Click here to close
Hello! We notice that you are using Internet Explorer, which is not supported by Xenbase and may cause the site to display incorrectly.
We suggest using a current version of Chrome,
FireFox, or Safari.
PLoS One
2014 Feb 03;92:e89461. doi: 10.1371/journal.pone.0089461.
Show Gene links
Show Anatomy links
A developmental approach to predicting neuronal connectivity from small biological datasets: a gradient-based neuron growth model.
Borisyuk R, Al Azad AK, Conte D, Roberts A, Soffe SR.
???displayArticle.abstract???
Relating structure and function of neuronal circuits is a challenging problem. It requires demonstrating how dynamical patterns of spiking activity lead to functions like cognitive behaviour and identifying the neurons and connections that lead to appropriate activity of a circuit. We apply a "developmental approach" to define the connectome of a simple nervous system, where connections between neurons are not prescribed but appear as a result of neuron growth. A gradient based mathematical model of two-dimensional axon growth from rows of undifferentiated neurons is derived for the different types of neurons in the brainstem and spinal cord of young tadpoles of the frog Xenopus. Model parameters define a two-dimensional CNS growth environment with three gradient cues and the specific responsiveness of the axons of each neuron type to these cues. The model is described by a nonlinear system of three difference equations; it includes a random variable, and takes specific neuron characteristics into account. Anatomical measurements are first used to position cell bodies in rows and define axon origins. Then a generalization procedure allows information on the axons of individual neurons from small anatomical datasets to be used to generate larger artificial datasets. To specify parameters in the axon growth model we use a stochastic optimization procedure, derive a cost function and find the optimal parameters for each type of neuron. Our biologically realistic model of axon growth starts from axon outgrowth from the cell body and generates multiple axons for each different neuron type with statistical properties matching those of real axons. We illustrate how the axon growth model works for neurons with axons which grow to the same and the opposite side of the CNS. We then show how, by adding a simple specification for dendrite morphology, our model "developmental approach" allows us to generate biologically-realistic connectomes.
???displayArticle.pubmedLink???
24586794 ???displayArticle.pmcLink???PMC3931784 ???displayArticle.link???PLoS One ???displayArticle.grants???[+]
Figure 2. Generalization of values from limited biological datasets.(A) Piece-wise linear approximation of the cumulative distribution function for cINaxon length. Red stars are points on the cumulative distribution function whose horizontal co-ordinates relate to biological measurements (nâ=â46). The blue line shows the piece-wise-linear approximation of the cumulative distribution. The yellow dot shows the generated axon length corresponding to random value w. (B) Two-dimensional generalization of dorso-ventralaxon start point and axon initial outgrowth angle for two examples of tadpole spinal neurons (cIN upper, aIN lower). Coloured symbols are measured values; grey symbols are generated values. (Algorithm parameter values: and ; see SI for details.).
Figure 3. Cost function components and optimization of growth parameters for tadpoleaIN neurons.(A) Ten axon trajectories. Histogram (left) showing the dorso-ventral distribution of interpolated points along the length of a set of real axons (right: viewed laterally as in Fig. 4C; red symbols indicated intermittently measured points with all axons starting at the right). The proportion of points accumulated at each dorso-ventral level (e.g. cyan bar) is shown in the appropriate 10 µm bin. (B) Like A, but for a set of model axons. (C) Tortuosity in single axons. Red lines indicate the direct (chord) length; red symbols indicate measured points on the path of a real axon (left); paths of model axons (right, blue) were re-sampled at 10 µm intervals. (D) The random component in the cost function needed for optimization produces an uneven surface (illustrated for two dimensions: dorsal and ventral sensitivity). White arrows indicate multiple slopes from the start point of a search for a minimum cost function value (Global minimum). (E) Histogram of a sample containing 1000 repetitive calculations of the cost function for a single set of axon growth parameter values (All examples in AâE are for tadpole aINs).
Figure 4. The two-dimensional environment for axon growth.(A) Side view of the head end of the tadpole showing hindbrain and spinal cord (buff). (B) Diagram of a section of the CNS to show the main parts including the central canal surrounded by a glial cell layer and the ventralfloor plate, surrounded in turn by the layer of neuronal somata. Lying outside the soma layer are the marginal zones, in which most axons grow, and the dorsal tracts containing sensory neuron axons, separated from the marginal zone by a barrier formed by the dli column, a column of dorsolaterally-situated sensory pathway somata (red line), and bounded dorsally by the column of RB sensory neuron soma (yellow line). (C) The CNS opened like a book along dorsal midline (dotted line in B). Graphs on the left show the gradients originating at the dorsal edge (GD, green) and near the midline of the ventral floor-plate (GV, blue). There is also a longitudinal polarity (GR, not illustrated). Lines on the right (purple) indicate the dorso-ventral positions of a series of barriers to axon growth (see text for further details).
