XB-ART-48686
Sci Rep
2014 Feb 26;4:4365. doi: 10.1038/srep04365.
Show Gene links
Show Anatomy links
Quantitative proteomics of Xenopus laevis embryos: expression kinetics of nearly 4000 proteins during early development.
???displayArticle.abstract???
While there is a rich literature on transcription dynamics during the development of many organisms, protein data is limited. We used iTRAQ isotopic labeling and mass spectrometry to generate the largest developmental proteomic dataset for any animal. Expression dynamics of nearly 4,000 proteins of Xenopus laevis was generated from fertilized egg to neurula embryo. Expression clusters into groups. The cluster profiles accurately reflect the major events that mark changes in gene expression patterns during early Xenopus development. We observed decline in the expression of ten DNA replication factors after the midblastula transition (MBT), including a marked decline of the licensing factor XCdc6. Ectopic expression of XCdc6 leads to apoptosis; temporal changes in this protein are critical for proper development. Measurement of expression in single embryos provided no evidence for significant protein heterogeneity between embryos at the same stage of development.
???displayArticle.pubmedLink??? 24626130
???displayArticle.pmcLink??? PMC3953746
???displayArticle.link??? Sci Rep
???displayArticle.grants??? [+]
Species referenced: Xenopus laevis
Genes referenced: ccdc6 cdc6 diaph1 h4c4 khsrp mcm3l mcm5 mcm6.2 mcm7 myo10 orc1 orc5 prss1 psmd6 recql4 spock2 ticrr
???attribute.lit??? ???displayArticles.show???
|
|
