XB-ART-45703
Neuropharmacology
2012 Nov 01;636:1127-39. doi: 10.1016/j.neuropharm.2012.06.067.
Show Gene links
Show Anatomy links
Mixed antagonistic effects of the ginkgolides at recombinant human ρ1 GABAC receptors.
Huang SH, Lewis TM, Lummis SC, Thompson AJ, Chebib M, Johnston GA, Duke RK.
???displayArticle.abstract???
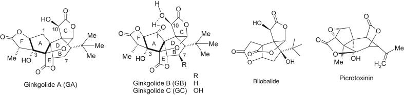
The diterpene lactones of Ginkgo biloba, ginkgolides A, B and C are antagonists at a range of Cys-loop receptors. This study examined the effects of the ginkgolides at recombinant human ρ(1) GABA(C) receptors expressed in Xenopus oocytes using two-electrode voltage clamp. The ginkgolides were moderately potent antagonists with IC(50)s in the μM range. At 10 μM, 30 μM and 100 μM, the ginkgolides caused rightward shifts of GABA dose-response curves and reduced maximal GABA responses, characteristic of noncompetitive antagonists, while the potencies showed a clear dependence on GABA concentration, indicating apparent competitive antagonism. This suggests that the ginkgolides exert a mixed-type antagonism at the ρ(1) GABA(C) receptors. The ginkgolides did not exhibit any obvious use-dependent inhibition. Fitting of the data to a number of kinetic schemes suggests an allosteric inhibition as a possible mechanism of action of the ginkgolides which accounts for their inhibition of the responses without channel block or use-dependent inhibition. Kinetic modelling predicts that the ginkgolides exhibit saturation of antagonism at high concentrations of GABA, but this was only partially observed for ginkgolide B. It also suggests that there may be different binding sites in the closed and open states of the receptor, with a higher affinity for the receptor in the closed state.
???displayArticle.pubmedLink??? 22828636
???displayArticle.pmcLink??? PMC3465557
???displayArticle.link??? Neuropharmacology
???displayArticle.grants??? [+]
???attribute.lit??? ???displayArticles.show???
References [+] :
Amin,
Insights into the activation mechanism of rho1 GABA receptors obtained by coexpression of wild type and activation-impaired subunits.
1996, Pubmed,
Xenbase
Amin, Insights into the activation mechanism of rho1 GABA receptors obtained by coexpression of wild type and activation-impaired subunits. 1996, Pubmed , Xenbase
Barry, Ligand-gated channels. 2005, Pubmed
Buhr, Two novel residues in M2 of the gamma-aminobutyric acid type A receptor affecting gating by GABA and picrotoxin affinity. 2001, Pubmed , Xenbase
Carland, Relative impact of residues at the intracellular and extracellular ends of the human GABAC rho1 receptor M2 domain on picrotoxinin activity. 2008, Pubmed , Xenbase
Carland, Charged residues at the 2' position of human GABAC rho 1 receptors invert ion selectivity and influence open state probability. 2004, Pubmed
Carland, Mutations of the 2' proline in the M2 domain of the human GABAC rho1 subunit alter agonist responses. 2004, Pubmed , Xenbase
Chang, Channel opening locks agonist onto the GABAC receptor. 1999, Pubmed
Chen, Structural model for gamma-aminobutyric acid receptor noncompetitive antagonist binding: widely diverse structures fit the same site. 2006, Pubmed
Constanti, The "mixed" effect of picrotoxin on the GABA dose/conductance relation recorded from lobster muscle. 1978, Pubmed
Das, Molecular determinants of picrotoxin inhibition of 5-hydroxytryptamine type 3 receptors. 2005, Pubmed
Dillon, Enhancement by GABA of the association rate of picrotoxin and tert-butylbicyclophosphorothionate to the rat cloned alpha 1 beta 2 gamma 2 GABAA receptor subtype. 1995, Pubmed
Dong, Use-dependent and use-independent blocking actions of picrotoxin and zinc at the GABAC receptor in retinal horizontal cells. 1996, Pubmed
Duke, (+)- and (-)-cis-2-aminomethylcyclopropanecarboxylic acids show opposite pharmacology at recombinant rho(1) and rho(2) GABA(C) receptors. 2000, Pubmed , Xenbase
Enz, A single point mutation decreases picrotoxinin sensitivity of the human GABA receptor rho 1 subunit. 1995, Pubmed
Erkkila, Stoichiometric pore mutations of the GABAAR reveal a pattern of hydrogen bonding with picrotoxin. 2008, Pubmed
Erkkila, Picrotoxin-mediated antagonism of alpha3beta4 and alpha7 acetylcholine receptors. 2004, Pubmed , Xenbase
Feigenspan, Differential pharmacology of GABAA and GABAC receptors on rat retinal bipolar cells. 1994, Pubmed
Ffrench-Constant, A point mutation in a Drosophila GABA receptor confers insecticide resistance. 1993, Pubmed , Xenbase
Filippova, Evidence that the TM1-TM2 loop contributes to the rho1 GABA receptor pore. 2004, Pubmed , Xenbase
Goutman, Studies on the mechanisms of action of picrotoxin, quercetin and pregnanolone at the GABA rho 1 receptor. 2004, Pubmed , Xenbase
Gurley, Point mutations in the M2 region of the alpha, beta, or gamma subunit of the GABAA channel that abolish block by picrotoxin. 1995, Pubmed , Xenbase
Hawthorne, Molecular determinants of ginkgolide binding in the glycine receptor pore. 2006, Pubmed
Heads, Structure-activity analysis of ginkgolide binding in the glycine receptor pore. 2008, Pubmed
