Click here to close
Hello! We notice that you are using Internet Explorer, which is not supported by Xenbase and may cause the site to display incorrectly.
We suggest using a current version of Chrome,
FireFox, or Safari.
PLoS One
2013 Jan 01;89:e75076. doi: 10.1371/journal.pone.0075076.
Show Gene links
Show Anatomy links
Insight into the intermolecular recognition mechanism between Keap1 and IKKβ combining homology modelling, protein-protein docking, molecular dynamics simulations and virtual alanine mutation.
Jiang ZY, Chu HX, Xi MY, Yang TT, Jia JM, Huang JJ, Guo XK, Zhang XJ, You QD, Sun HP.
???displayArticle.abstract???
Degradation of certain proteins through the ubiquitin-proteasome pathway is a common strategy taken by the key modulators responsible for stress responses. Kelch-like ECH-associated protein-1(Keap1), a substrate adaptor component of the Cullin3 (Cul3)-based ubiquitin E3 ligase complex, mediates the ubiquitination of two key modulators, NF-E2-related factor 2 (Nrf2) and IκB kinase β (IKKβ), which are involved in the redox control of gene transcription. However, compared to the Keap1-Nrf2 protein-protein interaction (PPI), the intermolecular recognition mechanism of Keap1 and IKKβ has been poorly investigated. In order to explore the binding pattern between Keap1 and IKKβ, the PPI model of Keap1 and IKKβ was investigated. The structure of human IKKβ was constructed by means of the homology modeling method and using reported crystal structure of Xenopus laevis IKKβ as the template. A protein-protein docking method was applied to develop the Keap1-IKKβ complex model. After the refinement and visual analysis of docked proteins, the chosen pose was further optimized through molecular dynamics simulations. The resulting structure was utilized to conduct the virtual alanine mutation for the exploration of hot-spots significant for the intermolecular interaction. Overall, our results provided structural insights into the PPI model of Keap1-IKKβ and suggest that the substrate specificity of Keap1 depend on the interaction with the key tyrosines, namely Tyr525, Tyr574 and Tyr334. The study presented in the current project may be useful to design molecules that selectively modulate Keap1. The selective recognition mechanism of Keap1 with IKKβ or Nrf2 will be helpful to further know the crosstalk between NF-κB and Nrf2 signaling.
???displayArticle.pubmedLink???
24066166 ???displayArticle.pmcLink???PMC3774807 ???displayArticle.link???PLoS One
Figure 2. Domain structure of Nrf2 and Keap1.Keap1 possesses four characteristic domains: the Broad complex, Tramtrack, and Bric-a-Brac (BTB); the intervening region (IVR); the double glycine repeat or Kelch repeat (DGR); and the C-terminal region (CTR). The DGR and CTR domains, also known as DC domain, mediate interaction with Neh2 domain of Nrf2. Nrf2 can be divided into six highly homologous regions (Neh1 to Neh6 domains) through comparing the human and chicken Nrf2 amino acid sequences. Neh2 is responsible for interacting with Keap1.
Figure 3. Sequence comparison of Keap1 binding motif.The Asn34 and Gln35 are located before ETGE in human IKKβ, while these two residues change to the Asp77 and Glu78 in Nrf2.
Figure 4. Homology Modeling of Homo sapiens IKKβ.(A) Domain structure of IKKβ. IKKβ can be divided into three function domains: a kinase domain (KD), an ubiquitin-like domain (ULD) and an elongated, α-helical scaffold/dimerization domain (SDD) colored as green, red and yellow. (B) Ribbon diagram of Homo sapiens IKKβ from Homology Modeling. KD (green), ULD (red) and SDD (yellow) are labeled. (C) Superimpose of Homo sapiens IKKβ and Xenopus laevis IKKβ. The Keap1 binding motif is colored as azure. In general, the structure of Homo sapiens IKKβ (yellow) and Xenopus laevis IKKβ (red) are quite similar. Both of the Keap1 binding motifs (blue) form the β-turn structure. (D) & (E) Structure difference of Keap1 binding motif between Homo sapiens IKKβ (red) and Xenopus laevis IKKβ (blue). The most different residues were labeled in the picture.
Figure 5. Protein-Protein Docking of IKKβ and Keap1.(A) Complex of IKKβ and Keap1 shown as ribbon diagram. The Keap1 binding motif of IKKβ fits into an identical pocket of Keap1. (B) Superimpose of IKKβ (Dark green) and Nrf2 (yellow, PDB ID: 2FLU) ETGE motif in the Keap1 cavity. IKKβ and Nrf2 occupy almost the same part of Keap1 cavity. However, the structures of ETGE motif show some differences. In the case of IKKβ, the two antiparallel β-strands, forming the turn region, are closer than the Nrf2 ETGE motif. (C) The top view of Keap1-IKKβ complex. The IKKβ ETGE motif is represented in sticks and the surface of Keap1 is colored by partial charge. Both of the two side chain carboxyl groups point to the positively charged surface. (D) Interacting amino acid residues on the IKKβ and Keap1. The interacting region of Keap1 is represented in sticks and the regions of IKKβ are shown in ball and sticks.
