Click here to close
Hello! We notice that you are using Internet Explorer, which is not supported by Xenbase and may cause the site to display incorrectly.
We suggest using a current version of Chrome,
FireFox, or Safari.
???displayArticle.abstract???
Membrane voltage controls the passage of ions through voltage-gated K (K(v)) channels, and many studies have demonstrated that this is accomplished by a physical gate located at the cytoplasmic end of the pore. Critical to this determination were the findings that quaternary ammonium ions and certain peptides have access to their internal pore-blocking sites only when the channel gates are open, and that large blocking ions interfere with channel closing. Although an intracellular location for the physical gate of K(v) channels is well established, it is not clear if such a cytoplasmic gate exists in all K(+) channels. Some studies on large-conductance, voltage- and Ca(2+)-activated K(+) (BK) channels suggest a cytoplasmic location for the gate, but other findings question this conclusion and, instead, support the concept that BK channels are gated by the pore selectivity filter. If the BK channel is gated by the selectivity filter, the interactions between the blocking ions and channel gating should be influenced by the permeant ion. Thus, we tested tetrabutyl ammonium (TBA) and the Shaker "ball" peptide (BP) on BK channels with either K(+) or Rb(+) as the permeant ion. When tested in K(+) solutions, both TBA and the BP acted as open-channel blockers of BK channels, and the BP interfered with channel closing. In contrast, when Rb(+) replaced K(+) as the permeant ion, TBA and the BP blocked both closed and open BK channels, and the BP no longer interfered with channel closing. We also tested the cytoplasmically gated Shaker K channels and found the opposite behavior: the interactions of TBA and the BP with these K(v) channels were independent of the permeant ion. Our results add significantly to the evidence against a cytoplasmic gate in BK channels and represent a positive test for selectivity filter gating.
???displayArticle.pubmedLink???
22371364 ???displayArticle.pmcLink???PMC3289962 ???displayArticle.link???J Gen Physiol ???displayArticle.grants???[+]
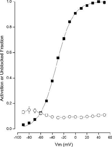
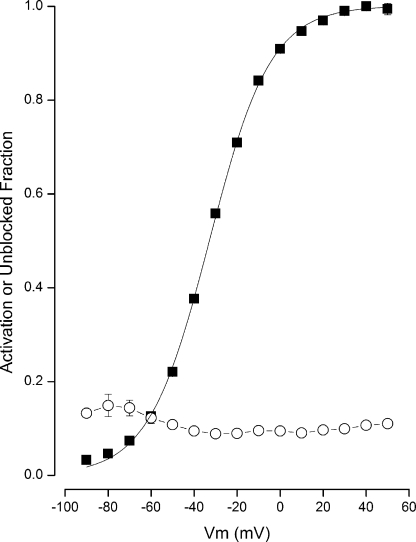
Figure 1. Open-state block of BK channels by the BP in K+ solutions. (Top inset) Time course of raw BK channel currents recorded in 100 µM Ca2+ in the absence (black) and presence (red) of 2 µM BP at the potentials indicated. Calibration: 0.4 nA, 50 msec. Zero-current level indicated by dashed line. (Main) Voltage dependence of BK channel activation (■) and fraction of channels not blocked by the BP (○) in 100 µM Ca2+. (Inset) Raw current recorded at + 60 mV from a holding potential of −80 mV in the absence (black) and presence (red) of 2 µM BP. Calibration: 2 nA, 50 msec. Zero-current level indicated by dashed line. (Boxed inset) Magnified view of the currents after repolarization to −80 mV, with the peak current in the BP scaled to match that of the control record. Calibration: 1 nA, 25 msec.