Huang, Ginkgolides, diterpene trilactones of Ginkgo biloba, as antagonists at recombinant alpha1beta2gamma2L GABAA receptors. 2004, Pubmed , Xenbase
Huang, Bilobalide, a sesquiterpene trilactone from Ginkgo biloba, is an antagonist at recombinant alpha1beta2gamma2L GABA(A) receptors. 2003, Pubmed , Xenbase
Huang, Mixed antagonistic effects of bilobalide at rho1 GABAC receptor. 2006, Pubmed , Xenbase
Ivic, Terpene trilactones from Ginkgo biloba are antagonists of cortical glycine and GABA(A) receptors. 2003, Pubmed
Jensen, Ginkgolide X is a potent antagonist of anionic Cys-loop receptors with a unique selectivity profile at glycine receptors. 2010, Pubmed
Korshoej, Kinetic analysis of evoked IPSCs discloses mechanism of antagonism of synaptic GABAA receptors by picrotoxin. 2010, Pubmed
Krishek, A functional comparison of the antagonists bicuculline and picrotoxin at recombinant GABAA receptors. 1996, Pubmed , Xenbase
Kusama, Pharmacology of GABA rho 1 and GABA alpha/beta receptors expressed in Xenopus oocytes and COS cells. 1993, Pubmed , Xenbase
Lovell, Structure validation by Calpha geometry: phi,psi and Cbeta deviation. 2003, Pubmed
Lummis, Cis-trans isomerization at a proline opens the pore of a neurotransmitter-gated ion channel. 2005, Pubmed
Miller, Binding, activation and modulation of Cys-loop receptors. 2010, Pubmed
Miyazawa, Structure and gating mechanism of the acetylcholine receptor pore. 2003, Pubmed
Newland, On the mechanism of action of picrotoxin on GABA receptor channels in dissociated sympathetic neurones of the rat. 1992, Pubmed
Olsen, GABA A receptors: subtypes provide diversity of function and pharmacology. 2009, Pubmed
Perret, Interaction of non-competitive blockers within the gamma-aminobutyric acid type A chloride channel using chemically reactive probes as chemical sensors for cysteine mutants. 1999, Pubmed , Xenbase
Perry, NOESY on neurotoxins: NMR and conformational assignments of picrotoxins. 2001, Pubmed
Qian, A single amino acid in the second transmembrane domain of GABA rho subunits is a determinant of the response kinetics of GABAC receptors. 1999, Pubmed , Xenbase
Qian, Picrotoxin accelerates relaxation of GABAC receptors. 2005, Pubmed , Xenbase
Qian, Pharmacology of novel GABA receptors found on rod horizontal cells of the white perch retina. 1994, Pubmed
Qian, Focus on molecules: the GABAC receptor. 2009, Pubmed
Ramakrishnan, Picrotoxin inhibition mechanism of a gamma-aminobutyric acid A receptor investigated by a laser-pulse photolysis technique. 2005, Pubmed
Ramanjaneyulu, Binding characteristics and interactions of depressant drugs with [35S]t-butylbicyclophosphorothionate, a ligand that binds to the picrotoxinin site. 1984, Pubmed
Sali, Comparative protein modelling by satisfaction of spatial restraints. 1993, Pubmed
Scheller, Coupled and uncoupled gating and desensitization effects by pore domain mutations in GABA(A) receptors. 2002, Pubmed
Shi, FUGUE: sequence-structure homology recognition using environment-specific substitution tables and structure-dependent gap penalties. 2001, Pubmed
Smart, Studies on the mechanism of action of picrotoxinin and other convulsants at the crustacean muscle GABA receptor. 1986, Pubmed
Thompson, Binding sites for bilobalide, diltiazem, ginkgolide, and picrotoxinin at the 5-HT3 receptor. 2011, Pubmed , Xenbase
Thompson, A single amino acid determines the toxicity of Ginkgo biloba extracts. 2012, Pubmed , Xenbase
Twyman, Pentobarbital and picrotoxin have reciprocal actions on single GABAA receptor channels. 1989, Pubmed
van Beek, Ginkgolides and bilobalide: their physical, chromatographic and spectroscopic properties. 2005, Pubmed
Wang, A single amino acid in gamma-aminobutyric acid rho 1 receptors affects competitive and noncompetitive components of picrotoxin inhibition. 1995, Pubmed , Xenbase
Woodward, Characterization of bicuculline/baclofen-insensitive gamma-aminobutyric acid receptors expressed in Xenopus oocytes. I. Effects of Cl- channel inhibitors. 1992, Pubmed , Xenbase
Wotring, Charge scan reveals an extended region at the intracellular end of the GABA receptor pore that can influence ion selectivity. 2008, Pubmed , Xenbase
Wotring, Mutations at the GABA receptor selectivity filter: a possible role for effective charges. 2003, Pubmed , Xenbase
Xu, Interaction of picrotoxin with GABAA receptor channel-lining residues probed in cysteine mutants. 1995, Pubmed , Xenbase
Yevenes, Allosteric modulation of glycine receptors. 2011, Pubmed
Yoon, Multiple mechanisms of picrotoxin block of GABA-induced currents in rat hippocampal neurons. 1993, Pubmed
Zhang, Cloning of a gamma-aminobutyric acid type C receptor subunit in rat retina with a methionine residue critical for picrotoxinin channel block. 1995, Pubmed , Xenbase
Zhao, Three ginkgolide hydrates from Ginkgo biloba L.: ginkgolide A monohydrate, ginkgolide C sesquihydrate and ginkgolide J dihydrate, all determined at 120 K. 2002, Pubmed
Zhorov, Chloride channels of glycine and GABA receptors with blockers: Monte Carlo minimization and structure-activity relationships. 2000, Pubmed
Zhu, A single amino acid in the second transmembrane domain of GABA rho receptors regulates channel conductance. 2007, Pubmed
