Click here to close
Hello! We notice that you are using Internet Explorer, which is not supported by Xenbase and may cause the site to display incorrectly.
We suggest using a current version of Chrome,
FireFox, or Safari.
???displayArticle.abstract???
The mitogen-activated protein kinase (MAPK) pathway is considered to be a central block in many biological signaling networks. Despite the common core cascade structure, the activation of MAPK in different biological systems can exhibit different types of dynamic behaviors. Computer modeling may help to reveal the mechanisms underlying such variations. However, so far most computational models of the MAPK cascade have been system-specific, or to reflect a particular type among the wide spectrum of possible dynamics. To obtain a general and integrated view of the relationship between the dynamics of MAPK activation and the structures and parameters of the MAPK cascade, we constructed a generic model by comparing previous models covering different specific biological systems. We assumed that reliable qualitative results could be predicted through a qualitative model with pseudo parameters. We used randomly sampled parameters instead of a specific set of "best-fit" parameters to avoid biases towards any particular systems. A range of dynamics behaviors for MAPK activation, including ultrasensitivity, bistability, transient activation and oscillation, were successfully predicted by the generic model. The results indicated that the steady state dynamics (ultrasensitivity and bistability) was jointly determined by the three-tiered structure of the MAPK cascade and the competitive substrate binding in the dual-phosphorylation processes of the central components, while the temporal dynamics (transient activation and oscillation) was mainly affected by the upstream signaling pathway and feedbacks. Moreover, MAPK kinase (MAPKK) played more important roles than the other two components in determining the dynamics of MAPK activation. We hypothesize that this is an important and advantageous property for the regulation and for the functional diversity of MAPK pathways in real cells. Finally, to assist developing generic models for signaling motifs through model comparisons, we proposed a reaction-based database to make the model data more flexible and interoperable.