Figure 2. Open-state block of BK channels by TBA in K+ solutions. (Top insets) Time course of raw BK channel currents recorded in 100 µM Ca2+ in the absence (black) and presence (red) of 10 mM TBA at the potentials indicated. Calibration: 0.4 nA, 50 msec. The zero-current level is indicated by the dashed line. (Main) Voltage dependence of BK channel activation in 100 µM Ca2+ (■) and in 10 µM Ca2+ (□). Also shown is the voltage dependence of the fraction of channels not blocked by 10 mM TBA in 100 µM Ca2+ (•) and in 10 µM Ca2+ (○). Solid lines, fits of the Boltzmann equation to the data; dashed lines, spline fits to the data.
Figure 3. State-independent block of BK channels by TBA in Rb+ solutions. (A; insets) Time course of raw BK channel currents recorded in 100 µM Ca2+ in the absence (black) and presence (red) of 10 mM TBA at the potentials indicated. The voltage level before depolarization was −100 mV, and after the depolarization it was −80 mV (see Materials and methods). Calibration: 0.12 nA, 50 msec. Zero-current level indicated by dashed line. (Main) Steady-state current–voltage relation before (■), during (•), and after (□) the application of 10 mM TBA in Rb+ solutions. (B) Voltage dependence of BK channel activation (■) and fraction of channel not blocked by TBA (○) in 100 µM Ca2+.
Figure 4. State-independent block of BK channels by TBA in Rb+ solutions. Pooled data. Voltage dependence of BK channel activation (■) and fraction of channels not blocked by TBA (○) in 100 µM Ca2+. Mean data shown with standard error limits if larger than symbol. Data from six to nine experiments, except n = 3 at −90 mV.
Figure 5. Time course of BP block of BK channels in K+ and Rb+ solutions. Raw currents at the indicated potentials in the absence (black) and presence (red) of 2 µM BP recorded in 100 µM Ca2+ in K+ (left; calibration: 1.2 nA, 50 msec) and Rb+ (right; calibration: 0.25 nA, 50 msec) solutions. The holding potential for the K+ solutions was −80 mV. For the Rb+ solutions, the voltage level before depolarization was −100 mV, and after the depolarization it was −80 mV. The tail currents upon repolarization have been truncated for clarity.
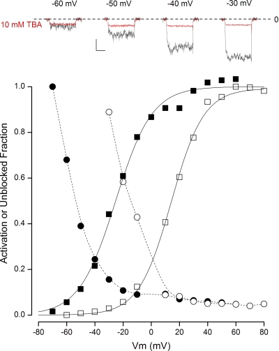
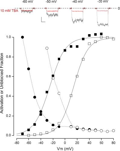
Figure 6. State-independent block of BK channels by BP in Rb+ solutions. (A; insets) Time course of raw BK channel currents recorded in 100 µM Ca2+ in the absence (black) and presence (red) of 2 µM BP at the potentials indicated. Calibration: 0.1 nA, 50 msec. (Main) Steady-state current–voltage relation before (■), during (•), and after (□) application of 2 µM BP in Rb+ solutions. (B) Voltage dependence of BK channel activation (■) and fraction of channels not blocked by BP (○) in 100 µM Ca2+. (Inset) BK currents in response to repolarization to −80 mV from +40 mV in the absence (black) and presence (red; average of four records) of 2 µM BP, with the peak current in the BP scaled to match that of the control record. Calibration: 0.2 nA, 10 msec.
Figure 7. State-independent block of BK channels by BP in Rb+ solutions. Pooled data. Voltage dependence of BK channel activation (■) and fraction of channels not blocked by 2 µM BP (○) in 100 µM Ca2+. Mean values from four experiments shown with standard error limits if larger than symbol. (Inset) Voltage dependence of the time constant of deactivation in the absence (■) and presence (○) of the BP. Mean values from three experiments shown with standard error limits if larger than symbol.
