Click here to close
Hello! We notice that you are using Internet Explorer, which is not supported by Xenbase and may cause the site to display incorrectly.
We suggest using a current version of Chrome,
FireFox, or Safari.
J Ginseng Res
2012 Jan 01;361:55-60. doi: 10.5142/jgr.2012.36.1.55.
Show Gene links
Show Anatomy links
Effects of Ginsenoside Metabolites on GABAA Receptor-Mediated Ion Currents.
Lee BH, Choi SH, Shin TJ, Hwang SH, Kang J, Kim HJ, Kim BJ, Nah SY.
???displayArticle.abstract???
In a previous report, we demonstrated that ginsenoside Rc, one of major ginsenosides from Panax ginseng, enhances γ-aminobutyric acid (GABA) receptorA (GABAA)-mediated ion channel currents. However, little is known about the effects of ginsenoside metabolites on GABAA receptor channel activity. The present study investigated the effects of ginsenoside metabolites on human recombinant GABAA receptor (α1β1γ2s) channel activity expressed in Xenopus oocytes using a two-electrode voltage clamp technique. M4, a metabolite of protopanaxatriol ginsenosides, more potently inhibited the GABA-induced inward peak current (IGABA ) than protopanaxadiol (PPD), a metabolite of PPD ginsenosides. The effect of M4 and PPD on IGABA was both concentration-dependent and reversible. The half-inhibitory concentration (IC50) values of M4 and PPD were 17.1±2.2 and 23.1±8.6 μM, respectively. The inhibition of IGABA by M4 and PPD was voltage-independent and non-competitive. This study implies that the regulation of GABAA receptor channel activity by ginsenoside metabolites differs from that of ginsenosides.
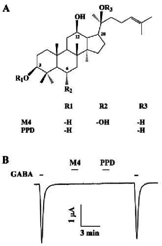
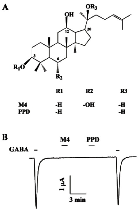
Fig. 1. Chemical structure of the ginsenoside metabolites M4 and protopanaxadiol (PPD) (A) and their effects in oocytes expressing γ-aminobutyric acid (GABA) receptorA (GABAA) receptors. (B) M4 and PPD had no effect on GABA-induced inward peak current in oocytes expressing α1β1γ2s GABAA receptors.
Fig. 2. Effect of M4 and protopanaxadiol (PPD) on γ-aminobutyric acid (GABA)-induced inward peak current (IGABA) in oocytes expressing GABA receptorA (GABAA) receptor. (A) GABA (10 μM) was first applied and then GABA was co- or pre-treated with PPD (100 μM). Co-treatment of PPD with GABA and pre-treatment of PPD before GABA application inhibited IGABA in oocytes expressing α1β1γ2s GABAA receptors. (B) GABA (10 μM) was first applied and then GABA was co- or pre-treated with M4 (100 μM). Thus, co-treatment of M4 with GABA and pre-treatment of M4 before GABA application inhibited IGABA in oocytes expressing α1β1γ2s GABAA receptors. The resting membrane potential of oocytes was about –35 mV and oocytes were voltage-clamped at a holding potential of –80 mV prior to drug application. Traces are representative of 8-12 separate oocytes from three different frogs. (C) Summary of percent inhibition by M4 and PPD of IGABA was calculated from the average of the peak inward current elicited by GABA alone before M4 or PPD and the peak inward current elicited by GABA alone after co- and pre-treatment of M4 or PPD with GABA. Each point represents the mean±SEM (n=9-12 from three different frogs).
Fig. 3. Concentration-dependent effects of M4 and protopanaxadiol (PPD) on γ-aminobutyric acid (GABA)-induced inward peak current (IGABA) in oocytes expressing GABA receptorA (GABAA) receptors. (A) The trace shows that PPD inhibited the currents elicited by GABA (GABA, 10 μM) in a dose-dependent manner. (B) The trace shows that M4 inhibited the currents elicited by GABA (GABA, 10 μM) in a dose-dependent manner. (C) Percent inhibition by M4 and PPD of IGABA was calculated from the average of the peak inward current elicited by GABA alone before M4 and PPD and the peak inward current elicited by GABA alone after co-treatment of M4 and PPD with GABA. The continuous line shows the curve fitted according to the equation.
