|
Figure 1. Slo3 is insensitive to block by CTX and IbTX. In (A), traces show block by cumulative application of CTX to an outside-out patch, with currents activated with 10 um Ca2+ at +120 mV. Cartoon on the top diagrams the Slo1 topology showing transmembrane segments and the cytosolic domain. In (B), 100 nM CTX is without effect on currents through the Slo3 surrogate construct, MC13. Currents were activated with a pipette saline of pH 8.2 with a depolarizing voltage step to +220 mV. The cartoon shows the MC13 topology with red elements originating from Slo3 and black elements from Slo1. See Methods for precise segment boundaries. In (C), Slo1 G/V curves are shown for different CTX concentrations. Red lines correspond to a fit of a state-independent blocking scheme (Scheme 2a) with Kb = 6.1 ± 0.3 nM and no voltage-dependence during the time of each voltage-step. In (D), the effect of 20 and 100 nM CTX on MC13 G/V curves is shown. In (E), traces shown Slo1 currents during progressive increases in IbTX concentration to an outside-out patch with 10 μM pipette Ca2+ and activation steps to +150 mV. For comparison to other studies, fitting the fractional block of current by IbTX for values at +40 mV with a Hill equation yields a Kd = 0.5 ± 0.3 nM (nH = 1). In (F), MC13 currents are insensitive to application of 25 and 100 nM IbTX to an outside-out patch (activation with pipette pH of 8.5 at +180 mV). |
|
Figure 2. Slo1 CTX sensitivity arises primarily from Y294 with small contributions from other elements in the turret segment. In (A), traces show the lack of effect of 100 nM CTX on currents through construct MC6 (inset), in which the Slo1 P-loop is replaced with Slo3 sequence. In (B), G/V curves for MC6 activated with 10 μM Ca2+ are shown in the absence and presence of CTX. Red lines correspond to fits of a simple Boltzman function. In (C), traces show the lack of effect of 100 nM CTX on construct MC18, in which the 2nd half of the P-loop (selectivity filter and pore helix) were replaced with Slo3 sequence. In (D), G/V curves for the MC18 construct activated with 10 μM Ca2+ are shown. In (E), traces show that CTX readily blocks currents through construct MC8, in which the first half of the P-loop (primarily presumed turrent sequence) was replaced with Slo3 sequence. In (F), G/V curves for MC8 activated with 10 μM Ca2+ are shown at different CTX concentrations. Red lines correspond to the best fit of a state-independent blocking model (Scheme 2) with Kb = 10.4 ± 0.3 nM. In (G), traces show weak blocking effects of CTX on currents through Slo1-Y294V. In (H), effects of CTX on the Slo1-Y294V G/V curves are plotted for 10 μM Ca2+. |
|
Figure 3. The Slo3 surrogate, MC13, is relatively insensitive to block by extracellular TEA in comparison to Slo1. In (A), application of TEA to outside-out patches inhibits Slo1 current. In (B), the effect of TEA on the Slo1 G/V curve generated with 300 μM pipette Ca2+ is shown. The solid lines are the best fit of a state-independent blocking model (Kb = 173.9 ± 8.0 μM; zδ = 0.23 ± 0.02 e). Block is relieved with depolarization. In (C), traces show weak blocking effects of extracellular TEA on MC13 currents in outside-out patches. In (D), extracellular TEA has minimal effect on MC13 G/V curves. In (E), mutation of Y294V in Slo1 abolishes most of the sensitivity of Slo1 to TEA. In (F), G/V curves summarize the lack of effect of TEA on the Slo1-Y294V construct. |
|
