Click here to close
Hello! We notice that you are using Internet Explorer, which is not supported by Xenbase and may cause the site to display incorrectly.
We suggest using a current version of Chrome,
FireFox, or Safari.
???displayArticle.abstract???
Activity of the Transforming growth factor-β (TGFβ) pathway is essential to the establishment of body axes and tissue differentiation in bilaterians. Orthologs for core pathway members have been found in all metazoans, but uncertain homology of the body axes and tissues patterned by these signals raises questions about the activities of these molecules across the metazoan tree. We focus on the principal canonical transduction proteins (R-Smads) of the TGFβ pathway, which instruct both axial patterning and tissue differentiation in the developing embryo. We compare the activity of R-Smads from a cnidarian (Nematostella vectensis), an arthropod (Drosophila melanogaster), and a vertebrate (Xenopus laevis) in Xenopus embryonic assays.Overexpressing NvSmad1/5 ventralized Xenopus embryos when expressed in dorsal blastomeres, similar to the effects of Xenopus Smad1. However, NvSmad1/5 was less potent than XSmad1 in its ability to activate downstream target genes in Xenopus animal cap assays. NvSmad2/3 strongly induced general mesendodermal marker genes, but weakly induced ones involved in specifying the Spemann organizer. NvSmad2/3 was unable to induce a secondary trunk axis in Xenopus embryos, whereas the orthologs from Xenopus (XSmad2 and XSmad3) and Drosophila (dSmad2) were capable of doing so. Replacement of the NvSmad2/3 MH2 domain with the Xenopus XSmad2 MH2 slightly increased its inductive capability, but did not confer an ability to generate a secondary body axis.Vertebrate and cnidarian Smad1/5 have similar axial patterning and induction activities, although NvSmad1/5 is less efficient than the vertebrate gene. We conclude that the activities of Smad1/5 orthologs have been largely conserved across Metazoa. NvSmad2/3 efficiently activates general mesendoderm markers, but is unable to induce vertebrate organizer-specific genes or to produce a secondary body axis in Xenopus. Orthologs dSmad2 and XSmad3 generate a secondary body axis, but activate only low expression of organizer-specific genes that are strongly induced by XSmad2. We suggest that in the vertebrate lineage, Smad2 has evolved a specialized role in the induction of the embryonic organizer. Given the high level of sequence identity between Smad orthologs, this work underscores the functional importance of the emergence and fixation of a few divergent amino acids among orthologs during evolution.
Figure 1. R-Smads are defined by two conserved protein domains. (A) Diagram of a typical R-Smad showing the two conserved domains (MH1 and MH2) with important regions noted. (B) A table of pairwise percent identity of the MAD homology domains and the non-conserved linker regions of Xenopus and Nematostella R-Smads [see Additional file
1 for a detailed amino acid alignment and Additional file
2 for a table of GenBank accession numbers]. (C) Alignment of relevant sections of the Smad1/5/8 linker regions from multiple taxa. The Smurf1 site PPXY motif is highlighted in cyan, MAPK recognition sites are highlighted in yellow, and GSK3 consensus sites are highlighted in green. (D) Alignment of relevant sections of the Smad2/3 linker regions from multiple taxa. The Smurf2 site PPXY motif is highlighted in cyan, MAPK recognition sites are highlighted in yellow, and proline-directed kinase sites are highlighted in magenta. Underlined sequences in (C) and (D) indicate consensus sites identified for the particular protein and species in the literature; all other highlights reflect our inferences based on the alignments.
Figure 2. Phenotypes caused by ectopic NvSmad1/5 mRNA mimic phenotypes caused by XSmad1 mRNA. Microinjection of NvSmad1/5 mRNA into the two dorsal blastomeres of a four-cell Xenopus embryo causes similar ventralization phenotypes as injection of XSmad1 mRNA. All tadpoles are shown at stage 34. (A) Shows normal development in Xenopus tadpoles. In contrast, tadpoles in (B) were injected with 4 ng of XSmad1 mRNA and show severe ventralization. (C) Tadpoles injected with 4 ng NvSmad1/5 show a similar but less severe ventralization phenotype. Severity of phenotype was scored according the Dorso-Anterior Index (DAI)
[30]. (D) Shows the DAI scores graphically.
