Click here to close
Hello! We notice that you are using Internet Explorer, which is not supported by Xenbase and may cause the site to display incorrectly.
We suggest using a current version of Chrome,
FireFox, or Safari.
???displayArticle.abstract???
Intestinal vitamin C (Asc) absorption was believed to be mediated by the Na(+)-dependent ascorbic acid transporter SVCT1. However, Asc transport across the intestines of SVCT1 knock-out mice is normal indicating that alternative ascorbic acid transport mechanisms exist. To investigate these mechanisms, rodents were gavaged with Asc or its oxidized form dehydroascorbic acid (DHA), and plasma Asc concentrations were measured. Asc concentrations doubled following DHA but not Asc gavage. We hypothesized that the transporters responsible were facilitated glucose transporters (GLUTs). Using Xenopus oocyte expression, we investigated whether facilitative glucose transporters GLUT2 and GLUT5-12 transported DHA. Only GLUT2 and GLUT8, known to be expressed in intestines, transported DHA with apparent transport affinities (Km) of 2.33 and 3.23 mm and maximal transport rates (Vmax) of 25.9 and 10.1 pmol/min/oocyte, respectively. Maximal rates for DHA transport mediated by GLUT2 and GLUT8 in oocytes were lower than maximal rates for 2-deoxy-d-glucose (Vmax of 224 and 32 pmol/min/oocyte for GLUT2 and GLUT8, respectively) and fructose (Vmax of 406 and 116 pmol/min/oocyte for GLUT2 and GLUT8, respectively). These findings may be explained by differences in the exofacial binding of substrates, as shown by inhibition studies with ethylidine glucose. DHA transport activity in GLUT2- and GLUT8-expressing oocytes was inhibited by glucose, fructose, and by the flavonoids phloretin and quercetin. These studies indicate intestinal DHA transport may be mediated by the facilitative sugar transporters GLUT2 and GLUT8. Furthermore, dietary sugars and flavonoids in fruits and vegetables may modulate Asc bioavailability via inhibition of small intestinal GLUT2 and GLUT8.
FIGURE 2.
DHA and 2-DG uptake in oocytes injected to express sugar transporters. Xenopus oocytes previously injected with GLUT1, -2, and -5�12 were incubated for 10 min at room temperature with 300 μM [14C]DHA (A) or 1 mM 2-[3H]DG (B). Oocytes were then washed, and intracellular radioactivity was quantified. Control was sham water-injected oocytes. G, facilitative sugar transporter; m, mouse; r, rat; w, wild type GLUT (di-leucine motif); m, mutant GLUT (di-alanine motif); HA, human influenza hemagglutinin. Results are mean � S.D. of 10�20 oocytes.
FIGURE 3.