Figure 5. Measured axon projections of two of the tadpoleneuron types: aINs (dark blue) with uncrossed, primary ascending axons and secondary descending axons; and cINs (light blue) with crossing, primary ascending axons and secondary descending axons.In each case, examples are shown in situ, within the growth environment and also individually to illustrate their basic morphology.
Figure 6. Stages of axon growth and model axon projections.(A) Flowchart summarising the sequence of stages in modelling axon growth for neurons with crossed or uncrossed axons. Rectangles denote axon growth stages; ovals denote values obtained using generalization procedures. Note that a secondary axon can branch from the ‘orientation’ or ‘main’ region of a primary axon. (B) Illustration of the main stages of axon growth described in A. In these examples, both primary axons are ascending. Asterisks indicate branch points. (C) Axon projections generated by the growth model for uncrossed aINs (dark blue) and crossing cINs (light blue). Ten examples of each type are shown in situ with some of each type separated to show their individual morphology. Compare to real examples in Figure 5. Bar charts compare the proportions of the main growth for the primary axon projections in real and model axons in 10 µm dorso-ventral bins (projections sampled every 1 µm).
Figure 7. The influence of the random variable and initial angle on ascending axon growth.Groups of 25 ascending axons, grown using aIN parameters. Note: All axons start at 2000 µm rostro-caudally and from a range of dorso-ventral positions. The fixed point of stability for aINs is indicated (red line shows ). (A–C) Axon starts are randomly distributed dorso-ventrally. As the random variable is increased (values of α indicated), trajectories become more variable: for , axon trajectories approach ; for and , trajectories increasingly deviate from . (D)(E) Axons have lengths, dorso-ventral start positions and initial angles distributed according to generalized aIN values. With , no axons reach within the length of the axon. With , the value optimized for aINs, the tendency of growth towards is much less obvious, but the axon trajectories are much more realistic. (F) Ascending axons of real aINs, aligned rostro-caudally to match the model axons.
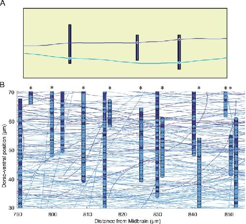
Figure 8. Connectome generation.A. Diagram with two longitudinally-running axons passing the dendrites (vertical bars) of three aIN neurons. Synapses (circles) can form (with probability = 0.46) where an axon meets a dendrite. B. Part of the growth field showing a region of a partial connectome formed by populations of just two neuron types (aIN, dark blue and cIN, light blue). Asterisks indicate dendrites of cINs.
Figure 1. Features of the axon growth process (A) Three consecutive points of a growing axon are shown.Direction of growth during each step (Î) is defined by the growth angle (θ). The dashed line shows the trajectory if based only on axon âstiffnessâ (keeping the same direction) where there is no influence causing it to deviate. (B) Rostro-caudal (GRC) and dorso-ventral (GDV) gradients and their projections to the direction of growth between two consecutive points of a growing axon.
Borisyuk,
Stochasticity and functionality of neural systems: mathematical modelling of axon growth in the spinal cord of tadpole.
2008, Pubmed,
Xenbase
Borisyuk,
Stochasticity and functionality of neural systems: mathematical modelling of axon growth in the spinal cord of tadpole.
2008,
Pubmed
,
Xenbase Borisyuk,
Modeling the connectome of a simple spinal cord.
2011,
Pubmed
,
Xenbase Charron,
The morphogen sonic hedgehog is an axonal chemoattractant that collaborates with netrin-1 in midline axon guidance.
2003,
Pubmed
,
Xenbase Chilton,
Molecular mechanisms of axon guidance.
2006,
Pubmed Dickson,
Molecular mechanisms of axon guidance.
2002,
Pubmed Forbes,
Calcium and cAMP levels interact to determine attraction versus repulsion in axon guidance.
2012,
Pubmed Godfrey,
A multi-component model of the developing retinocollicular pathway incorporating axonal and synaptic growth.
2009,
Pubmed Goodhill,
A theoretical model of axon guidance by the Robo code.
2003,
Pubmed Goodhill,
Axon guidance: stretching gradients to the limit.
1998,
Pubmed Goodhill,
Mathematical guidance for axons.
1998,
Pubmed Goodhill,
Diffusion in axon guidance.
1997,
Pubmed Goulding,
Development of circuits that generate simple rhythmic behaviors in vertebrates.