Figure 8. Open-state block of Shaker K channels by the BP in K+ and Rb+ solutions. (A) Block of Shaker channels by 2 µM BP in K+ solutions. (Top inset) Currents recorded at −40 mV from a holding potential of −100 mV in the absence (black) and presence (red) of 2 µM BP. Calibration: 0.2 nA, 100 msec. (Main) Voltage dependence of Shaker channel activation (■) and fraction of channels not blocked by 2 µM BP (○). (Inset) Shaker channel currents in response to repolarization to −100 mV (from +20 mV) in the absence (black) and presence (red) of 2 µM BP, with the peak current in the BP scaled to match that of the control record. Calibration: 0.75 nA, 20 msec. (B) Block of Shaker channels by 2 µM BP in Rb+ solutions. (Top inset) Currents recorded at −40 mV from a holding potential of −100 mV in the absence (black) and presence (red) of 2 µM BP. Calibration: 0.4 nA, 100 msec. (Main) Voltage dependence of Shaker channel activation (■) and fraction of channels not blocked by 0.5 µM BP (○). Mean values from three experiments shown with standard error limits if larger than symbol. (Inset) Shaker channel currents in response to repolarization to −120 mV (from +20 mV) in the absence (black) and presence (red) of 2 µM BP, with the peak current in the BP scaled to match that of the control record. Calibration: 1.2 nA, 20 msec. Dashed line in all insets represents the zero-current level.
Armstrong,
Time course of TEA(+)-induced anomalous rectification in squid giant axons.
1966, Pubmed
Armstrong,
Time course of TEA(+)-induced anomalous rectification in squid giant axons.
1966,
Pubmed Armstrong,
Interaction of tetraethylammonium ion derivatives with the potassium channels of giant axons.
1971,
Pubmed Armstrong,
The inner quaternary ammonium ion receptor in potassium channels of the node of Ranvier.
1972,
Pubmed Armstrong,
Interaction of barium ions with potassium channels in squid giant axons.
1980,
Pubmed Butler,
mSlo, a complex mouse gene encoding "maxi" calcium-activated potassium channels.
1993,
Pubmed
,
Xenbase Chen,
Charge substitution for a deep-pore residue reveals structural dynamics during BK channel gating.
2011,
Pubmed Choi,
The internal quaternary ammonium receptor site of Shaker potassium channels.
1993,
Pubmed
,
Xenbase Clay,
Effects of external cesium and rubidium on outward potassium currents in squid axons.
1983,
Pubmed Contreras,
Access of quaternary ammonium blockers to the internal pore of cyclic nucleotide-gated channels: implications for the location of the gate.
2006,
Pubmed
,
Xenbase Contreras,
Gating at the selectivity filter in cyclic nucleotide-gated channels.
2008,
Pubmed del Camino,
Tight steric closure at the intracellular activation gate of a voltage-gated K(+) channel.
2001,
Pubmed del Camino,
Blocker protection in the pore of a voltage-gated K+ channel and its structural implications.
2000,
Pubmed Demo,
The inactivation gate of the Shaker K+ channel behaves like an open-channel blocker.
1991,
Pubmed Demo,
Ion effects on gating of the Ca(2+)-activated K+ channel correlate with occupancy of the pore.
1992,
Pubmed Doyle,
The structure of the potassium channel: molecular basis of K+ conduction and selectivity.
1998,
Pubmed Eisenman,
Multi-ion conduction and selectivity in the high-conductance Ca++-activated K+ channel from skeletal muscle.
1986,
Pubmed French,
Blockage of squid axon potassium conductance by internal tetra-N-alkylammonium ions of various sizes.
1981,
Pubmed Guo,
Kinetics of inward-rectifier K+ channel block by quaternary alkylammonium ions. dimension and properties of the inner pore.
2001,
Pubmed
,
Xenbase Holmgren,
Trapping of organic blockers by closing of voltage-dependent K+ channels: evidence for a trap door mechanism of activation gating.
1997,
Pubmed Horrigan,
Allosteric voltage gating of potassium channels I. Mslo ionic currents in the absence of Ca(2+).
1999,
Pubmed
,
Xenbase Hoshi,
Biophysical and molecular mechanisms of Shaker potassium channel inactivation.