Figure 3. NvSmad1/5 induces expression of downstream BMP pathway genes in the frog embryo. After animal pole injection of XSmad1 or NvSmad1/5 at the 2-cell stage, stage 11 animal caps show elevated expression of genes downstream of the BMP pathway. (A) Depiction of the animal cap assay procedure; animal caps were processed for western blot or RT-PCR when control embryos reached mid-gastrulation (Niewkoop and Faber stage 11). The western blot shows protein translation levels in injected and uninjected whole embryos (L = Benchmark protein ladder, showing the 58-kDa band). XSmad1 and NvSmad1/5 show equal levels of translation, whereas the uninjected embryos show no background signal. (B) Real-time quantitative RT-PCR (qPCR) shows fold induction levels of BMP pathway response genes Vent1, Vent2, Msx1, and Xhox3 compared to the uninjected whole embryos. Uninjected Xenopus animal caps (UN), animal caps injected with XSmad1, and animal caps injected with NvSmad1/5 are shown. The Y-axis of all RT-PCR graphs shows the fold induction compared to endogenous whole embryo (1.0). Error bars indicate the standard error.
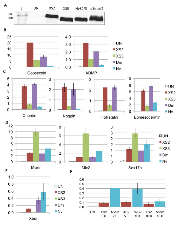
Figure 4. NvSmad2 induces expression of downstream Activin/Nodal pathway genes in Xenopus . Animal caps injected with XSmad2, XSmad3, dSmad2, or NvSmad2 mRNA at the two-cell stage show elevated expression of genes downstream of the Activin/Nodal pathway. (A) Western blot showing tagged protein translation levels in injected and uninjected whole embryos (L = Benchmark protein ladder, showing the 58-kDa band). XSmad2, XSmad3, NvSmad2/3, and dSmad2 show equal levels of translation, whereas uninjected embryos show no background signal. Real-time quantitative PCR (RT-PCR) shows fold induction levels of Activin/Nodal pathway members on the Y-axis. (B) Class I markers goosecoid and anti-dorsalizing morphogenetic protein (ADMP). (C) Class II markers chordin, noggin, follistatin, and eomesodermin. (D) Class III markers mixer, mix.2, and sox17α. (E) Class IV marker Xbra. (F) Xbra induction response to 2 ng, 5 ng, and 10 ng XSmad2 or NvSmad2/3. See text for discussion of marker classes.
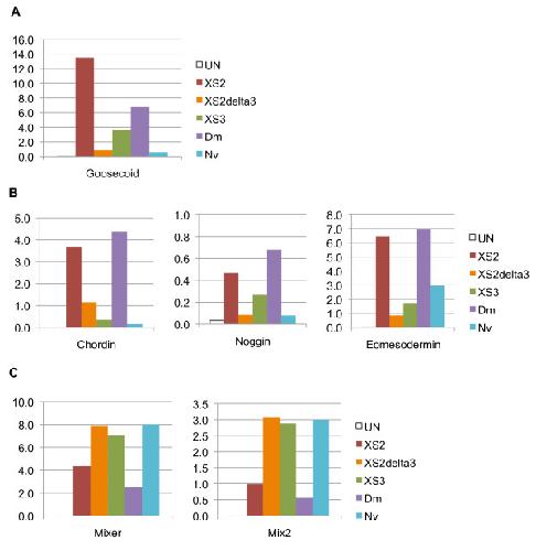
Figure 5. Swapping in the MH2 domain from XSmad2 increases the inductive activity of NvSmad2/3 . (A) Design of chimeras swapping XSmad2 domains into NvSmad2/3. (B) Western blot showing tagged protein translation levels in injected and uninjected whole embryos (L = Benchmark protein ladder, showing the 58-kDa band). XSmad2, XSmad3, NvSmad2/3, MH1 chimera, and MH2 chimera show equal levels of translation, whereas the uninjected embryos show none. The linker chimera (‘Link’) shows slightly lower levels of translation. Note, XSmad3 was injected and included in translation blot to check continuity with previous experiments, but was not used in subsequent animal cap analyses. Animal caps injected with XSmad2, NvSmad2, MH1 chimera, linker chimera, or MH2 chimera mRNA at the two-cell stage show elevated expression of genes downstream in the Activin/Nodal pathway. Real time quantitative PCR shows fold induction levels of Activin/Nodal pathway members on the Y-axis. (C) Class I markers goosecoid and ADMP. (D) Class II markers chordin, noggin, follistatin, and eomesodermin. (E) Class III markers mixer, mix.2, and sox17α. (F) Class IV marker Xbra.
