, a potent analgetic and nicotinic agonist.
1994,
Pubmed Billingsley,
Palladium-catalyzed borylation of aryl chlorides: scope, applications, and computational studies.
2007,
Pubmed Bordia,
Varenicline is a potent partial agonist at α6β2* nicotinic acetylcholine receptors in rat and monkey striatum.
2012,
Pubmed Carroll,
Synthesis, nicotinic acetylcholine receptor binding, and antinociceptive properties of 2-exo-2-(2'-substituted-3'-phenyl-5'-pyridinyl)-7-azabicyclo[2.2.1]heptanes. Novel nicotinic antagonist.
2001,
Pubmed Carroll,
Synthesis, nicotinic acetylcholine receptor binding, and antinociceptive properties of 2-exo-2-(2'-substituted 5'-pyridinyl)-7-azabicyclo[2.2.1]heptanes. Epibatidine analogues.
2001,
Pubmed Carroll,
Synthesis, nicotinic acetylcholine receptor binding, and antinociceptive properties of 2'-fluoro-3'-(substituted phenyl)deschloroepibatidine analogues. Novel nicotinic antagonist.
2004,
Pubmed Carroll,
EPIBATIDINE ANALOGS SYNTHESIZED FOR CHARACTERIZATION OF NICOTINIC PHARMACOPHORES-A REVIEW.
2009,
Pubmed Carroll,
Epibatidine structure-activity relationships.
2004,
Pubmed Centers for Disease Control and Prevention (CDC),
Vital signs: current cigarette smoking among adults aged >or=18 years --- United States, 2009.
2010,
Pubmed Clark,
Rapid calculation of polar molecular surface area and its application to the prediction of transport phenomena. 2. Prediction of blood-brain barrier penetration.
1999,
Pubmed Coe,
Varenicline: an alpha4beta2 nicotinic receptor partial agonist for smoking cessation.
2005,
Pubmed
,
Xenbase Coe,
3,5-Bicyclic aryl piperidines: a novel class of alpha4beta2 neuronal nicotinic receptor partial agonists for smoking cessation.
2005,
Pubmed De Biasi,
Reward, addiction, withdrawal to nicotine.
2011,
Pubmed Gao,
Derivatives of (-)-7-methyl-2-(5-(pyridinyl)pyridin-3-yl)-7-azabicyclo[2.2.1]heptane are potential ligands for positron emission tomography imaging of extrathalamic nicotinic acetylcholine receptors.
2007,
Pubmed Ghose,
Knowledge-Based, Central Nervous System (CNS) Lead Selection and Lead Optimization for CNS Drug Discovery.
2012,
Pubmed Hayford,
Efficacy of bupropion for smoking cessation in smokers with a former history of major depression or alcoholism.
1999,
Pubmed Hurt,
A comparison of sustained-release bupropion and placebo for smoking cessation.
1997,
Pubmed Lloyd,
Neuronal nicotinic acetylcholine receptors as novel drug targets.
2000,
Pubmed Martin,
Highly efficient borylation Suzuki coupling process for 4-bromo-2-ketothiazoles: straightforward access to micrococcinate and saramycetate esters.
2009,
Pubmed Mihalak,
Varenicline is a partial agonist at alpha4beta2 and a full agonist at alpha7 neuronal nicotinic receptors.
2006,
Pubmed
,
Xenbase Ondachi,
Synthesis and nicotinic acetylcholine receptor in vitro and in vivo pharmacological properties of 2'-fluoro-3'-(substituted phenyl)deschloroepibatidine analogues of 2'-fluoro-3'-(4-nitrophenyl)deschloroepibatidine.
2012,
Pubmed Ortiz,
Varenicline blocks β2*-nAChR-mediated response and activates β4*-nAChR-mediated responses in mice in vivo.
2012,
Pubmed Slemmer,
Bupropion is a nicotinic antagonist.
2000,
Pubmed Summerfield,
Central nervous system drug disposition: the relationship between in situ brain permeability and brain free fraction.
2007,
Pubmed Tobey,
Effects of the specific α4β2 nAChR antagonist, 2-fluoro-3-(4-nitrophenyl) deschloroepibatidine, on nicotine reward-related behaviors in rats and mice.
2012,
Pubmed