1990,
Pubmed
,
Xenbase Immke,
Ion-Ion interactions at the selectivity filter. Evidence from K(+)-dependent modulation of tetraethylammonium efficacy in Kv2.1 potassium channels.
2000,
Pubmed Immke,
Potassium-dependent changes in the conformation of the Kv2.1 potassium channel pore.
1999,
Pubmed Jiang,
The open pore conformation of potassium channels.
2002,
Pubmed Kaupp,
Cyclic nucleotide-gated ion channels.
2002,
Pubmed Latorre,
Conduction and selectivity in potassium channels.
1983,
Pubmed Li,
Unique inner pore properties of BK channels revealed by quaternary ammonium block.
2004,
Pubmed
,
Xenbase Li,
State-dependent block of BK channels by synthesized shaker ball peptides.
2006,
Pubmed
,
Xenbase Liu,
Gated access to the pore of a voltage-dependent K+ channel.
1997,
Pubmed Long,
Crystal structure of a mammalian voltage-dependent Shaker family K+ channel.
2005,
Pubmed Miller,
Trapping single ions inside single ion channels.
1987,
Pubmed Miller,
Coupling of voltage-dependent gating and Ba++ block in the high-conductance, Ca++-activated K+ channel.
1987,
Pubmed Morais-Cabral,
Energetic optimization of ion conduction rate by the K+ selectivity filter.
2001,
Pubmed Murrell-Lagnado,
Interactions of amino terminal domains of Shaker K channels with a pore blocking site studied with synthetic peptides.
1993,
Pubmed
,
Xenbase Neyton,
Potassium blocks barium permeation through a calcium-activated potassium channel.
1988,
Pubmed Neyton,
Discrete Ba2+ block as a probe of ion occupancy and pore structure in the high-conductance Ca2+ -activated K+ channel.
1988,
Pubmed Orio,
Differential effects of beta 1 and beta 2 subunits on BK channel activity.
2005,
Pubmed
,
Xenbase Piskorowski,
Relationship between pore occupancy and gating in BK potassium channels.
2006,
Pubmed
,
Xenbase Spassova,
Coupled ion movement underlies rectification in an inward-rectifier K+ channel.
1998,
Pubmed
,
Xenbase Stefani,
Voltage-controlled gating in a large conductance Ca2+-sensitive K+channel (hslo).
1997,
Pubmed
,
Xenbase Swenson,
K+ channels close more slowly in the presence of external K+ and Rb+.
1981,
Pubmed Tang,
Closed-channel block of BK potassium channels by bbTBA requires partial activation.
2009,
Pubmed
,
Xenbase Thompson,
Affinity and location of an internal K+ ion binding site in shaker K channels.
2001,
Pubmed
,
Xenbase Thompson,
Functional identification of ion binding sites at the internal end of the pore in Shaker K+ channels.
2003,
Pubmed
,
Xenbase Toro,
Internal blockade of a Ca(2+)-activated K+ channel by Shaker B inactivating "ball" peptide.
1992,
Pubmed Wilkens,
State-independent block of BK channels by an intracellular quaternary ammonium.
2006,
Pubmed
,
Xenbase Yeh,
Immobilisation of gating charge by a substance that simulates inactivation.
1978,
Pubmed Yool,
Alteration of ionic selectivity of a K+ channel by mutation of the H5 region.
1991,
Pubmed
,
Xenbase Zagotta,
Restoration of inactivation in mutants of Shaker potassium channels by a peptide derived from ShB.
1990,
Pubmed
,
Xenbase Zhou,
Cysteine scanning and modification reveal major differences between BK channels and Kv channels in the inner pore region.
2011,
Pubmed
,
Xenbase Zhou,
Potassium channel receptor site for the inactivation gate and quaternary amine inhibitors.
2001,
Pubmed
,
Xenbase Zhou,
The occupancy of ions in the K+ selectivity filter: charge balance and coupling of ion binding to a protein conformational change underlie high conduction rates.
2003,
Pubmed