XB-ART-41193
J Gen Physiol
2010 Mar 01;1353:275-95. doi: 10.1085/jgp.200910316.
Show Gene links
Show Anatomy links
Activation of Slo2.1 channels by niflumic acid.
Dai L, Garg V, Sanguinetti MC.
???displayArticle.abstract???
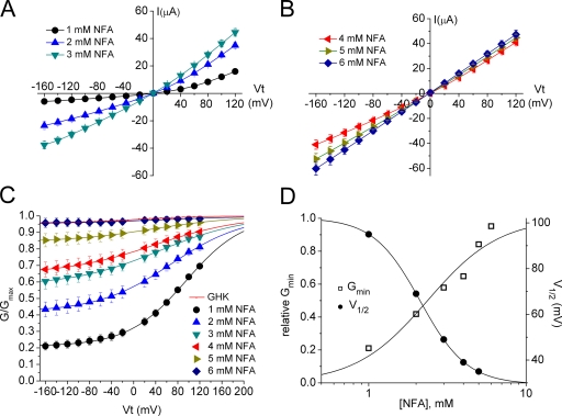
Slo2.1 channels conduct an outwardly rectifying K(+) current when activated by high [Na(+)](i). Here, we show that gating of these channels can also be activated by fenamates such as niflumic acid (NFA), even in the absence of intracellular Na(+). In Xenopus oocytes injected with <10 ng cRNA, heterologously expressed human Slo2.1 current was negligible, but rapidly activated by extracellular application of NFA (EC(50) = 2.1 mM) or flufenamic acid (EC(50) = 1.4 mM). Slo2.1 channels activated by 1 mM NFA exhibited weak voltage dependence. In high [K(+)](e), the conductance-voltage (G-V) relationship had a V(1/2) of +95 mV and an effective valence, z, of 0.48 e. Higher concentrations of NFA shifted V(1/2) to more negative potentials (EC(50) = 2.1 mM) and increased the minimum value of G/G(max) (EC(50) = 2.4 mM); at 6 mM NFA, Slo2.1 channel activation was voltage independent. In contrast, V(1/2) of the G-V relationship was shifted to more positive potentials when [K(+)](e) was elevated from 1 to 300 mM (EC(50) = 21.2 mM). The slope conductance measured at the reversal potential exhibited the same [K(+)](e) dependency (EC(50) = 23.5 mM). Conductance was also [Na(+)](e) dependent. Outward currents were reduced when Na(+) was replaced with choline or mannitol, but unaffected by substitution with Rb(+) or Li(+). Neutralization of charged residues in the S1-S4 domains did not appreciably alter the voltage dependence of Slo2.1 activation. Thus, the weak voltage dependence of Slo2.1 channel activation is independent of charged residues in the S1-S4 segments. In contrast, mutation of R190 located in the adjacent S4-S5 linker to a neutral (Ala or Gln) or acidic (Glu) residue induced constitutive channel activity that was reduced by high [K(+)](e). Collectively, these findings indicate that Slo2.1 channel gating is modulated by [K(+)](e) and [Na(+)](e), and that NFA uncouples channel activation from its modulation by transmembrane voltage and intracellular Na(+).
???displayArticle.pubmedLink??? 20176855
???displayArticle.pmcLink??? PMC2828905
???displayArticle.link??? J Gen Physiol
???displayArticle.grants??? [+]
R01 GM033397 NIGMS NIH HHS , R01 GM033397-25 NIGMS NIH HHS , GM 33397 NIGMS NIH HHS , R01 HL103877 NHLBI NIH HHS
Species referenced: Xenopus
Genes referenced: dtl kcna2 kcnma1 kcnt2
???attribute.lit??? ???displayArticles.show???
References [+] :
Adelman,
Calcium-activated potassium channels expressed from cloned complementary DNAs.