Figure 4. MC13 is more sensitive than Slo1 to block by cytosolic TEA. In (A), traces show Slo1 current activated at +80 mV with 300 μM Ca2+ in the indicated concentrations of cytosolic TEA. In (B), G/V curves are shown for set of 4–5 patches with the lines showing the best fit of an open channel blocking model (Kb = 49.0 ± 3.2 μM; zδ = -0.15 ± 0.02 e). In (C), traces show MC13 currents activated with pH 8.5 at +280 mV at the indicated cytosolic TEA concentrations. In (D), G/V curves are shown for a set of 6 patches with the lines showing the best fit of an open channel block model (Kb = 0.11 ± 0.01 μM; zδ = 0.12 ± 0.01 e, with the maximal fractional conductance at +300 mV assumed to be 0.35,5,6). A state-independent model did not fit as well (see text and Suppl. Fig. 3). |
|
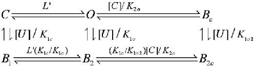
Scheme 2. |
|
Figure 5. MC13 is relatively insensitive to block by extracellular 4-AP compared to block of Slo1. In (A), Slo1 currents were activated in outside-out patches by the indicated voltage-protocol with 300 μM Ca2+ (pH 8.5) inside the recording pipette. Application of 25 and 100 mM 4-AP resulted in substantial block of outward BK current. In the presence of 4-AP, activation at +100 mV is noticeably slowed, consistent with time-dependent unblock. In contrast, tail currents at -100 mV (red trace) in the presence of 4-AP decay more rapidly than in the absence of 4-AP and exhibit more block at the negative potentials. The pH of the extracellular solution was 7.0. In (B), G/V curves from traces such as those in (A) were generated from steady-state currents. Red lines are the best fit of the open channel block scheme with Kb(0) = 5.19 ± 0.41 mM and zδ = 0.60 ± 0.03 e, consistent with a relief from block at more positive cytosolic voltages. In (C), MC13 currents were activated by the indicated voltage-protocol with the pipette solution at pH 8.5. 4-AP was much less effective in blocking MC13 than BK currents. In (D), G-V curves for MC13 currents were generated again revealing the relative lack of effect of extracellular 4-AP on MC13. |
|
Figure 6. Cytosolic 4-AP blocks Slo3/MC13 more effectively than it blocks Slo1. In (A), G/V curves were generated for Slo1 currents activated with 300 μM Ca2+ (pH 8.5) in inside-out patches with various concentrations of 4-AP. Red lines are the best fit of Scheme 2a, the state-independent block model, with Kb = 30.7 ± 1.3 mM with zδ = 0.1 ± 0.02 e. In (B), G/V curves were generated for Slo3 currents activated with pH 8.5 and fit with Scheme 1, the open channel block model (Kb = 2.5 ± 0.5 mM with zδ = 0.02 ± 0.03 e. In (C), G/V curves were generated for MC13 currents activated in inside-out patches with pH 8.5 and fit with Scheme 1 (Kb = 2.1 ± 0.2 with zδ = 0.02 ± 0.01 e). |
|
Figure 7. Comparison of block of BK currents by 4-AP at pH 7.0 and 8.5. In (A), currents activated with 300 μM Ca2+ at +100 mV by the indicated voltage protocol are compared for different 4-AP concentrations at pH 7.0. The trace for 50 mM 4-AP exhibits greater than 50% block at +100 mV with almost full and instantaneous recovery during the tail current at -100 mV. In (B), currents from the same patch as in (A) were activated as in (A) except at pH 8.5. The trace at 50 mM 4-AP shows strong block at +100 mV, with less complete recovery from block during the tail current in comparison to currents at pH 7.0. In (C and D), G-V curves at plotted for different concentrations of 4-AP either for pH 7.0 (C) or 8.5 (D). In (C), lines correspond to the best fit of Scheme 1a to all points for pH 7.0 yielding Kb = 58.3 ± 3.3 mM with zδ = 0.18 ± 0.02 e. In (D), similarly for pH 8.5, Scheme 1a yielded Kbo = 24.9 ± 2.6 mM with zδ = 0.05 ± 0.06 e. However, at pH 8.5, the state-independent Scheme 2a yielded