Figure 1. Experimental design.Micrographs of Xenopus laevis embryos at developmental stages used for iTRAQ measurements (A). Design and workflow of three independent iTRAQ experiments (B). Three experiments were performed. In experiment 1 (E1), two embryos at stage 1, two embryos at stage 5, two embryos at stage 8, and two embryos at stage 11 were separately lysed and digested with trypsin. The first embryo at stage 1 was labeled with the iTRAQ reagent channel 113, the second embryo at stage 1 was labeled with the iTRAQ reagent channel 114, the two embryos at stage 5 were labeled with the iTRAQ reagents channels 115 and 116, the two embryos at stage 8 were labeled with the iTRAQ reagent channels 117 and 118, and the two embryos at stage 11 were labeled with the iTRAQ reagent channels 119 and 121. These labeled peptides were pooled, subjected to strong cation exchange chromatography fractionation, and each fraction was analyzed using reversed-phase liquid chromatography and detection with a Q-Exactive mass spectrometer. Tandem mass spectra were analyzed both to identify the peptide and to quantitate the abundances of each peptide from each of the eight embryos. A similar procedure was performed in experiment 2 (E2), except that the biological duplicates consisted of single embryos taken from stages 1, 5, 13 and 22. Finally, experiment 3 (E3) employed four pools of four embryos, where each pool was taken embryos at stages 1, 8, 13 and 22. |
|
|
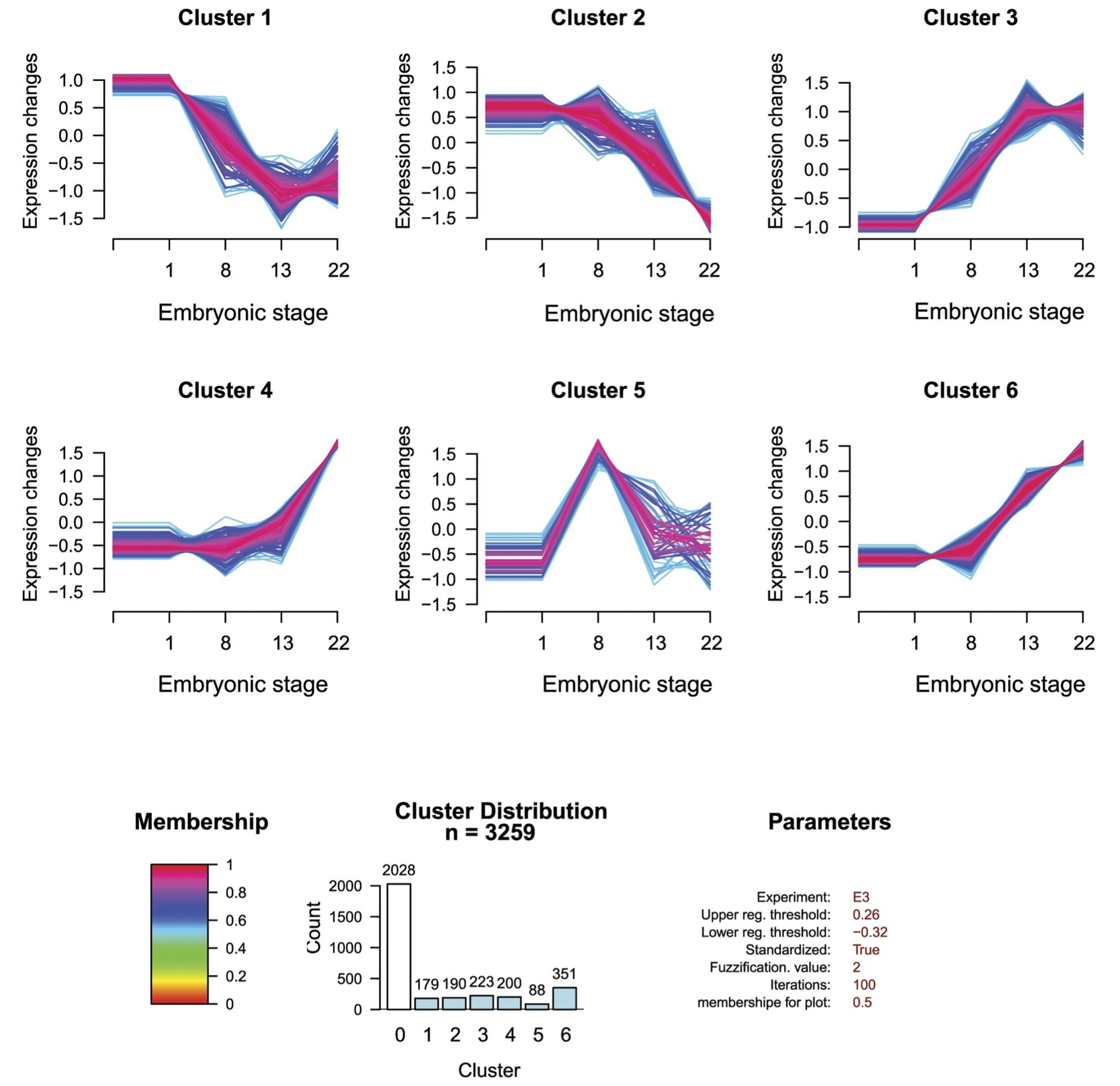
Figure 2. Cluster analysis of quantified proteins.Proteins with significant change of abundance are grouped into one of six clusters according to the changes in expression as a function of developmental stage. Log2(protein abundance ratio) from experiment 3 (E3) was used for cluster analysis. The number of clusters was fixed at 6. The upper regulation threshold for the log2 data was 0.26 and lower threshold was −0.32 corresponding to the original ratios of 1.2 and 0.8. |