Figure 6. Ectopic overexpression of NvSmad2/3 does not induce a secondary axis in Xenopus embryos. Injection of 0.5 ng XSmad2 mRNA into the marginal zone of one ventralvegetal blastomere at the 8-cell stage can produce a secondary body axis in Xenopus embryos. (A) Uninjected, wild type tadpoles. (B) Tadpoles that were injected with XSmad2 show a classic secondary body axis phenotype (marked with white arrowheads in this photo only). (C) Injection of XSmad3 shows a clear secondary axis. (D) dSmad2 is able to induce the formation of a second body axis. (E) NvSmad2/3 is not able to generate a second body axis, but can perturb the original axis. (F) The MH1 chimera acutely perturbs the original axis, but generates a complete second axis in only a few cases. Embryos were scored for axial phenotypes at neurula stage. Examples: (G) wild type, (H) double axis that would result in a second body axis at tadpole stage (result of XSmad2 mRNA, in this case), (I) another double axis (caused by dSmad2 mRNA, in this case), (J) âincipientâ axis that will eventually get subsumed into the primary axis and result in the âperturbed axisâ phenotype (result of XSmad3 mRNA, in this case, though it could be caused by any of the treatments), (K) phenotype that would be scored as âwild typeâ (result of NvSmad2/3 mRNA, in this case). (L) Bar graph illustrating the range of phenotypes from each treatment. See Additional file
6 for more photos illustrating the âperturbed axisâ phenotype.
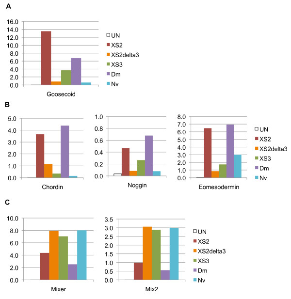
Figure 7. XSmad2ΔExon3 induces expression of downstream Activin/Nodal pathway genes in a pattern resembling XSmad3 rather than full-length XSmad2. Animal caps from gastrulae that had been injected with XSmad2, XSmad2ΔExon3, XSmad3, dSmad2, or NvSmad2 mRNA at the two-cell stage showed elevated expression of genes downstream of the Activin/Nodal pathway. With all markers, the expression patterns induced by XSmad2ΔExon3 (orange column) were more similar to that of XSmad3 (green column) and NvSmad2/3 (teal column) than to full length XSmad2 (red column). (A) Class I marker goosecoid. (B) Class II markers chordin, noggin, and eomesodermin. (C) Class III markers mixer and mix.2.
Attisano,
Smads as transcriptional co-modulators.
2000, Pubmed
Attisano,
Smads as transcriptional co-modulators.
2000,
Pubmed Baker,
A novel mesoderm inducer, Madr2, functions in the activin signal transduction pathway.
1996,
Pubmed
,
Xenbase Brown,
A tale of two proteins: differential roles and regulation of Smad2 and Smad3 in TGF-beta signaling.
2007,
Pubmed Brummel,
The Drosophila activin receptor baboon signals through dSmad2 and controls cell proliferation but not patterning during larval development.
1999,
Pubmed Callery,
The ARID domain protein dril1 is necessary for TGF(beta) signaling in Xenopus embryos.
2005,
Pubmed
,
Xenbase Chai,
Features of a Smad3 MH1-DNA complex. Roles of water and zinc in DNA binding.
2003,
Pubmed Chen,
The Nedd4-like family of E3 ubiquitin ligases and cancer.
2007,
Pubmed Das,
Drosophila dSmad2 and Atr-I transmit activin/TGFbeta signals.
1999,
Pubmed
,
Xenbase Dennler,
Direct binding of Smad3 and Smad4 to critical TGF beta-inducible elements in the promoter of human plasminogen activator inhibitor-type 1 gene.
1998,
Pubmed De Robertis,
Evo-devo: variations on ancestral themes.
2008,
Pubmed Dick,
Cloning and characterization of zebrafish smad2, smad3 and smad4.
2000,
Pubmed
,
Xenbase Eivers,
Phosphorylation of Mad controls competition between wingless and BMP signaling.
2011,
Pubmed Erwin,
Early origin of the bilaterian developmental toolkit.
2009,
Pubmed Esguerra,
Ttrap is an essential modulator of Smad3-dependent Nodal signaling during zebrafish gastrulation and left-right axis determination.
2007,
Pubmed Faure,
Endogenous patterns of TGFbeta superfamily signaling during early Xenopus development.
2000,
Pubmed
,
Xenbase Fuentealba,
Integrating patterning signals: Wnt/GSK3 regulates the duration of the BMP/Smad1 signal.
2007,
Pubmed
,
Xenbase Fukuchi,
Ligand-dependent degradation of Smad3 by a ubiquitin ligase complex of ROC1 and associated proteins.
2001,
Pubmed Graff,
Xenopus Mad proteins transduce distinct subsets of signals for the TGF beta superfamily.