a better fit than Scheme 1a, with Kbo= Kbc = 31.0 ± 2.7 mM with zδ = 0.11 ± 0.03 e, while for pH 7.0 Scheme 2a yielded a poorer fit than Scheme 1a. In (E), the G/V curves obtained at both pH 7.0 (left) and pH 8.5 (right) were fit simultaneously with Scheme 3, which assumes two independent 4-AP blocking sites, one for the uncharged non-protonated species defined by binding constant Kb(u) and a voltage-dependent site sensitive to protonated 4-AP defined by binding constant Kb(p). Best fit values for the three free parameters were Kb(u) = 9.07 ± 0.46 mM, Kb(p) = 63.5 ± 3.8 mM, and z(p) = 0.19 ± 0.02 e. |
|
Scheme 3. |
|
Figure 8. Block of Slo1 by extracellular or intracellular quinidine is increased by depolarization. In (A), the indicated voltage-protocol was used to elicit Slo1 currents activated with a cytosolic solution containing 300 μM Ca2+ at pH 8.5. Each trace was with a different concentration of extracellular quinidine (pH 7.0). In (B), G/V curves for Slo1 current activation in the presence and absence of quinidine exhibit increased block at more positive potentials. Red lines correspond to the fit of Eqn. 1 with Kb(0) = 0.95 ± 0.02 mM (zδ = 0.05 + 0.01 e). In (C), tail currents following repolarization are shown on an expanded time base for the control trace and 2 mM quinidine trace (red) from (A), revealing rapid unblock upon repolariztion. In (D), traces show Slo1 currents in an inside-out patch activated with the indicated voltage-protocol with 300 μM cytosolic Ca2+ at pH 8.5 and the indicated quinidine concentrations. In (E), G/V curves for Slo1 currents with various quinidine concentrations are plotted along with a fit of Scheme 1, an open-channel block model, with Kb(0) = 142.9 + 3.4 μM (zδ = 0.18 ± 0.01 e). In F, traces are tail currents from (D) for control and 500 μM quinidine solutions. The fractional reduction of peak instantaneous current at -100 mV is reduced relative to the fractional reduction of steady-state current at +100 mV. In (G), Slo1 G/V curves were generated from inside-out patches with 10 μM Ca2+ at pH 7.0 and the indicated quinidine concentrations with the best fit of Eqn. 1 yielding Kb(0) = 92.8 ± 9.8 μM with zδ = 0.11 ± 0.03 e. |
|
Figure 9. Block of MC13 by either extracellular or intracellular quinidine shows a similar relief with depolarization. In (A), MC13 currents were activated in an outside-out patch with the indicated voltage-protocol with a pipette saline of pH 8.5. Quinidine (pH 7.0) was applied to the extracellular side of the patch. In (B), G/V curves for MC13 currents activated in various quinidine concentrations show relief of block at more positive potentials, particularly at higher quinidine concentrations. Lines correspond to a fit of Eqn. 2 (Scheme 2a; state-independent channel block) with Kb = 11.42 ± 1.44 μM (zδ = 0.13 ± 0.01 e from the outside). In (C), traces show MC13 currents activated in an inside-out patch at pH 8.5 with the indicated quinidine concentrations. In (D), G/V curves from MC13 currents are plotted for the indicated quinidine concentrations. Lines show the best fit with Scheme 2a, a state-independent blocking model, with Kb = 1.97 ± 0.34 μM with zδ = 0.13 ± 0.02 e. In (E), traces are tail currents from (C) for control and 25 μM quinidine solutions, highlighting persistence of block with repolarization. In (F), G/V curves for MC13 currents obtained in inside-out patches at pH 8.2 with various quinidine concentrations are shown, with the best fit (Eqn. 2) yielding Kb(0) = 0.98 ± 0.03 μM, with zδ constrained to 0.13 e. |
|
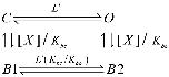
Scheme 1. |