DHA, 2-deoxy-D-glucose, and D-fructose transport kinetics in GLUT2-injected oocytes. Oocytes previously injected with GLUT2 mRNA were incubated for 10 min with 0�8 mM [14C]DHA (A), 0�100 mM 2-[3H]DG (B), and 0�300 mM D-[14C]fructose (C). Oocytes were then washed and intracellular radioactivity quantified. A best fit curve was fitted to the collected data using the nonlinear regression function Y = Vmax�X/Kt + X (SigmaPlot). Data represent mean � S.D. of 10�20 oocytes.
FIGURE 4.
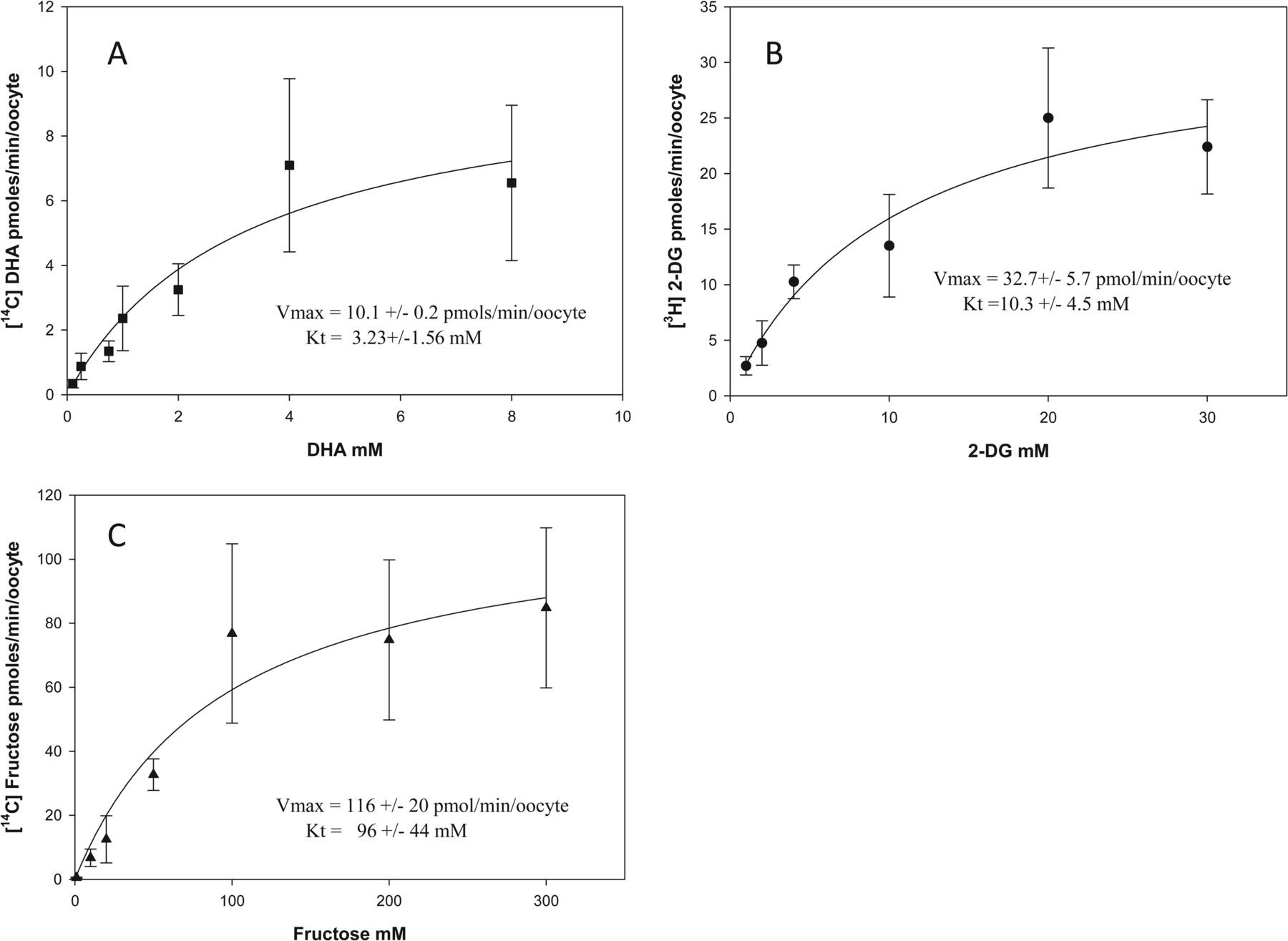
DHA, 2-deoxy-D-glucose, and D-fructose transport kinetics in GLUT8-injected oocytes. Oocytes previously injected with GLUT8 mRNA were incubated for 10 min with 0�8 mM [14C]DHA (A), 0�100 mM 2-[3H]DG (B), and 0�300 mM D-[14C]fructose (C). Oocytes were then washed, and intracellular radioactivity was quantified. A best fit curve was fitted to the collected data using the nonlinear regression function Y = Vmax�X/Kt + X (SigmaPlot). Data represent mean � S.D. of 10�20 oocytes.
FIGURE 5.
Inhibition of GLUT2- and GLUT8-mediated DHA transport by exo- and endofacial sugar transporter inhibitors. Oocytes injected with GLUT2 (â) and GLUT8 (â´) were incubated with 300 μM [14C]DHA for 10 min in the presence of 0�100 mM of the exofacial sugar transporter inhibitor, ethyldiene glucose (A) and 0�50 μM of the endofacial sugar transporter inhibitor, cytochalasin B (B). Oocytes were washed, and internalized radioactivity was quantified. A best fit curve for the collected data were obtained using the nonlinear regression analysis equation, y = min + (max â min)/1 + (x/IC50) â Hill slope four-parameter logistic curve (SigmaPlot). Data represent mean � S.D. of 10�20 oocytes.
FIGURE 6.
Inhibition of GLUT2- and GLUT8-mediated DHA uptake by sugars. Oocytes injected with GLUT2 (â) and GLUT8 (â´) were incubated with 300 μM [14C]DHA for 10 min in the presence of 0�100 mM D-glucose (A) and 0�100 mM D-fructose (B). Oocytes were washed, and internalized radioactivity was quantified. A best fit curve for the collected data was obtained using nonlinear regression analysis. Data represent mean � S.D. of 10�20 oocytes.
FIGURE 7.
Inhibition of GLUT2- and GLUT8-mediated DHA uptake by flavonoids. Oocytes injected with GLUT2 (â) and GLUT8 (â´) were incubated with 300 μM [14C]DHA for 10 min in the presence of 0�100 μM phloretin (A) and 0�100 μM quercetin (B). Oocytes were washed, and internalized radioactivity was quantified. A best fit curve for the collected data was obtained using nonlinear regression analysis. Data represent mean � S.D. of 10�20 oocytes.