Fig. 4. Current-voltage relationship and voltage-independent inhibition by M4 and protopanaxadiol (PPD). (A) Current-voltage relationships of γ-aminobutyric acid (GABA)-induced inward peak current (IGABA) inhibition by M4 and PPD in GABA receptorA (GABAA) receptors. Representative current-voltage relationships were obtained using voltage ramps of –100 to +40 mV for 300 ms at a holding potential of –80 mV. Voltage steps were applied before and after application of 10 μM GABA in the absence or presence of 100 μM M4 or PPD. (B) Voltage-independent inhibition of IGABA in the GABAA receptors by M4 or PPD. The values were obtained from the receptors in the absence or presence of 100 μM M4 and PPD at the indicated membrane holding potentials.
Fig. 5. Concentration-dependent effects of γ-aminobutyric acid (GABA) on M4 or protopanaxadiol (PPD)-mediated inhibition of GABA-induced inward peak current (IGABA). (A) The representative traces were obtained from GABA receptorA (GABAA) receptors expressed in oocytes. IGABA of the upper and lower panels were elicited from concentration of 10 μM and 100 μM GABA at a holding potential of –80 mV, respectively. (B) Concentration- response relationships for GABA in the GABAA receptors applied with GABA (1-100 μM) alone or with GABA plus co-treatment of 100 μM M4 or PPD. The IGABA of oocytes expressing the GABAA receptors was measured using the indicated concentration of GABA in the absence (□) or presence (○) of 100 μM M4 or presence (△) of 100 μM PPD. Oocytes were exposed to GABA alone or to GABA with M4 or PPD. Oocytes were voltage-clamped at a holding potential of –80 mV. Each point represents the mean±SEM (n=8-12/group).
Bloom,
Localizing 3H-GABA in nerve terminals of rat cerebral cortex by electron microscopic autoradiography.
1971, Pubmed
Bloom,
Localizing 3H-GABA in nerve terminals of rat cerebral cortex by electron microscopic autoradiography.
1971,
Pubmed Choi,
Effects of ginsenosides on GABA(A) receptor channels expressed in Xenopus oocytes.
2003,
Pubmed
,
Xenbase Choi,
Ginsenoside Rg(3) decelerates hERG K(+) channel deactivation through Ser631 residue interaction.
2011,
Pubmed
,
Xenbase Gallager,
Benzodiazepine tolerance and dependence: GABAA receptor complex locus of change.
1993,
Pubmed Hasegawa,
Prevention of growth and metastasis of murine melanoma through enhanced natural-killer cytotoxicity by fatty acid-conjugate of protopanaxatriol.
2002,
Pubmed Hasegawa,
Main ginseng saponin metabolites formed by intestinal bacteria.
1996,
Pubmed Johnston,
GABAA receptor pharmacology.
1996,
Pubmed Kim,
A role for the carbohydrate portion of ginsenoside Rg3 in Na+ channel inhibition.
2005,
Pubmed
,
Xenbase Kim,
Anxiolytic-like effects of ginsenosides Rg3 and Rh2 from red ginseng in the elevated plus-maze model.
2009,
Pubmed Kim,
Changes of [3H]MK-801, [3H]muscimol and [3H]flunitrazepam binding in rat brain by the prolonged ventricular infusion of ginsenoside Rc and Rg1.
2001,
Pubmed Kimura,
Interactions of ginsenosides with ligand-bindings of GABA(A) and GABA(B) receptors.
1994,
Pubmed Lee,
Differential effect of bovine serum albumin on ginsenoside metabolite-induced inhibition of alpha3beta4 nicotinic acetylcholine receptor expressed in Xenopus oocytes.
2003,
Pubmed
,
Xenbase Lee,
Differential effect of ginsenoside metabolites on the 5-HT3A receptor-mediated ion current in Xenopus oocytes.
2004,
Pubmed
,
Xenbase Lee,
Effects of ginsenosides and their metabolites on voltage-dependent Ca(2+) channel subtypes.
2006,
Pubmed
,
Xenbase Lister,
The amnesic action of benzodiazepines in man.
1985,
Pubmed Macdonald,
GABAA receptor channels.
1994,
Pubmed McCabe,
Autoradiographic localization of subcomponents of the macromolecular GABA receptor complex.
1986,
Pubmed Ortells,
Evolutionary history of the ligand-gated ion-channel superfamily of receptors.
1995,
Pubmed Wakabayashi,
An intestinal bacterial metabolite of ginseng protopanaxadiol saponins has the ability to induce apoptosis in tumor cells.
1998,
Pubmed Whiting,
Structure and pharmacology of vertebrate GABAA receptor subtypes.
1995,
Pubmed