Click here to close Hello! We notice that you are using Internet Explorer, which is not supported by Xenbase and may cause the site to display incorrectly. We suggest using a current version of Chrome, FireFox, or Safari.
XB-ART-46968
Korean J Physiol Pharmacol 2013 Apr 01;172:127-32. doi: 10.4196/kjpp.2013.17.2.127.
Show Gene links Show Anatomy links

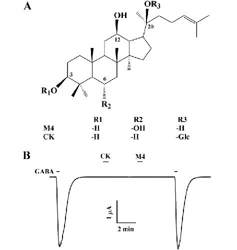
Inhibitory Effects of Ginsenoside Metabolites, Compound K and Protopanaxatriol, on GABAC Receptor-Mediated Ion Currents.

Lee BH, Hwang SH, Choi SH, Kim HJ, Lee JH, Lee SM, Ahn YG, Nah SY.


???displayArticle.abstract???
Ginsenosides, one of the active ingredients of Panax ginseng, show various pharmacological and physiological effects, and they are converted into compound K (CK) or protopanaxatriol (M4) by intestinal microorganisms. CK is a metabolite derived from protopanaxadiol (PD) ginsenosides, whereas M4 is a metabolite derived from protopanaxatriol (PT) ginsenosides. The γ-aminobutyric acid receptorC (GABAC) is primarily expressed in retinal bipolar cells and several regions of the brain. However, little is known of the effects of ginsenoside metabolites on GABAC receptor channel activity. In the present study, we examined the effects of CK and M4 on the activity of human recombinant GABAC receptor (ρ1) channels expressed in Xenopus oocytes by using a 2-electrode voltage clamp technique. In oocytes expressing GABAC receptor cRNA, we found that CK or M4 alone had no effect in oocytes. However, co-application of either CK or M4 with GABA inhibited the GABA-induced inward peak current (IGABA ). Interestingly, pre-application of M4 inhibited IGABA more potently than CK in a dose-dependent and reversible manner. The half-inhibitory concentration (IC50) values of CK and M4 were 52.1±2.3 and 45.7±3.9 µM, respectively. Inhibition of IGABA by CK and M4 was voltage-independent and non-competitive. This study implies that ginsenoside metabolites may regulate GABAC receptor channel activity in the brain, including in the eyes.

???displayArticle.pubmedLink??? 23626474
???displayArticle.pmcLink??? PMC3634089
???displayArticle.link??? Korean J Physiol Pharmacol




???attribute.lit??? ???displayArticles.show???
References [+] :
Attele, Ginseng pharmacology: multiple constituents and multiple actions. 1999, Pubmed