|
|
Figure 3. Expression levels of DNA replication factors and histones.The expression levels of several DNA replication factors and histones change at the mid-blastula transition. (A) Xcdc6 exhibits a marked decline after the mid-blastula transition relative to other replication factors. (B) Levels of Cdc6 protein measured by western blot for control embryos and embryos injected with Cdc6 mRNA (1â ng). (C) Overexpression of Cdc6 triggers increased levels of apoptosis. Apoptosis was detected by staining late blastula (stage 9) embryos with PSS-380 for the fluorescent detection of phosphatidylserine. Left panel is water-injected control embryo; center panel is Cdc6 mRNA (1â ng) injected embryo; right panel is embryo incubated with 0.1â μM staurosporine to induce apoptosis. (D) Levels of maternal histone H1 (H1M/B4) decline while levels of adult H1 and core histones increase. Data from experiments E1 and E3 were used to generate (A) and (D), and the error bars for stage 8 were based on the results from experiments E1 and E3. |
|
|
Figure S1. Summary of protein identification data from three iTRAQ experiments and Gene Ontology classifications. (A) Number of proteins identified in each experiment. Classification of identified proteins is given according to (B) biological process, (C) molecular function and (D) cellular component. The biological process, molecular function and cellular component information were filtered with pValue (≤0.01) and protein counts (≥10), and 10 categories are presented. |
|
|