1996,
Pubmed
,
Xenbase Grimm,
Nuclear exclusion of Smad2 is a mechanism leading to loss of competence.
2002,
Pubmed
,
Xenbase Hao,
Structure of Drosophila Mad MH2 domain.
2008,
Pubmed Hoodless,
Dominant-negative Smad2 mutants inhibit activin/Vg1 signaling and disrupt axis formation in Xenopus.
1999,
Pubmed
,
Xenbase Howell,
Xenopus Smad3 is specifically expressed in the chordoneural hinge, notochord and in the endocardium of the developing heart.
2001,
Pubmed
,
Xenbase Huminiecki,
Emergence, development and diversification of the TGF-beta signalling pathway within the animal kingdom.
2009,
Pubmed Jia,
Smad2/3 activities are required for induction and patterning of the neuroectoderm in zebrafish.
2009,
Pubmed Jia,
smad2 and smad3 are required for mesendoderm induction by transforming growth factor-beta/nodal signals in zebrafish.
2008,
Pubmed Jones,
Functional mapping of the MH1 DNA-binding domain of DPC4/SMAD4.
2000,
Pubmed Kao,
The entire mesodermal mantle behaves as Spemann's organizer in dorsoanterior enhanced Xenopus laevis embryos.
1988,
Pubmed
,
Xenbase Kretzschmar,
A mechanism of repression of TGFbeta/ Smad signaling by oncogenic Ras.
1999,
Pubmed Kretzschmar,
Opposing BMP and EGF signalling pathways converge on the TGF-beta family mediator Smad1.
1997,
Pubmed Lin,
Smurf2 is a ubiquitin E3 ligase mediating proteasome-dependent degradation of Smad2 in transforming growth factor-beta signaling.
2000,
Pubmed Lo,
The L3 loop: a structural motif determining specific interactions between SMAD proteins and TGF-beta receptors.
1998,
Pubmed Magie,
Genomic inventory and expression of Sox and Fox genes in the cnidarian Nematostella vectensis.
2005,
Pubmed Massagué,
Smad transcription factors.
2005,
Pubmed Matus,
Dorso/ventral genes are asymmetrically expressed and involved in germ-layer demarcation during cnidarian gastrulation.
2006,
Pubmed
,
Xenbase Matus,
Molecular evidence for deep evolutionary roots of bilaterality in animal development.
2006,
Pubmed
,
Xenbase Randall,
Different Smad2 partners bind a common hydrophobic pocket in Smad2 via a defined proline-rich motif.
2002,
Pubmed
,
Xenbase Richards,
The dawn of developmental signaling in the metazoa.
2009,
Pubmed Sapkota,
Balancing BMP signaling through integrated inputs into the Smad1 linker.
2007,
Pubmed
,
Xenbase Schiro,
Mutations in protein-binding hot-spots on the hub protein Smad3 differentially affect its protein interactions and Smad3-regulated gene expression.
2011,
Pubmed Schmierer,
TGFbeta-SMAD signal transduction: molecular specificity and functional flexibility.
2007,
Pubmed Shi,
Crystal structure of a Smad MH1 domain bound to DNA: insights on DNA binding in TGF-beta signaling.
1998,
Pubmed Takebayashi-Suzuki,
Interplay between the tumor suppressor p53 and TGF beta signaling shapes embryonic body axes in Xenopus.
2003,
Pubmed
,
Xenbase Thomsen,
Activins are expressed early in Xenopus embryogenesis and can induce axial mesoderm and anterior structures.
1990,
Pubmed
,
Xenbase Thomsen,
Xenopus mothers against decapentaplegic is an embryonic ventralizing agent that acts downstream of the BMP-2/4 receptor.
1996,
Pubmed
,
Xenbase Weinstein,
Functions of mammalian Smad genes as revealed by targeted gene disruption in mice.
2000,
Pubmed Wu,
Crystal structure of a phosphorylated Smad2. Recognition of phosphoserine by the MH2 domain and insights on Smad function in TGF-beta signaling.
2001,
Pubmed Yanai,
Mapping gene expression in two Xenopus species: evolutionary constraints and developmental flexibility.
2011,
Pubmed
,
Xenbase Yeo,
The role of FAST-1 and Smads in transcriptional regulation by activin during early Xenopus embryogenesis.
1999,
Pubmed
,
Xenbase Yukita,
XSUMO-1 is required for normal mesoderm induction and axis elongation during early Xenopus development.
2007,
Pubmed
,
Xenbase Zhu,
A SMAD ubiquitin ligase targets the BMP pathway and affects embryonic pattern formation.
1999,
Pubmed
,
Xenbase