Anderson,
Recent advances in intestinal iron transport.
2005, Pubmed
Anderson,
Recent advances in intestinal iron transport.
2005,
Pubmed Bibert,
Mouse GLUT9: evidences for a urate uniporter.
2009,
Pubmed
,
Xenbase Burant,
Mammalian facilitative glucose transporters: evidence for similar substrate recognition sites in functionally monomeric proteins.
1992,
Pubmed
,
Xenbase Colville,
Kinetic analysis of the liver-type (GLUT2) and brain-type (GLUT3) glucose transporters in Xenopus oocytes: substrate specificities and effects of transport inhibitors.
1993,
Pubmed
,
Xenbase Corpe,
Vitamin C transporter Slc23a1 links renal reabsorption, vitamin C tissue accumulation, and perinatal survival in mice.
2010,
Pubmed Corpe,
6-Bromo-6-deoxy-L-ascorbic acid: an ascorbate analog specific for Na+-dependent vitamin C transporter but not glucose transporter pathways.
2005,
Pubmed
,
Xenbase Goldman,
The antiscorbutic action of L-ascorbic acid and D-isoascorbic acid (erythorbic acid) in the guinea pig.
1981,
Pubmed Ibberson,
GLUTX1, a novel mammalian glucose transporter expressed in the central nervous system and insulin-sensitive tissues.
2000,
Pubmed
,
Xenbase Koshiishi,
Degradation of dehydroascorbate to 2,3-diketogulonate in blood circulation.
1998,
Pubmed Kwon,
Inhibition of the intestinal glucose transporter GLUT2 by flavonoids.
2007,
Pubmed
,
Xenbase Latunde-Dada,
Molecular and functional roles of duodenal cytochrome B (Dcytb) in iron metabolism.
2002,
Pubmed Li,
Cloning and functional characterization of the human GLUT7 isoform SLC2A7 from the small intestine.
2004,
Pubmed
,
Xenbase Li,
Vitamin C in mouse and human red blood cells: an HPLC assay.
2012,
Pubmed Lisinski,
Targeting of GLUT6 (formerly GLUT9) and GLUT8 in rat adipose cells.
2001,
Pubmed Mace,
Sweet taste receptors in rat small intestine stimulate glucose absorption through apical GLUT2.
2007,
Pubmed Manolescu,
Facilitated hexose transporters: new perspectives on form and function.
2007,
Pubmed May,
Recycling of vitamin C by mammalian thioredoxin reductase.
2002,
Pubmed McKie,
The role of Dcytb in iron metabolism: an update.
2008,
Pubmed Ogiri,
Very low vitamin C activity of orally administered L-dehydroascorbic acid.
2002,
Pubmed Oliveira,
Clinical usefulness of the oral ascorbic acid tolerance test in scurvy.
1959,
Pubmed Otsuka,
Antiscorbutic effect of dehydro-L-ascorbic acid in vitamin C-deficient guinea pigs.
1986,
Pubmed Park,
Flavonoids are potential inhibitors of glucose uptake in U937 cells.
1999,
Pubmed Romero,
Expression of GLUT8 in mouse intestine: identification of alternative spliced variants.
2009,
Pubmed Rumsey,
Dehydroascorbic acid transport by GLUT4 in Xenopus oocytes and isolated rat adipocytes.
2000,
Pubmed
,
Xenbase Rumsey,
Glucose transporter isoforms GLUT1 and GLUT3 transport dehydroascorbic acid.
1997,
Pubmed
,
Xenbase Smith,
Genistein inhibits insulin-stimulated glucose transport and decreases immunocytochemical labeling of GLUT4 carboxyl-terminus without affecting translocation of GLUT4 in isolated rat adipocytes: additional evidence of GLUT4 activation by insulin.
1993,
Pubmed Song,
Flavonoid inhibition of sodium-dependent vitamin C transporter 1 (SVCT1) and glucose transporter isoform 2 (GLUT2), intestinal transporters for vitamin C and Glucose.
2002,
Pubmed
,
Xenbase Soreq,
Xenopus oocyte microinjection: from gene to protein.
1992,
Pubmed
,
Xenbase Sotiriou,
Ascorbic-acid transporter Slc23a1 is essential for vitamin C transport into the brain and for perinatal survival.
2002,
Pubmed Su,
Human erythrocyte membranes contain a cytochrome b561 that may be involved in extracellular ascorbate recycling.
2006,
Pubmed Tsukaguchi,
A family of mammalian Na+-dependent L-ascorbic acid transporters.
1999,
Pubmed
,
Xenbase Vera,
Mammalian facilitative hexose transporters mediate the transport of dehydroascorbic acid.
1993,
Pubmed
,
Xenbase Washko,
Ascorbic acid analysis using high-performance liquid chromatography with coulometric electrochemical detection.
1989,
Pubmed