Figure 6. MD simulation of Keap1 DC domain.(A) The six kelch repeats that comprise the DGR domain of Keap1 form a highly symmetric, 6-bladed-propeller structure (Blade I: residue 598-609 and 327-358, blue; Blade II: residue 359-409, red; Blade III: residue 410-456, purple; Blade IV: residue 457-503, yellow; Blade V: 504-550, green; Blade VI: residue 551-597, orange PDB code: 2FLU). (B) Analysis of Root Mean Square Deviation of backbone atoms during molecular dynamics simulation (red for the first run, blue for the second run and black for the third run). (C) & (D) Representative structures of triplicate MD simulations (coloured as azure, yellow and green) superimposed to the starting structure (red). Though the whole structure of Keap1 DC domain is stable, all six blades of the β-propeller tend to be more open and loose.
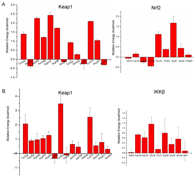
Figure 8. Virtual Alanine Mutation of binding residues.The Y axis is the weighted mutation energy (unit: kcal/mol) and the X axis is the name of mutated amino acid. (A) Mean values of Virtual Alanine Mutation of Nrf2-Keap1 complex with standard deviation. (B) Mean values of Virtual Alanine Mutation of Keap1-IKKβ complex obtained from triplicate MD simulations with standard deviation.
Figure 1. Ubiquitination of a protein substrate through E1→E2→E3.Step1: E1 activates Ub C terminus to form a thioester intermediate by coupling ATP hydrolysis; Step2: the activated Ub is transferred to E2 also in the thioester form; Steps3: the E3 ligase catalyzes the transfer of one Ub molecule at a time or a Ub chain to a protein target.
Andrusier,
Principles of flexible protein-protein docking.
2008, Pubmed
Andrusier,
Principles of flexible protein-protein docking.
2008,
Pubmed Anwar,
Induction of heme oxygenase 1 by moderately oxidized low-density lipoproteins in human vascular smooth muscle cells: role of mitogen-activated protein kinases and Nrf2.
2005,
Pubmed Balogun,
Curcumin activates the haem oxygenase-1 gene via regulation of Nrf2 and the antioxidant-responsive element.
2003,
Pubmed Bonvin,
Flexible protein-protein docking.
2006,
Pubmed Brigelius-Flohé,
Basic principles and emerging concepts in the redox control of transcription factors.
2011,
Pubmed Carayol,
A dominant function of IKK/NF-kappaB signaling in global lipopolysaccharide-induced gene expression.
2006,
Pubmed Chen,
Docking unbound proteins using shape complementarity, desolvation, and electrostatics.
2002,
Pubmed Chen,
Resveratrol upregulates heme oxygenase-1 expression via activation of NF-E2-related factor 2 in PC12 cells.
2005,
Pubmed Chen,
A novel shape complementarity scoring function for protein-protein docking.
2003,
Pubmed Clements,
DJ-1, a cancer- and Parkinson's disease-associated protein, stabilizes the antioxidant transcriptional master regulator Nrf2.
2006,
Pubmed Copple,
Physical and functional interaction of sequestosome 1 with Keap1 regulates the Keap1-Nrf2 cell defense pathway.
2010,
Pubmed Cullinan,
The Keap1-BTB protein is an adaptor that bridges Nrf2 to a Cul3-based E3 ligase: oxidative stress sensing by a Cul3-Keap1 ligase.
2004,
Pubmed Dinkova-Kostova,
Direct evidence that sulfhydryl groups of Keap1 are the sensors regulating induction of phase 2 enzymes that protect against carcinogens and oxidants.
2002,
Pubmed Eggler,
Modifying specific cysteines of the electrophile-sensing human Keap1 protein is insufficient to disrupt binding to the Nrf2 domain Neh2.
2005,
Pubmed Fujii,
The critical role of nitric oxide signaling, via protein S-guanylation and nitrated cyclic GMP, in the antioxidant adaptive response.
2010,
Pubmed Gamble,
Inhibitory kappa B Kinases as targets for pharmacological regulation.
2012,
Pubmed Go,
H2O2-dependent activation of GCLC-ARE4 reporter occurs by mitogen-activated protein kinase pathways without oxidation of cellular glutathione or thioredoxin-1.
2004,
Pubmed Gray,
High-resolution protein-protein docking.
2006,
Pubmed Grosdidier,
Protein-protein docking and hot-spot prediction for drug discovery.
2012,
Pubmed Haas,
The mechanism of ubiquitin activating enzyme. A kinetic and equilibrium analysis.
1982,
Pubmed Hess,
P-LINCS: A Parallel Linear Constraint Solver for Molecular Simulation.
2008,
Pubmed Hochstrasser,
Lingering mysteries of ubiquitin-chain assembly.
2006,
Pubmed Hong,
Specific patterns of electrophile adduction trigger Keap1 ubiquitination and Nrf2 activation.
2005,
Pubmed Hong,
Identification of sensor cysteines in human Keap1 modified by the cancer chemopreventive agent sulforaphane.
