Click here to close
Hello! We notice that you are using Internet Explorer, which is not supported by Xenbase and may cause the site to display incorrectly.
We suggest using a current version of Chrome,
FireFox, or Safari.
Genome Biol Evol
2011 Jan 01;3:974-84. doi: 10.1093/gbe/evr072.
Show Gene links
Show Anatomy links
The Anolis lizard genome: an amniote genome without isochores.
Fujita MK, Edwards SV, Ponting CP.
???displayArticle.abstract???
Isochores are large regions of relatively homogeneous nucleotide composition and are present in the genomes of all mammals and birds that have been sequenced to date. The newly sequenced genome of Anolis carolinensis provides the first opportunity to quantify isochore structure in a nonavian reptile. We find Anolis to have the most compositionally homogeneous genome of all amniotes sequenced thus far, a homogeneity exceeding that for the frog Xenopus. Based on a Bayesian algorithm, Anolis has smaller and less GC-rich isochores compared with human and chicken. Correlates generally associated with GC-rich isochores, including shorter introns and higher gene density, have all but disappeared from the Anolis genome. Using genic GC as a proxy for isochore structure so as to compare with other vertebrates, we found that GC content has substantially decreased in the lineage leading to Anolis since diverging from the common ancestor of Reptilia ∼275 Ma, perhaps reflecting weakened or reversed GC-biased gene conversion, a nonadaptive substitution process that is thought to be important in the maintenance and trajectory of isochore evolution. Our results demonstrate that GC composition in Anolis is not associated with important features of genome structure, including gene density and intron size, in contrast to patterns seen in mammal and bird genomes.
FIG. 1. Distributions of GC content in vertebrate genomes. Distributions are based on GC contents of 3-kb windows for genomes of human, chicken, Xenopus frog, and Anolis.
FIG. 2. Observed and expected reduction of genomic GC spread for increasing window size. SDs were calculated for increasing window lengths (x axis) in human (+), chicken (□), Xenopus frog (Δ), and Anolis (×). The expected curve (O) is based on calculations from human mean GC content (see Materials and Methods), but it is nearly identical for those of the other genomes.
FIG. 3. GC composition along Anolis macrochromosomes. Graphs are based on GC contents of 3-kb windows, ignoring windows with >20% missing data. The bars above the plots represent classical isochores (>300 kb in length).
FIG. 4. Amniote phylogeny with branch lengths proportional to Di,j. Di,j is the divergence of GC3 between two nodes of a branch. Black branches represent decreases of GC3, whereas gray branches represent increases of GC3. The current GC3 and the equilibrium GC3* are also shown and demonstrate the expected continued trajectory of GC content evolution.
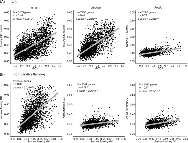
FIG. 5. Correlations with flanking GC content. (A) Flanking GC content exhibits greater correlation with GC3 (genic GC at third codon positions) in human and chicken (higher r2) than in Anolis. (B) Flanking GC content correlate between human and chicken, implying conserved isochore structure in mammals and birds, but less so between Anolis and human or chicken. Sample sizes (N) include genes with long open-reading frame (length > 1,000 bp) that were not saturated (dS < 1) or undergoing positive selection (dN/dS < 1).
FIG. 6. GC content decreases as noncoding sequence length increases. Noncoding sequences were divided into ten bins based on length. The line connects median GC values from each bin. In human and chicken, GC content decreases as (A) intergenic and (B) intron sequence length increases but exhibits a flat relationship with noncoding sequence length in Anolis.
Alföldi,
The genome of the green anole lizard and a comparative analysis with birds and mammals.
2011, Pubmed
Alföldi,
The genome of the green anole lizard and a comparative analysis with birds and mammals.
2011,
Pubmed Balakrishnan,
Nucleotide variation, linkage disequilibrium and founder-facilitated speciation in wild populations of the zebra finch (Taeniopygia guttata).
2009,
Pubmed Belle,
Analysis of the phylogenetic distribution of isochores in vertebrates and a test of the thermal stability hypothesis.
2002,
Pubmed Belle,
The decline of isochores in mammals: an assessment of the GC content variation along the mammalian phylogeny.
2004,
Pubmed Bernardi,
Misunderstandings about isochores. Part 1.
2001,
Pubmed Bernardi,
Compositional constraints and genome evolution.
1986,
Pubmed Bernardi,
Isochores and the evolutionary genomics of vertebrates.
2000,
Pubmed Bernardi,
The neoselectionist theory of genome evolution.
2007,
Pubmed Birdsell,
Integrating genomics, bioinformatics, and classical genetics to study the effects of recombination on genome evolution.
2002,
Pubmed Brown,
A specific mismatch repair event protects mammalian cells from loss of 5-methylcytosine.
1987,
Pubmed Chojnowski,
Patterns of vertebrate isochore evolution revealed by comparison of expressed mammalian, avian, and crocodilian genes.