Figure S2. Signal of iTRAQ reporter ions. (A) Tandem spectra of two parent ions with different charges. The reporter ions of iTRAQ 8-plex reagents are also shown. (B) Fundamental signal distributions of iTRAQ reporter ions from experiment I (E1). |
|
|
Figure S3. iTRAQ biological replicate data. (A) Histogram distribution of log2 protein expression ratios from stage 5/stage 1(E1 and E2); (B) Correlations of protein expression ratios from stage 8/stage 1 (E1 and E3), stage 13/stage 1 (E2 and E3) and stage 22/stage 1 (E2 and E3). |
|
|
Figure S4. Distributions of protein ratios normalized to stage 1 (for E1 and E2, normalized to one embryo of stage 1, iTRAQ channel 113). For E1 and E2, each stage has two embryos as biological replicate, and the protein ratios are shown separately. |
|
|
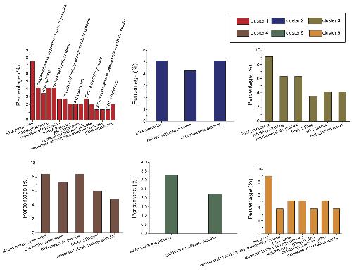
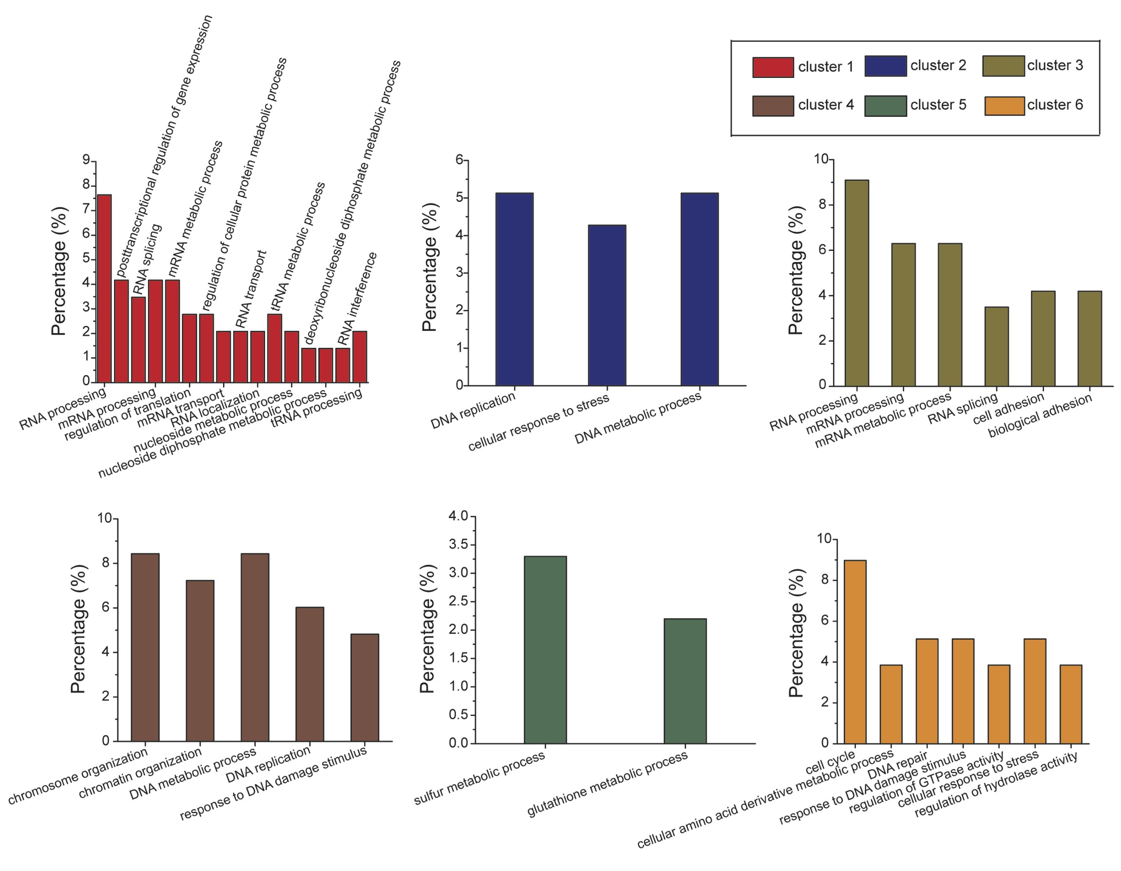
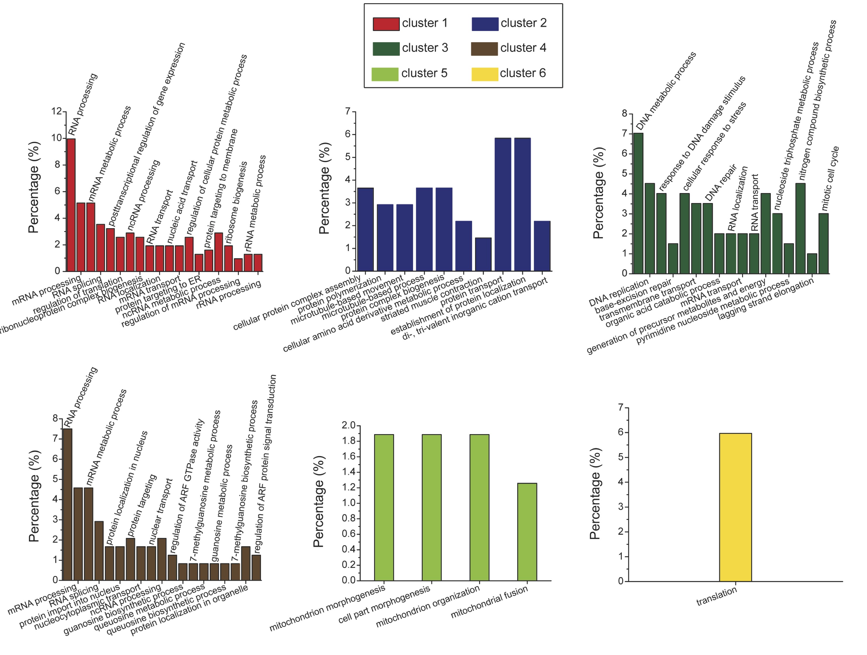
Figure S5. Biological process information of proteins in clusters 1-6 presented in Figure 2, which are significantly up- or down regulated during early development from E3. Only biological processes with pValue ≤0.05 are listed |
|
|
Figure S6. Cluster analysis results of quantified proteins from E1. Proteins with significant change of abundance are grouped into one of six clusters according to the changes in expression as a function of developmental stage. Log2 (protein ratio) was used for cluster analysis. Data were segregated into six clusters and fixed regulation thresholds (upper limit as 0.26 and lower limit as -0.32, corresponding to the original ratios as 1.2 and 0.8) were used. |
|
|
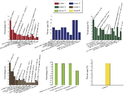
