XB-ART-44237
J Gen Physiol
2011 Jul 01;1381:59-72. doi: 10.1085/jgp.201110614.
Show Gene links
Show Anatomy links
Functional properties and toxin pharmacology of a dorsal root ganglion sodium channel viewed through its voltage sensors.
Bosmans F, Puopolo M, Martin-Eauclaire MF, Bean BP, Swartz KJ.
???displayArticle.abstract???
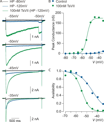
The voltage-activated sodium (Nav) channel Nav1.9 is expressed in dorsal root ganglion (DRG) neurons where it is believed to play an important role in nociception. Progress in revealing the functional properties and pharmacological sensitivities of this non-canonical Nav channel has been slow because attempts to express this channel in a heterologous expression system have been unsuccessful. Here, we use a protein engineering approach to dissect the contributions of the four Nav1.9 voltage sensors to channel function and pharmacology. We define individual S3b-S4 paddle motifs within each voltage sensor, and show that they can sense changes in membrane voltage and drive voltage sensor activation when transplanted into voltage-activated potassium channels. We also find that the paddle motifs in Nav1.9 are targeted by animal toxins, and that these toxins alter Nav1.9-mediated currents in DRG neurons. Our results demonstrate that slowly activating and inactivating Nav1.9 channels have functional and pharmacological properties in common with canonical Nav channels, but also show distinctive pharmacological sensitivities that can potentially be exploited for developing novel treatments for pain.
???displayArticle.pubmedLink??? 21670206
???displayArticle.pmcLink??? PMC3135324
???displayArticle.link??? J Gen Physiol
???displayArticle.grants??? [+]
R01 NS064274 NINDS NIH HHS , Intramural NIH HHS, 084655 Wellcome Trust , 076436 Wellcome Trust , 089795 Wellcome Trust
Species referenced: Xenopus
Genes referenced: drg1 gnl3 kcnb1 nav1 tbx2
???attribute.lit??? ???displayArticles.show???
References [+] :
Aggarwal,
Contribution of the S4 segment to gating charge in the Shaker K+ channel.
1996, Pubmed,
Xenbase
Aggarwal, Contribution of the S4 segment to gating charge in the Shaker K+ channel. 1996, Pubmed , Xenbase
Akopian, A tetrodotoxin-resistant voltage-gated sodium channel expressed by sensory neurons. 1996, Pubmed , Xenbase
Akopian, The tetrodotoxin-resistant sodium channel SNS has a specialized function in pain pathways. 1999, Pubmed
Alabi, Portability of paddle motif function and pharmacology in voltage sensors. 2007, Pubmed , Xenbase
Amaya, The voltage-gated sodium channel Na(v)1.9 is an effector of peripheral inflammatory pain hypersensitivity. 2006, Pubmed
Baker, Protein kinase C mediates up-regulation of tetrodotoxin-resistant, persistent Na+ current in rat and mouse sensory neurones. 2005, Pubmed
Baker, Involvement of Na+ channels in pain pathways. 2001, Pubmed
Baker, GTP-induced tetrodotoxin-resistant Na+ current regulates excitability in mouse and rat small diameter sensory neurones. 2003, Pubmed
Bezanilla, Gating of Shaker K+ channels: II. The components of gating currents and a model of channel activation. 1994, Pubmed , Xenbase
Binshtok, Inhibition of nociceptors by TRPV1-mediated entry of impermeant sodium channel blockers. 2007, Pubmed
Blair, Roles of tetrodotoxin (TTX)-sensitive Na+ current, TTX-resistant Na+ current, and Ca2+ current in the action potentials of nociceptive sensory neurons. 2002, Pubmed
Blum, Neurotrophin-evoked depolarization requires the sodium channel Na(V)1.9. 2002, Pubmed
Bosmans, Targeting voltage sensors in sodium channels with spider toxins. 2010, Pubmed
Bosmans, Four novel tarantula toxins as selective modulators of voltage-gated sodium channel subtypes. 2006, Pubmed , Xenbase
Bosmans, Deconstructing voltage sensor function and pharmacology in sodium channels. 2008, Pubmed , Xenbase
Campos, beta-Scorpion toxin modifies gating transitions in all four voltage sensors of the sodium channel. 2007, Pubmed , Xenbase
Campos, Alpha-scorpion toxin impairs a conformational change that leads to fast inactivation of muscle sodium channels. 2008, Pubmed , Xenbase