2005,
Pubmed Hu,
IkappaB kinase promotes tumorigenesis through inhibition of forkhead FOXO3a.
2004,
Pubmed Knörr-Wittmann,
Characterization of Nrf2 activation and heme oxygenase-1 expression in NIH3T3 cells exposed to aqueous extracts of cigarette smoke.
2005,
Pubmed Kobayashi,
Oxidative stress sensor Keap1 functions as an adaptor for Cul3-based E3 ligase to regulate proteasomal degradation of Nrf2.
2004,
Pubmed Komatsu,
The selective autophagy substrate p62 activates the stress responsive transcription factor Nrf2 through inactivation of Keap1.
2010,
Pubmed Lee,
KEAP1 E3 ligase-mediated downregulation of NF-kappaB signaling by targeting IKKbeta.
2009,
Pubmed Lee,
IKK beta suppression of TSC1 links inflammation and tumor angiogenesis via the mTOR pathway.
2007,
Pubmed Li,
RDOCK: refinement of rigid-body protein docking predictions.
2003,
Pubmed Li,
Crystal structure of the Kelch domain of human Keap1.
2004,
Pubmed Liu,
NF-kappaB/p65 antagonizes Nrf2-ARE pathway by depriving CBP from Nrf2 and facilitating recruitment of HDAC3 to MafK.
2008,
Pubmed Lo,
PGAM5, a Bcl-XL-interacting protein, is a novel substrate for the redox-regulated Keap1-dependent ubiquitin ligase complex.
2006,
Pubmed Ma,
Protein-protein interactions: structurally conserved residues distinguish between binding sites and exposed protein surfaces.
2003,
Pubmed Magesh,
Small molecule modulators of Keap1-Nrf2-ARE pathway as potential preventive and therapeutic agents.
2012,
Pubmed Magnani,
The ubiquitin-dependent proteolytic system and other potential targets for the modulation of nuclear factor-kB (NF-kB).
2000,
Pubmed Maynard,
Von Hippel-Lindau tumor suppressor protein and hypoxia-inducible factor in kidney cancer.
2004,
Pubmed Meyer,
Homology modeling of dissimilatory APS reductases (AprBA) of sulfur-oxidizing and sulfate-reducing prokaryotes.
2008,
Pubmed Niture,
Inhibitor of Nrf2 (INrf2 or Keap1) protein degrades Bcl-xL via phosphoglycerate mutase 5 and controls cellular apoptosis.
2011,
Pubmed Niture,
INrf2 (Keap1) targets Bcl-2 degradation and controls cellular apoptosis.
2011,
Pubmed Niture,
Hsp90 interaction with INrf2(Keap1) mediates stress-induced Nrf2 activation.
2010,
Pubmed Pickart,
Mechanisms underlying ubiquitination.
2001,
Pubmed Pierce,
ZRANK: reranking protein docking predictions with an optimized energy function.
2007,
Pubmed Pintard,
The BTB protein MEL-26 is a substrate-specific adaptor of the CUL-3 ubiquitin-ligase.
2003,
Pubmed Ritchie,
Recent progress and future directions in protein-protein docking.
2008,
Pubmed Rushworth,
Lipopolysaccharide-induced heme oxygenase-1 expression in human monocytic cells is mediated via Nrf2 and protein kinase C.
2005,
Pubmed Sali,
Comparative protein modeling by satisfaction of spatial restraints.
1995,
Pubmed Spasser,
Chemistry and biology of the ubiquitin signal.
2012,
Pubmed Sporn,
NRF2 and cancer: the good, the bad and the importance of context.
2012,
Pubmed Taguchi,
Molecular mechanisms of the Keap1–Nrf2 pathway in stress response and cancer evolution.
2011,
Pubmed Thimmulappa,
Nrf2 is a critical regulator of the innate immune response and survival during experimental sepsis.
2006,
Pubmed Thu,
Genetic disruption of KEAP1/CUL3 E3 ubiquitin ligase complex components is a key mechanism of NF-kappaB pathway activation in lung cancer.
2011,
Pubmed Tian,
Keap1: one stone kills three birds Nrf2, IKKβ and Bcl-2/Bcl-xL.
2012,
Pubmed Tong,
Different electrostatic potentials define ETGE and DLG motifs as hinge and latch in oxidative stress response.
2007,
Pubmed Weissman,
Themes and variations on ubiquitylation.
2001,
Pubmed Xia,
Phosphorylation of p53 by IkappaB kinase 2 promotes its degradation by beta-TrCP.
2009,
Pubmed Xu,
BTB proteins are substrate-specific adaptors in an SCF-like modular ubiquitin ligase containing CUL-3.
2003,
Pubmed Xu,
Crystal structure of inhibitor of κB kinase β.
2011,
Pubmed
,
Xenbase Ye,
Building ubiquitin chains: E2 enzymes at work.
2009,
Pubmed Yu,
Nuclear factor p65 interacts with Keap1 to repress the Nrf2-ARE pathway.
2011,
Pubmed Zhang,
Keap1 is a redox-regulated substrate adaptor protein for a Cul3-dependent ubiquitin ligase complex.
2004,
Pubmed