2007,
Pubmed Chojnowski,
Turtle isochore structure is intermediate between amphibians and other amniotes.
2008,
Pubmed Clay,
GC3 of genes can be used as a proxy for isochore base composition: a reply to Elhaik et al.
2011,
Pubmed Cohen,
GC composition of the human genome: in search of isochores.
2005,
Pubmed Comeron,
The Hill-Robertson effect: evolutionary consequences of weak selection and linkage in finite populations.
2008,
Pubmed Comeron,
The correlation between intron length and recombination in drosophila. Dynamic equilibrium between mutational and selective forces.
2000,
Pubmed Costantini,
Replication timing, chromosomal bands, and isochores.
2008,
Pubmed Costantini,
The evolution of isochore patterns in vertebrate genomes.
2009,
Pubmed Costantini,
An isochore map of human chromosomes.
2006,
Pubmed Cuny,
The major components of the mouse and human genomes. 1. Preparation, basic properties and compositional heterogeneity.
1981,
Pubmed D'Onofrio,
Expression patterns and gene distribution in the human genome.
2002,
Pubmed Duret,
Vanishing GC-rich isochores in mammalian genomes.
2002,
Pubmed Duret,
Biased gene conversion and the evolution of mammalian genomic landscapes.
2009,
Pubmed Duret,
Statistical analysis of vertebrate sequences reveals that long genes are scarce in GC-rich isochores.
1995,
Pubmed
,
Xenbase Duret,
A new perspective on isochore evolution.
2006,
Pubmed Elhaik,
Can GC content at third-codon positions be used as a proxy for isochore composition?
2009,
Pubmed Ellegren,
Molecular evolutionary genomics of birds.
2007,
Pubmed Eyre-Walker,
The evolution of isochores.
2001,
Pubmed Eyre-Walker,
Evidence of selection on silent site base composition in mammals: potential implications for the evolution of isochores and junk DNA.
1999,
Pubmed Fortes,
Diversity in isochore structure among cold-blooded vertebrates based on GC content of coding and non-coding sequences.
2007,
Pubmed Fullerton,
Local rates of recombination are positively correlated with GC content in the human genome.
2001,
Pubmed Galtier,
Inferring pattern and process: maximum-likelihood implementation of a nonhomogeneous model of DNA sequence evolution for phylogenetic analysis.
1998,
Pubmed Glor,
Out of Cuba: overwater dispersal and speciation among lizards in the Anolis carolinensis subgroup.
2005,
Pubmed Goldman,
A codon-based model of nucleotide substitution for protein-coding DNA sequences.
1994,
Pubmed Hardison,
Covariation in frequencies of substitution, deletion, transposition, and recombination during eutherian evolution.
2003,
Pubmed Heger,
OPTIC: orthologous and paralogous transcripts in clades.
2008,
Pubmed Heger,
Evolutionary rate analyses of orthologs and paralogs from 12 Drosophila genomes.
2007,
Pubmed Hill,
The effect of linkage on limits to artificial selection.
2007,
Pubmed Hillis,
Evidence for biased gene conversion in concerted evolution of ribosomal DNA.
1991,
Pubmed Hughes,
Compositional patterns in reptilian genomes.
2002,
Pubmed Hughes,
Warm-blooded isochore structure in Nile crocodile and turtle.
1999,
Pubmed International Chicken Genome Sequencing Consortium,
Sequence and comparative analysis of the chicken genome provide unique perspectives on vertebrate evolution.
2004,
Pubmed Janes,
Genome evolution in Reptilia, the sister group of mammals.
2010,
Pubmed Janes,
New resources inform study of genome size, content, and organization in nonavian reptiles.
2008,
Pubmed Lander,
Initial sequencing and analysis of the human genome.
2001,
Pubmed Li,
Isochores merit the prefix 'iso'.
2003,
Pubmed Mancera,
High-resolution mapping of meiotic crossovers and non-crossovers in yeast.
2008,
Pubmed Meunier,
Recombination drives the evolution of GC-content in the human genome.
2004,
Pubmed Montoya-Burgos,
Recombination explains isochores in mammalian genomes.
2003,
Pubmed Mouchiroud,
The distribution of genes in the human genome.
1991,
Pubmed Peterson,
The relationship between synaptonemal complex length and genome size in four vertebrate classes (Osteicthyes, Reptilia, Aves, Mammalia).
1994,
Pubmed Ream,
Base compositions of genes encoding alpha-actin and lactate dehydrogenase-A from differently adapted vertebrates show no temperature-adaptive variation in G + C content.
2003,
Pubmed
,
Xenbase Romiguier,
Contrasting GC-content dynamics across 33 mammalian genomes: relationship with life-history traits and chromosome sizes.
2010,
Pubmed Watanabe,
Chromosome-wide assessment of replication timing for human chromosomes 11q and 21q: disease-related genes in timing-switch regions.
2002,
Pubmed Yang,
PAML 4: phylogenetic analysis by maximum likelihood.
2007,
Pubmed