Catterall, Voltage-gated ion channels and gating modifier toxins. 2007, Pubmed
Catterall, From ionic currents to molecular mechanisms: the structure and function of voltage-gated sodium channels. 2000, Pubmed
Céard, Purification of the main beta-toxin from Tityus serrulatus scorpion venom using high-performance liquid chromatography. 1992, Pubmed
Cestèle, Voltage sensor-trapping: enhanced activation of sodium channels by beta-scorpion toxin bound to the S3-S4 loop in domain II. 1998, Pubmed
Cestèle, Scorpion alpha-like toxins, toxic to both mammals and insects, differentially interact with receptor site 3 on voltage-gated sodium channels in mammals and insects. 1999, Pubmed
Cestèle, Structure and function of the voltage sensor of sodium channels probed by a beta-scorpion toxin. 2006, Pubmed
Chakrapani, Structural dynamics of an isolated voltage-sensor domain in a lipid bilayer. 2008, Pubmed
Chanda, Tracking voltage-dependent conformational changes in skeletal muscle sodium channel during activation. 2002, Pubmed , Xenbase
Copel, Activation of neurokinin 3 receptor increases Na(v)1.9 current in enteric neurons. 2009, Pubmed
Coste, Pharmacological dissection and distribution of NaN/Nav1.9, T-type Ca2+ currents, and mechanically activated cation currents in different populations of DRG neurons. 2007, Pubmed
Cox, An SCN9A channelopathy causes congenital inability to experience pain. 2006, Pubmed
Cummins, A novel persistent tetrodotoxin-resistant sodium current in SNS-null and wild-type small primary sensory neurons. 1999, Pubmed
del Camino, Status of the intracellular gate in the activated-not-open state of shaker K+ channels. 2005, Pubmed , Xenbase
Dib-Hajj, Sodium channels in normal and pathological pain. 2010, Pubmed
Dib-Hajj, NaN/Nav1.9: a sodium channel with unique properties. 2002, Pubmed
Fang, Intense isolectin-B4 binding in rat dorsal root ganglion neurons distinguishes C-fiber nociceptors with broad action potentials and high Nav1.9 expression. 2006, Pubmed
Fertleman, SCN9A mutations in paroxysmal extreme pain disorder: allelic variants underlie distinct channel defects and phenotypes. 2006, Pubmed
Frech, A novel potassium channel with delayed rectifier properties isolated from rat brain by expression cloning. 1989, Pubmed , Xenbase
Garcia, Purification and characterization of three inhibitors of voltage-dependent K+ channels from Leiurus quinquestriatus var. hebraeus venom. 1994, Pubmed , Xenbase
Horn, Immobilizing the moving parts of voltage-gated ion channels. 2000, Pubmed
Hoshi, Shaker potassium channel gating. I: Transitions near the open state. 1994, Pubmed , Xenbase
Isom, Primary structure and functional expression of the beta 1 subunit of the rat brain sodium channel. 1992, Pubmed , Xenbase
Jiang, The principle of gating charge movement in a voltage-dependent K+ channel. 2003, Pubmed
Jiang, X-ray structure of a voltage-dependent K+ channel. 2003, Pubmed
Jung, Solution structure and lipid membrane partitioning of VSTx1, an inhibitor of the KvAP potassium channel. 2005, Pubmed
Ledwell, Mutations in the S4 region isolate the final voltage-dependent cooperative step in potassium channel activation. 1999, Pubmed , Xenbase
Lee, Solution structure and functional characterization of SGTx1, a modifier of Kv2.1 channel gating. 2004, Pubmed , Xenbase
Leipold, Combinatorial interaction of scorpion toxins Lqh-2, Lqh-3, and LqhalphaIT with sodium channel receptor sites-3. 2004, Pubmed
Leo, Exploring the role of nociceptor-specific sodium channels in pain transmission using Nav1.8 and Nav1.9 knockout mice. 2010, Pubmed
Li-Smerin, Localization and molecular determinants of the Hanatoxin receptors on the voltage-sensing domains of a K(+) channel. 2000, Pubmed , Xenbase
Long, Atomic structure of a voltage-dependent K+ channel in a lipid membrane-like environment. 2007, Pubmed
Maingret, Inflammatory mediators increase Nav1.9 current and excitability in nociceptors through a coincident detection mechanism. 2008, Pubmed
Marcotte, Effects of Tityus serrulatus scorpion toxin gamma on voltage-gated Na+ channels. 1997, Pubmed , Xenbase