???displayArticle.pubmedLink???
23365667 ???displayArticle.pmcLink???PMC3554771 ???displayArticle.link???PLoS One
Figure 2. The topology of the generic model for MAPK activation.The presence or absence of the two probable feedbacks depends on the chosen kinetic parameters. In choosing the parameters, we applied the constraints that a particular parameter set can lead to either no feedback or the presence of only one of the feedbacks, but not the simultaneous presence of both feedbacks. In the Figure, the prefix p- means phosphorylated and pp- means dual-phosphorylated.
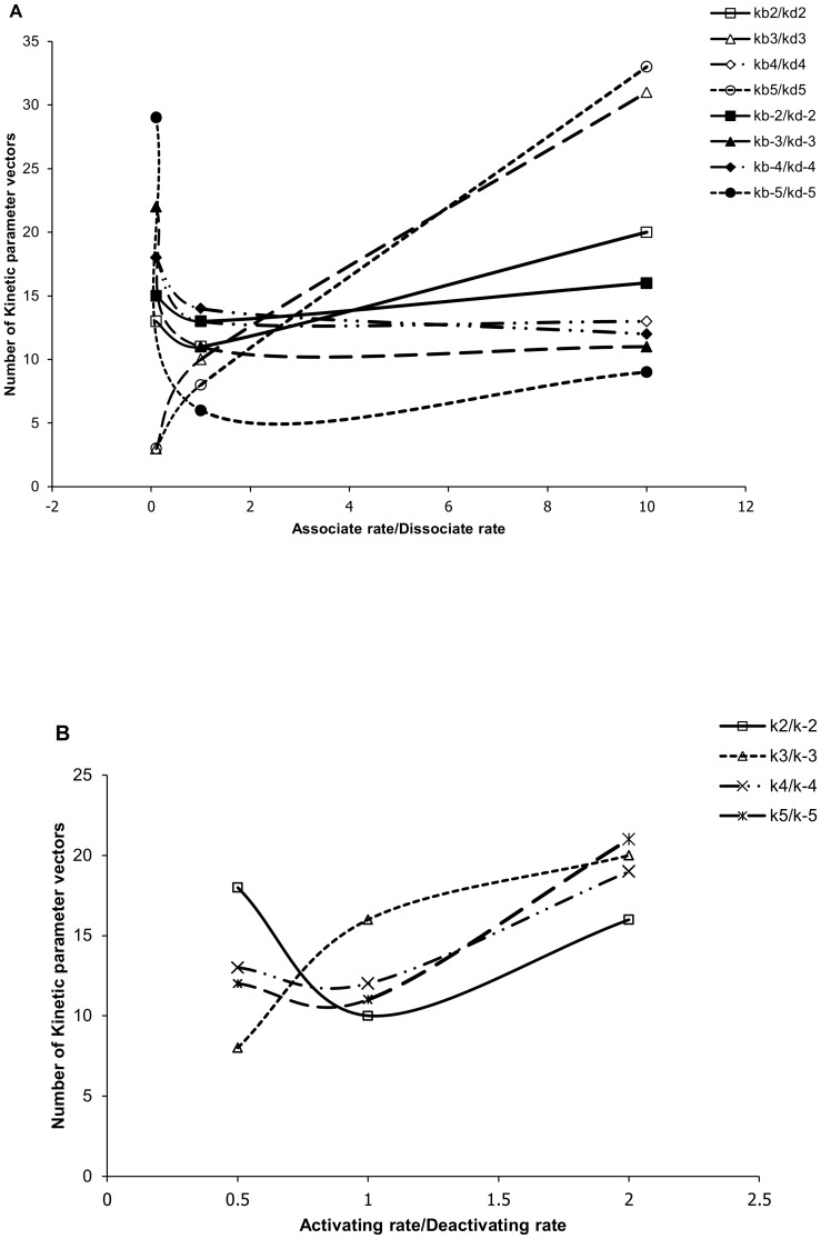
Figure 3. Number of kinetic parameter vectors (vertical axis) that, when combined with 36 concentration vectors, lead to responsive models in more than 30 cases.The total 160 kinetic parameter vectors are grouped by different ratios (horizontal axis) of (a) various association rates (kbN and kb-N) over the corresponding dissociation rates (kdN and kd-N), and (b) various activation rates (kN) over the corresponding deactivation rate (k-N).
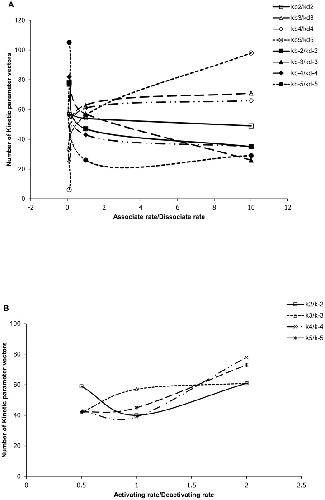
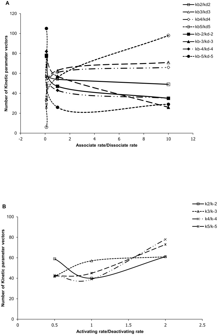
Figure 4. Number of kinetic parameter vectors (vertical axis) that lead to large Gradient (Gradient>400) for MAPK activation (see text).As in Figure 3, the numbers are shown for different ratios (horizontal axis) of (a) various association rates (kbN and kb-N) over the respective dissociation rates (kdN and kd-N), and (b) various activation rates (kN) over the respective deactivation rate (k-N).
Figure 5. The numbers of bistable models obtained for different phosphorylation rates (horizontal axis).(a) Absolutely bistable models (Bistability>9.5); (b) Bistable models (Bistability>1.5).
Figure 1. A schematic drawing summarizing the topologies of the MAPK activation network studied by previous models.The numbers are numeric IDs of the models as they are referred in the text and Table 1. The prefix âp-â means phosphorylated and âpp-â means dual-phosphorylated.
Alessi,
Identification of the sites in MAP kinase kinase-1 phosphorylated by p74raf-1.
1994, Pubmed
Alessi,
Identification of the sites in MAP kinase kinase-1 phosphorylated by p74raf-1.
1994,
Pubmed Beal,
A Bayesian approach to reconstructing genetic regulatory networks with hidden factors.