Figure S7. Biological process information of proteins in clusters 1-6 presented in Figure S6, which are significantly up- or down regulated during early development from E1. Only biological processes with pValue ≤0.05 were listed. |
|
|
Figure S8. Cluster analysis results of quantified proteins from E2. Proteins with significant change of abundance are grouped into one of six clusters according to the changes in expression as a function of developmental stage. Log2 (protein ratio) was used for cluster analysis. Data were segregated into six clusters and fixed regulation thresholds (upper limit as 0.26 and lower limit as -0.32, corresponding to the original ratios as 1.2 and 0.8) were used. |
|
|
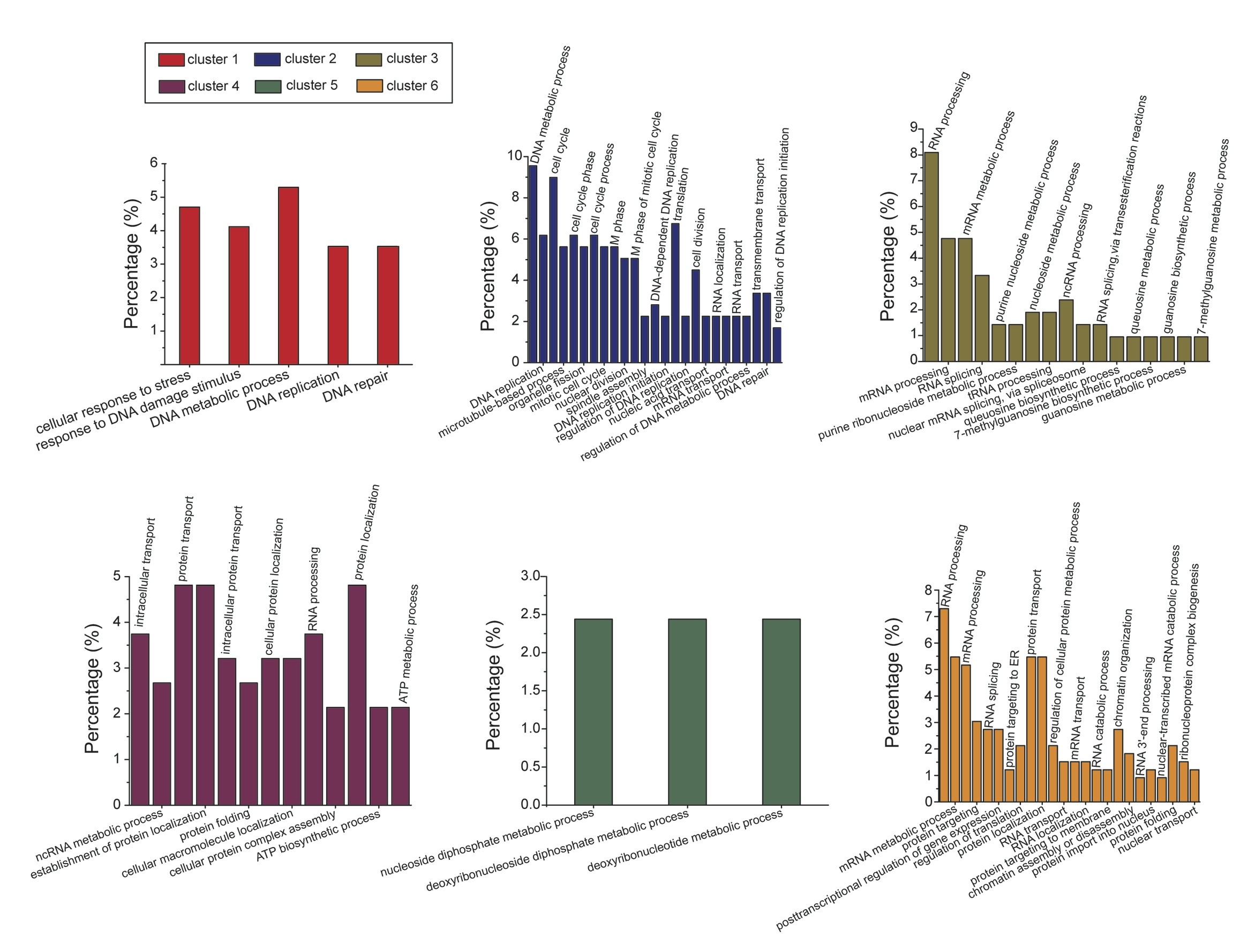
Figure S9. Biological process information of proteins in clusters 1-6 presented in Figure S8, which are significantly up- or down regulated during early development from E2. Only biological processes with pValue ≤0.05 are listed. |
|
|
Figure S10. Protein expression ratios obtained for VgRBP71 during early Xenopus development. iTRAQ data (A). Western blot data (B). |
|
|
Figure S11. Histograms of protein ratios from E1 and E2 between biological replicates of six different embryonic stages. The log2 (protein ratio) was used. |
|
|
Figure S12. Two-dimensional histogram of the variation in protein expression between embryos at the same stage of development. Variation is measured as the standard deviation of the absolute value of log2(Expression Ratio) for each experiment. The vast majority of proteins show small standard deviations in their expression ratios in each experiment, and the variation in expression ratios is uncorrelated between experiments. |
References [+] :
Abiko,
Identification of proteins enriched in rice egg or sperm cells by single-cell proteomics.