Martin, Purification and chemical and biological characterizations of seven toxins from the Mexican scorpion, Centruroides suffusus suffusus. 1987, Pubmed
Martin, Use of high performance liquid chromatography to demonstrate quantitative variation in components of venom from the scorpion Androctonus australis Hector. 1987, Pubmed
Maruyama, Electrophysiological characterization of the tetrodotoxin-resistant Na+ channel, Na(v)1.9, in mouse dorsal root ganglion neurons. 2004, Pubmed
McDonough, Voltage-dependent inhibition of N- and P-type calcium channels by the peptide toxin omega-grammotoxin-SIA. 1997, Pubmed
Middleton, Two tarantula peptides inhibit activation of multiple sodium channels. 2002, Pubmed
Milescu, Interactions between lipids and voltage sensor paddles detected with tarantula toxins. 2009, Pubmed
Nassar, Nociceptor-specific gene deletion reveals a major role for Nav1.7 (PN1) in acute and inflammatory pain. 2004, Pubmed
Ostman, GTP up-regulated persistent Na+ current and enhanced nociceptor excitability require NaV1.9. 2008, Pubmed
Pathak, The cooperative voltage sensor motion that gates a potassium channel. 2005, Pubmed , Xenbase
Phillips, Voltage-sensor activation with a tarantula toxin as cargo. 2005, Pubmed
Priest, Contribution of the tetrodotoxin-resistant voltage-gated sodium channel NaV1.9 to sensory transmission and nociceptive behavior. 2005, Pubmed
Priest, ProTx-I and ProTx-II: gating modifiers of voltage-gated sodium channels. 2007, Pubmed
Rogers, Molecular determinants of high affinity binding of alpha-scorpion toxin and sea anemone toxin in the S3-S4 extracellular loop in domain IV of the Na+ channel alpha subunit. 1996, Pubmed
Rush, PGE2 increases the tetrodotoxin-resistant Nav1.9 sodium current in mouse DRG neurons via G-proteins. 2004, Pubmed
Ruta, Calibrated measurement of gating-charge arginine displacement in the KvAP voltage-dependent K+ channel. 2005, Pubmed
Schoppa, Activation of Shaker potassium channels. II. Kinetics of the V2 mutant channel. 1998, Pubmed , Xenbase
Schoppa, Activation of Shaker potassium channels. III. An activation gating model for wild-type and V2 mutant channels. 1998, Pubmed , Xenbase
Schoppa, Activation of shaker potassium channels. I. Characterization of voltage-dependent transitions. 1998, Pubmed , Xenbase
Seoh, Voltage-sensing residues in the S2 and S4 segments of the Shaker K+ channel. 1996, Pubmed , Xenbase
Sheets, The Na channel voltage sensor associated with inactivation is localized to the external charged residues of domain IV, S4. 1999, Pubmed
Sivilotti, A single serine residue confers tetrodotoxin insensitivity on the rat sensory-neuron-specific sodium channel SNS. 1997, Pubmed , Xenbase
Smith-Maxwell, Uncharged S4 residues and cooperativity in voltage-dependent potassium channel activation. 1998, Pubmed , Xenbase
Smith-Maxwell, Role of the S4 in cooperativity of voltage-dependent potassium channel activation. 1998, Pubmed , Xenbase
Stefani, Gating of Shaker K+ channels: I. Ionic and gating currents. 1994, Pubmed , Xenbase
Stühmer, Molecular basis of functional diversity of voltage-gated potassium channels in mammalian brain. 1989, Pubmed , Xenbase
Sukhareva, Constitutive activation of the Shaker Kv channel. 2003, Pubmed , Xenbase
Swartz, Mapping the receptor site for hanatoxin, a gating modifier of voltage-dependent K+ channels. 1997, Pubmed
Swartz, Tarantula toxins interacting with voltage sensors in potassium channels. 2007, Pubmed
Swartz, An inhibitor of the Kv2.1 potassium channel isolated from the venom of a Chilean tarantula. 1995, Pubmed
Swartz, Hanatoxin modifies the gating of a voltage-dependent K+ channel through multiple binding sites. 1997, Pubmed , Xenbase
Swartz, Sensing voltage across lipid membranes. 2008, Pubmed
Zagotta, Shaker potassium channel gating. III: Evaluation of kinetic models for activation. 1994, Pubmed , Xenbase
Zagotta, Shaker potassium channel gating. II: Transitions in the activation pathway. 1994, Pubmed , Xenbase
Zimmermann, Sensory neuron sodium channel Nav1.8 is essential for pain at low temperatures. 2007, Pubmed
