Click here to close Hello! We notice that you are using Internet Explorer, which is not supported by Xenbase and may cause the site to display incorrectly. We suggest using a current version of Chrome, FireFox, or Safari.
XB-ART-47818
J Ginseng Res 2013 Jul 01;373:324-31. doi: 10.5142/jgr.2013.37.324.
Show Gene links Show Anatomy links

Differential effects of ginsenoside metabolites on slowly activating delayed rectifier K(+) and KCNQ1 K(+) channel currents.

Choi SH, Lee BH, Kim HJ, Jung SW, Hwang SH, Nah SY.


???displayArticle.abstract???
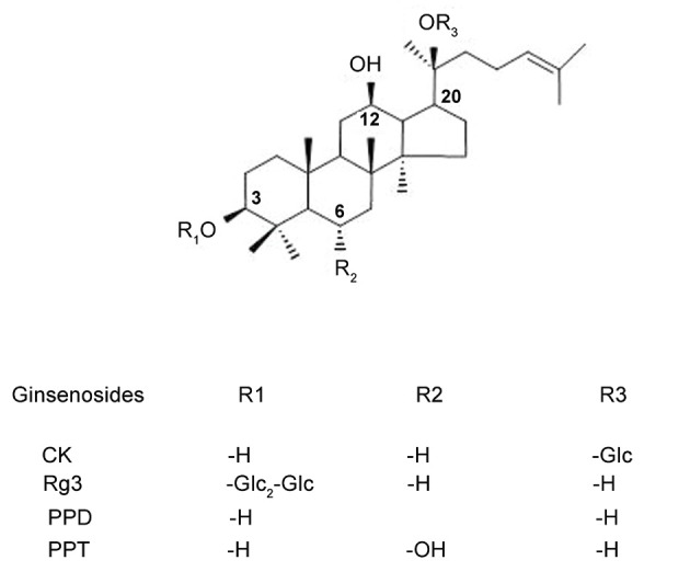
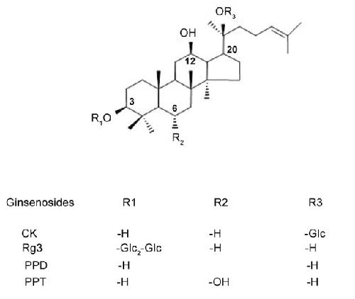
Channels formed by the co-assembly of the KCNQ1 subunit and the mink (KCNE1) subunit underline the slowly activating delayed rectifier K(+) channels (IKs ) in the heart. This K(+) channel is one of the main pharmacological targets for the development of drugs against cardiovascular disease. Panax ginseng has been shown to exhibit beneficial cardiovascular effects. In a previous study, we showed that ginsenoside Rg3 activates human KCNQ1 K(+) channel currents through interactions with the K318 and V319 residues. However, little is known about the effects of ginsenoside metabolites on KCNQ1 K(+) alone or the KCNQ1 + KCNE1 K(+) (IKs ) channels. In the present study, we examined the effect of protopanaxatriol (PPT) and compound K (CK) on KCNQ1 K(+) and IKs channel activity expressed in Xenopus oocytes. PPT more strongly inhibited the IKs channel currents than the currents of KCNQ1 K(+) alone in concentration- and voltage-dependent manners. The IC50 values on IKs and KCNQ1 alone currents for PPT were 5.18±0.13 and 10.04±0.17 μM, respectively. PPT caused a leftward shift in the activation curve of IKs channel activity, but minimally affected KCNQ1 alone. CK exhibited slight inhibition on IKs and KCNQ1 alone K(+) channel currents. These results indicate that ginsenoside metabolites show limited effects on IKs channel activity, depending on the structure of the ginsenoside metabolites.

???displayArticle.pubmedLink??? 24198658
???displayArticle.pmcLink??? PMC3818959
???displayArticle.link??? J Ginseng Res


Species referenced: Xenopus
Genes referenced: ccn6 kcne1 kcnq1 vsx1


???attribute.lit??? ???displayArticles.show???
References [+] :
Akao, Appearance of compound K, a major metabolite of ginsenoside Rb1 by intestinal bacteria, in rat plasma after oral administration--measurement of compound K by enzyme immunoassay. 1998, Pubmed