2005,
Pubmed Campagne,
Quantitative information management for the biochemical computation of cellular networks.
2004,
Pubmed Falschlehner,
TRAIL signalling: decisions between life and death.
2007,
Pubmed Ferrell,
The biochemical basis of an all-or-none cell fate switch in Xenopus oocytes.
1998,
Pubmed
,
Xenbase Ferrell,
Self-perpetuating states in signal transduction: positive feedback, double-negative feedback and bistability.
2002,
Pubmed
,
Xenbase Ferrell,
Bistability in cell signaling: How to make continuous processes discontinuous, and reversible processes irreversible.
2001,
Pubmed
,
Xenbase HarshaRani,
Electronic data sources for kinetic models of cell signaling.
2005,
Pubmed Hilioti,
Oscillatory phosphorylation of yeast Fus3 MAP kinase controls periodic gene expression and morphogenesis.
2008,
Pubmed Huang,
Shape-dependent control of cell growth, differentiation, and apoptosis: switching between attractors in cell regulatory networks.
2000,
Pubmed Huang,
Ultrasensitivity in the mitogen-activated protein kinase cascade.
1996,
Pubmed
,
Xenbase Hucka,
The systems biology markup language (SBML): a medium for representation and exchange of biochemical network models.
2003,
Pubmed Keshet,
The MAP kinase signaling cascades: a system of hundreds of components regulates a diverse array of physiological functions.
2010,
Pubmed Kholodenko,
Negative feedback and ultrasensitivity can bring about oscillations in the mitogen-activated protein kinase cascades.
2000,
Pubmed Kuida,
Functions of MAP kinases: insights from gene-targeting studies.
2004,
Pubmed Kurata,
Mathematical identification of critical reactions in the interlocked feedback model.
2007,
Pubmed Le Novère,
BioModels Database: a free, centralized database of curated, published, quantitative kinetic models of biochemical and cellular systems.
2006,
Pubmed Levchenko,
Scaffold proteins may biphasically affect the levels of mitogen-activated protein kinase signaling and reduce its threshold properties.
2000,
Pubmed Lue,
Rapid and transient activation of the ERK MAPK signalling pathway by macrophage migration inhibitory factor (MIF) and dependence on JAB1/CSN5 and Src kinase activity.
2006,
Pubmed Markevich,
Signaling switches and bistability arising from multisite phosphorylation in protein kinase cascades.
2004,
Pubmed Nakakuki,
Topological analysis of MAPK cascade for kinetic ErbB signaling.
2008,
Pubmed Nikolaev,
Sensitivity and control analysis of periodically forced reaction networks using the Green's function method.
2007,
Pubmed Qiao,
Bistability and oscillations in the Huang-Ferrell model of MAPK signaling.
2007,
Pubmed Santos,
Growth factor-induced MAPK network topology shapes Erk response determining PC-12 cell fate.
2007,
Pubmed Sasagawa,
Prediction and validation of the distinct dynamics of transient and sustained ERK activation.
2005,
Pubmed Schoeberl,
Computational modeling of the dynamics of the MAP kinase cascade activated by surface and internalized EGF receptors.
2002,
Pubmed Seger,
The MAPK signaling cascade.
1995,
Pubmed Shaul,
The MEK/ERK cascade: from signaling specificity to diverse functions.
2007,
Pubmed Sivakumaran,
The Database of Quantitative Cellular Signaling: management and analysis of chemical kinetic models of signaling networks.
2003,
Pubmed Torii,
Regulatory mechanisms and function of ERK MAP kinases.
2004,
Pubmed van Riel,
Dynamic modelling and analysis of biochemical networks: mechanism-based models and model-based experiments.
2006,
Pubmed Wellbrock,
The RAF proteins take centre stage.
2004,
Pubmed Yoon,
The extracellular signal-regulated kinase: multiple substrates regulate diverse cellular functions.
2006,
Pubmed Yoon,
Investigating differential dynamics of the MAPK signaling cascade using a multi-parametric global sensitivity analysis.
2009,
Pubmed