2013, Pubmed
Abiko, Identification of proteins enriched in rice egg or sperm cells by single-cell proteomics. 2013, Pubmed
Altmann, Microarray-based analysis of early development in Xenopus laevis. 2001, Pubmed , Xenbase
Andrews, Coordinate inactivation of class III genes during the Gastrula-Neurula Transition in Xenopus. 1991, Pubmed , Xenbase
Chae, Molecular mechanism of staurosporine-induced apoptosis in osteoblasts. 2000, Pubmed
Coleman, The Xenopus Cdc6 protein is essential for the initiation of a single round of DNA replication in cell-free extracts. 1996, Pubmed , Xenbase
Collart, Titration of four replication factors is essential for the Xenopus laevis midblastula transition. 2013, Pubmed , Xenbase
Desiere, The PeptideAtlas project. 2006, Pubmed
Dworkin-Rastl, The maternal histone H1 variant, H1M (B4 protein), is the predominant H1 histone in Xenopus pregastrula embryos. 1994, Pubmed , Xenbase
Elias, Target-decoy search strategy for increased confidence in large-scale protein identifications by mass spectrometry. 2007, Pubmed
Engelke, Specific interaction of a purified transcription factor with an internal control region of 5S RNA genes. 1980, Pubmed , Xenbase
Ginsberg, Xenopus 5S gene transcription factor, TFIIIA: characterization of a cDNA clone and measurement of RNA levels throughout development. 1984, Pubmed , Xenbase
Gstaiger, Applying mass spectrometry-based proteomics to genetics, genomics and network biology. 2009, Pubmed
GURDON, The developmental capacity of nuclei taken from intestinal epithelium cells of feeding tadpoles. 1962, Pubmed , Xenbase
Gygi, Quantitative analysis of complex protein mixtures using isotope-coded affinity tags. 1999, Pubmed
Hara, Greatwall kinase and cyclin B-Cdk1 are both critical constituents of M-phase-promoting factor. 2012, Pubmed , Xenbase
Howe, Identification of a developmental timer regulating the stability of embryonic cyclin A and a new somatic A-type cyclin at gastrulation. 1995, Pubmed , Xenbase
Huang, Systematic and integrative analysis of large gene lists using DAVID bioinformatics resources. 2009, Pubmed
Keller, Empirical statistical model to estimate the accuracy of peptide identifications made by MS/MS and database search. 2002, Pubmed
Khokha, Techniques and probes for the study of Xenopus tropicalis development. 2002, Pubmed , Xenbase
Kroll, A homolog of FBP2/KSRP binds to localized mRNAs in Xenopus oocytes. 2002, Pubmed , Xenbase
Lee, Temporal and spatial regulation of fibronectin in early Xenopus development. 1984, Pubmed , Xenbase
Lucitt, Analysis of the zebrafish proteome during embryonic development. 2008, Pubmed
Lund, Limiting Ago protein restricts RNAi and microRNA biogenesis during early development in Xenopus laevis. 2011, Pubmed , Xenbase
Mann, Precision proteomics: the case for high resolution and high mass accuracy. 2008, Pubmed
McClatchy, Quantification of the synaptosomal proteome of the rat cerebellum during post-natal development. 2007, Pubmed
McGivern, Toward defining the phosphoproteome of Xenopus laevis embryos. 2009, Pubmed , Xenbase
Miller, The nucleotide sequence of oocyte 5S DNA in Xenopus laevis. II. The GC-rich region. 1978, Pubmed , Xenbase
Miyamoto, Nuclear Wave1 is required for reprogramming transcription in oocytes and for normal development. 2013, Pubmed , Xenbase
Neupert, Targeted single-cell microchemical analysis: MS-based peptidomics of individual paraformaldehyde-fixed and immunolabeled neurons. 2012, Pubmed
Oelgeschläger, The evolutionarily conserved BMP-binding protein Twisted gastrulation promotes BMP signalling. 2000, Pubmed , Xenbase
Olsen, Parts per million mass accuracy on an Orbitrap mass spectrometer via lock mass injection into a C-trap. 2005, Pubmed
Ong, Mass spectrometry-based proteomics turns quantitative. 2005, Pubmed
Ong, Stable isotope labeling by amino acids in cell culture, SILAC, as a simple and accurate approach to expression proteomics. 2002, Pubmed
Ow, Quantitative shotgun proteomics of enriched heterocysts from Nostoc sp. PCC 7120 using 8-plex isobaric peptide tags. 2008, Pubmed