2005,
Pubmed Helms,
Specification of dorsal spinal cord interneurons.
2003,
Pubmed Hentschel,
Models of axon guidance and bundling during development.
1999,
Pubmed Imondi,
Commissural axon pathfinding on the contralateral side of the floor plate: a role for B-class ephrins in specifying the dorsoventral position of longitudinally projecting commissural axons.
2001,
Pubmed Jessell,
Neuronal specification in the spinal cord: inductive signals and transcriptional codes.
2000,
Pubmed Jung,
Translational regulation in growth cones.
2011,
Pubmed Krottje,
A mathematical framework for modeling axon guidance.
2007,
Pubmed Lewis,
How do genes regulate simple behaviours? Understanding how different neurons in the vertebrate spinal cord are genetically specified.
2006,
Pubmed Li,
Persistent responses to brief stimuli: feedback excitation among brainstem neurons.
2006,
Pubmed
,
Xenbase Li,
Primitive roles for inhibitory interneurons in developing frog spinal cord.
2004,
Pubmed
,
Xenbase Li,
Axon and dendrite geography predict the specificity of synaptic connections in a functioning spinal cord network.
2007,
Pubmed
,
Xenbase Li,
The spinal interneurons and properties of glutamatergic synapses in a primitive vertebrate cutaneous flexion reflex.
2003,
Pubmed
,
Xenbase Li,
Spinal inhibitory neurons that modulate cutaneous sensory pathways during locomotion in a simple vertebrate.
2002,
Pubmed
,
Xenbase Li,
Defining classes of spinal interneuron and their axonal projections in hatchling Xenopus laevis tadpoles.
2001,
Pubmed
,
Xenbase Lyuksyutova,
Anterior-posterior guidance of commissural axons by Wnt-frizzled signaling.
2003,
Pubmed Marder,
Multiple models to capture the variability in biological neurons and networks.
2011,
Pubmed McCaig,
Controlling cell behavior electrically: current views and future potential.
2005,
Pubmed Moon,
Adjacent pioneer commissural interneuron growth cones switch from contact avoidance to axon fasciculation after midline crossing.
2005,
Pubmed
,
Xenbase Mortimer,
Axon guidance by growth-rate modulation.
2010,
Pubmed Mortimer,
Bayes-optimal chemotaxis.
2011,
Pubmed Mortimer,
Growth cone chemotaxis.
2008,
Pubmed Mueller,
Growth cone guidance: first steps towards a deeper understanding.
1999,
Pubmed Munno,
Synaptogenesis in the CNS: an odyssey from wiring together to firing together.
2003,
Pubmed Nishiyama,
Cyclic AMP/GMP-dependent modulation of Ca2+ channels sets the polarity of nerve growth-cone turning.
2003,
Pubmed
,
Xenbase Polleux,
Transcriptional regulation of vertebrate axon guidance and synapse formation.
2007,
Pubmed Roberts,
The neuroanatomy of an amphibian embryo spinal cord.
1982,
Pubmed
,
Xenbase Roberts,
How neurons generate behavior in a hatchling amphibian tadpole: an outline.
2010,
Pubmed
,
Xenbase Roberts,
Can simple rules control development of a pioneer vertebrate neuronal network generating behavior?
2014,
Pubmed
,
Xenbase Rosoff,
A new chemotaxis assay shows the extreme sensitivity of axons to molecular gradients.
2004,
Pubmed Schnorrer,
Axon guidance: morphogens show the way.
2004,
Pubmed Sergi,
Cell guidance on nanogratings: a computational model of the interplay between PC12 growth cones and nanostructures.
2013,
Pubmed Shimozono,
Visualization of an endogenous retinoic acid gradient across embryonic development.
2013,
Pubmed Shirasaki,
FGF as a target-derived chemoattractant for developing motor axons genetically programmed by the LIM code.
2006,
Pubmed Shirasaki,
Crossing the floor plate triggers sharp turning of commissural axons.
2001,
Pubmed Song,
The cell biology of neuronal navigation.
2001,
Pubmed SPERRY,
CHEMOAFFINITY IN THE ORDERLY GROWTH OF NERVE FIBER PATTERNS AND CONNECTIONS.
1963,
Pubmed Tessier-Lavigne,
The molecular biology of axon guidance.
1996,
Pubmed van Ooyen,
Using theoretical models to analyse neural development.
2011,
Pubmed Yamamoto,
Wiring of the brain by a range of guidance cues.
2002,
Pubmed Zou,
Morphogens as conserved axon guidance cues.
2007,
Pubmed Zubler,
A framework for modeling the growth and development of neurons and networks.
2009,
Pubmed