|
Figure 1. Postovulatory aging effect on egg quality.(A) Batches of 100â300 eggs were fertilized immediately (white bars) or with the delay as indicated (light to dark grey bars). The fertilization rate was scored at the 4-cell stage 3 [21], whereas the survival and malformation rates were determined at the free swimming larval stage 40 (20). At 0, 3.3, 3.8, 5.4 and 6.3 hours 7, 3, 3, 2 and 3 females were used, respectively. Error bars represent standard deviation and the values of the groups indicated by the bracket were compared to the immediately fertilized sample using student t-test (* and **denote p-values of <0.05 and 0.01, respectively). (B) Malformation observed at free swimming larvae: edema (e), abnormal gut formation (g), truncated head (h), small eye (y), kinky tails (k), acephalus (a), cyclop (c) and multiple deformations (m) recorded from different experiments. Normal larvae indicated by arrow. (C) Additionally some larvae without malformations were undersized and retarded in development. Arrow indicates normal larvae. |
|
Figure 2. Quantification of specific polyadenylated transcripts upon egg aging.The fold decrease in the relative amount of polyadenylated transcript in eggs aged for 3 hours compared to immediately fertilized eggs is indicated as obtained from microarrays (black bars) and oligo(dT) primed qRT-PCR (grey bars). The transcripts are named according to the corresponding gene symbols listed in Table S1 and were selected based on their >4-fold decrease in the microarray upon egg aging. TEgg053p21.1 and nop5 are classified by microarray analysis as transcripts with no change upon egg aging and are used as controls. |
|
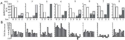
Figure 3. Drop in egg potential and decrease in specific polyadenylated transcripts upon egg aging in batches of eggs obtained from different frogs.Eggs were fertilized immediately or with a 3-hour delay. (A) The developmental competence refers to the survival rate (white boxes) and the percentage of defective development (grey boxes) observed at the free swimming larval stage 40 (20). The defective development includes malformation (dark grey) as well as undersized and retarded development (light grey) as exemplified in Fig. 1B and C. Experiment (exp.) 6 and the experiment in Fig. 2 were made ten months apart using the same female. (B) From each experiment the aging induced decrease determined by oligo(dT) qRT-PCR of the fourteen polyadenylated transcripts is given in the same order as analyzed in Fig. 2. |
|
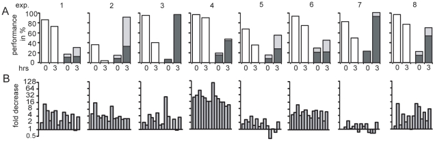
Figure 4. Comparison of in vitro and in vivo egg aging.(A–C) Eggs were fertilized immediately, with a 3-hour delay (in vitro) or from a batch obtained 1.5 hours later (in vivo) from the same female shown also in Fig. 3 as exp. 8. The survival rate (A) and the percentage of defective development (B) observed at the free swimming larval stage 40 [21] is given. The defective development includes malformation (dark grey) as well as undersized and retarded development (light grey). (C) From each experiment the aging induced decrease of the fourteen polyadenylated transcripts analyzed in Fig. 2 is given (gray boxes: in vitro aging; white boxes in vivo aging). |
|
Figure 5. Deadenylation upon egg aging.The fold decrease in relative abundance of the fourteen polyadenylated transcript in aged eggs measured by qRT-PCR using oligo(dT) (grey bars) or random primed cDNA (white bars) is given for two females, the same as used for Fig. 2 and exp.4 in Fig. 3. Error bars represent standard deviation. |
|
Figure 6. Poly(A) tail reduction of specific maternal mRNA in aged eggs.Poly(A) tail behavior of the indicated transcripts decreased (A) and not changed (B) upon egg aging are shown. Total mRNA from fresh (0 h) and aged (3 h) eggs was assayed by the RNA ligation-mediated poly(A) test (RL-PAT). * indicates RNaseH/oligo(dT)20 digestion prior to ligation. Control lanes: âLig, Ligation reaction performed without RNA; -RT, ligated RNA was not reverse transcribed prior to PCR. M, DNA size marker are given in base pairs. Direct sequencing of atp5a1 and tpi1 (A lower panel) reveals the actual transcript 3â²ending (indicated by arrows), which is in fresh eggs at the end of the poly(A) tail (italic As), but in aged eggs several nucleotides upstream of the former end of the RNA body (clear box). P1 is the ligated primer. |
|
Figure 7. Transcript signal reduction correlates with a shorter 3′UTR length.The average signal fold change of probesets, which were scored as consistently increased, not changed and decreased in all 4 cross-comparisons, were plotted against the length of the 3′UTR. Probesets receiving decreased (N = 1134), not changed (N = 4050) and increased change (N = 107) calls in the Affymetrix comparison analysis (MAS 5.0 statistical algorithm) are given in green, grey and red, respectively. Transcripts classified according to signal alterations upon aging, i.e. >4-fold decrease, <4-fold decrease, not changed and increased, are marked with brackets and the median length of the 3′UTR of each class is given. Highly significant p-values between >4-fold decreased transcripts and all other classes derived by Mann-Whitney test are indicated (*** p-value<0.001). |
|
Figure 8. Abundance of CPE, PAS and ARE in the 3′UTR of transcripts deadenylated upon egg aging.Transcripts were classified according to their signal alteration magnitude: >4-fold decreased (black, N = 98), 4>x>2-fold decreased (dark grey, N = 403), <2-fold decreased (light grey, N = 496) and increased (white, N = 96). (A) Percentage of mRNA sequences bearing at least one canonical PAS (AAUAAA), one non-canonical PAS (PAS#) or one CPE in the 3′terminal 100nt for each transcript category are given. *, ** and *** denote p-values of <0.05, p<0.01 and p<0.001 using Fisher's exact test, respectively. (B) Abundance of ARE in the entire 3′UTR was normalized against the total 3′UTR length of the corresponding transcript class and analyzed using Mann-Whitney test. |
|
Figure 9. Distribution of maternal transcripts deadenylated upon egg aging to the RNA categories with distinct adenylation behavior at egg maturation and upon fertilization.The transcripts of each category defined according to their deadenylation and/or polyadenylation were classified in percentage whether they are decreased (black), not changed (white) or increased (grey) upon egg aging. Deadenylation (D) and polyadenylation (P) at egg maturation and upon fertilization for each category is given. Category 7 is not shown as this type of behavior was not observed [15]. For comparison the percent distribution of decreased (black), not changed (white) and increased (grey) transcripts in aged eggs of all transcripts measurable by Affymetrix microarrays is given. Statistically significant differences in the distribution of the categories compared to all measured transcripts are indicated by three asterixs (p<0.0001 by chi square statistics). |