Paranjpe, A genome-wide survey of maternal and embryonic transcripts during Xenopus tropicalis development. 2013, Pubmed , Xenbase
Phanstiel, Proteomic and phosphoproteomic comparison of human ES and iPS cells. 2011, Pubmed
Picotti, Selected reaction monitoring-based proteomics: workflows, potential, pitfalls and future directions. 2012, Pubmed
Reintsch, Deciphering animal development through proteomics: requirements and prospects. 2008, Pubmed
Rigbolt, GProX, a user-friendly platform for bioinformatics analysis and visualization of quantitative proteomics data. 2011, Pubmed
Ross, Multiplexed protein quantitation in Saccharomyces cerevisiae using amine-reactive isobaric tagging reagents. 2004, Pubmed
Shechter, A distinct H2A.X isoform is enriched in Xenopus laevis eggs and early embryos and is phosphorylated in the absence of a checkpoint. 2009, Pubmed , Xenbase
Shilov, The Paragon Algorithm, a next generation search engine that uses sequence temperature values and feature probabilities to identify peptides from tandem mass spectra. 2007, Pubmed
Smith, Measurement of protein using bicinchoninic acid. 1985, Pubmed
Stebbins-Boaz, Maskin is a CPEB-associated factor that transiently interacts with elF-4E. 1999, Pubmed , Xenbase
Stillman, Cell cycle control of DNA replication. 1996, Pubmed
Sun, Ultrasensitive and fast bottom-up analysis of femtogram amounts of complex proteome digests. 2013, Pubmed
Sun, Integrated capillary zone electrophoresis-electrospray ionization tandem mass spectrometry system with an immobilized trypsin microreactor for online digestion and analysis of picogram amounts of RAW 264.7 cell lysate. 2013, Pubmed
Tan, RNA sequencing reveals a diverse and dynamic repertoire of the Xenopus tropicalis transcriptome over development. 2013, Pubmed , Xenbase
Tanaka, RAP55, a cytoplasmic mRNP component, represses translation in Xenopus oocytes. 2006, Pubmed , Xenbase
Tikhmyanova, Isoform switching of Cdc6 contributes to developmental cell cycle remodeling. 2003, Pubmed , Xenbase
Turpen, Cloning and developmental expression of Xenopus Stat1. 2001, Pubmed , Xenbase
Ura, A positive role for nucleosome mobility in the transcriptional activity of chromatin templates: restriction by linker histones. 1995, Pubmed , Xenbase
Ura, Differential association of HMG1 and linker histones B4 and H1 with dinucleosomal DNA: structural transitions and transcriptional repression. 1996, Pubmed , Xenbase
Villalba, Cytoplasmic polyadenylation and translational control. 2011, Pubmed
Wallace, Ribosomal cistrons and the nucleolar organizer. 1966, Pubmed
Wang, Proteomic analysis of differences in ectoderm and mesoderm membranes by DiGE. 2012, Pubmed , Xenbase
Wang, Proteome of mouse oocytes at different developmental stages. 2010, Pubmed
Washburn, Large-scale analysis of the yeast proteome by multidimensional protein identification technology. 2001, Pubmed
Whittal, Nanoliter chemistry combined with mass spectrometry for peptide mapping of proteins from single mammalian cell lysates. 1998, Pubmed
Wolffe, Dominant and specific repression of Xenopus oocyte 5S RNA genes and satellite I DNA by histone H1. 1989, Pubmed , Xenbase
Wolf-Yadlin, Multiple reaction monitoring for robust quantitative proteomic analysis of cellular signaling networks. 2007, Pubmed
Wu, Zygote arrest 1 (Zar1) is an evolutionarily conserved gene expressed in vertebrate ovaries. 2003, Pubmed , Xenbase
Yanai, Mapping gene expression in two Xenopus species: evolutionary constraints and developmental flexibility. 2011, Pubmed , Xenbase
Yao, Proteolytic 18O labeling for comparative proteomics: model studies with two serotypes of adenovirus. 2001, Pubmed
Yim, Cleavage of Cdc6 by caspase-3 promotes ATM/ATR kinase-mediated apoptosis of HeLa cells. 2006, Pubmed
Yurkova, A translation regulatory particle containing the Xenopus oocyte Y box protein mRNP3+4. 1997, Pubmed , Xenbase
Zhai, Phosphoproteome analysis of Drosophila melanogaster embryos. 2008, Pubmed
Zhang, Protein analysis by shotgun/bottom-up proteomics. 2013, Pubmed
Zhou, Genome-scale proteome quantification by DEEP SEQ mass spectrometry. 2013, Pubmed