1992, Pubmed,
Xenbase
Adelman, Calcium-activated potassium channels expressed from cloned complementary DNAs. 1992, Pubmed , Xenbase
Aggarwal, Contribution of the S4 segment to gating charge in the Shaker K+ channel. 1996, Pubmed , Xenbase
Akera, Effects of monovalent cations on (Na+ + K+)-ATPase in rat brain slices. 1979, Pubmed
Bader, Sodium-activated potassium current in cultured avian neurones. , Pubmed
Baukrowitz, Modulation of K+ current by frequency and external [K+]: a tale of two inactivation mechanisms. 1995, Pubmed
Ben-Abu, Inverse coupling in leak and voltage-activated K+ channel gates underlies distinct roles in electrical signaling. 2009, Pubmed
Bhattacharjee, Slick (Slo2.1), a rapidly-gating sodium-activated potassium channel inhibited by ATP. 2003, Pubmed , Xenbase
Busch, Positive regulation by chloride channel blockers of IsK channels expressed in Xenopus oocytes. 1994, Pubmed , Xenbase
Contreras, Gating at the selectivity filter in cyclic nucleotide-gated channels. 2008, Pubmed
Doyle, The structure of the potassium channel: molecular basis of K+ conduction and selectivity. 1998, Pubmed
Dryer, Na(+)-activated K+ channels and voltage-evoked ionic currents in brain stem and parasympathetic neurones of the chick. 1991, Pubmed
Dryer, Na(+)-activated K+ channels: a new family of large-conductance ion channels. 1994, Pubmed , Xenbase
Egan, Properties and rundown of sodium-activated potassium channels in rat olfactory bulb neurons. 1992, Pubmed
Egan, Na(+)-activated K+ channels are widely distributed in rat CNS and in Xenopus oocytes. 1992, Pubmed , Xenbase
Fernandez, Structural basis for ether-a-go-go-related gene K+ channel subtype-dependent activation by niflumic acid. 2008, Pubmed , Xenbase
Ferrer, The S4-S5 linker directly couples voltage sensor movement to the activation gate in the human ether-a'-go-go-related gene (hERG) K+ channel. 2006, Pubmed , Xenbase
Flynn, Conformational changes in S6 coupled to the opening of cyclic nucleotide-gated channels. 2001, Pubmed , Xenbase
Goldin, Expression of ion channels by injection of mRNA into Xenopus oocytes. 1991, Pubmed , Xenbase
Goldman, POTENTIAL, IMPEDANCE, AND RECTIFICATION IN MEMBRANES. 1943, Pubmed
Greenwood, Comparison of the effects of fenamates on Ca-activated chloride and potassium currents in rabbit portal vein smooth muscle cells. 1995, Pubmed
Gribkoff, Effects of channel modulators on cloned large-conductance calcium-activated potassium channels. 1996, Pubmed , Xenbase
Haimann, Potassium current activated by intracellular sodium in quail trigeminal ganglion neurons. 1990, Pubmed
Haimann, Sodium-activated potassium channel in avian sensory neurons. 1989, Pubmed
Haimann, Sodium-activated potassium current in sensory neurons: a comparison of cell-attached and cell-free single-channel activities. 1992, Pubmed
Hamill, Improved patch-clamp techniques for high-resolution current recording from cells and cell-free membrane patches. 1981, Pubmed
Harvey, On the role of sodium ions in the regulation of the inward-rectifying potassium conductance in cat ventricular myocytes. 1989, Pubmed
Hille, Potassium channels as multi-ion single-file pores. 1978, Pubmed
HODGKIN, The effect of sodium ions on the electrical activity of giant axon of the squid. 1949, Pubmed
Horrigan, Allosteric voltage gating of potassium channels I. Mslo ionic currents in the absence of Ca(2+). 1999, Pubmed , Xenbase
Jiang, X-ray structure of a voltage-dependent K+ channel. 2003, Pubmed
Jiang, Crystal structure and mechanism of a calcium-gated potassium channel. 2002, Pubmed
Jiang, The open pore conformation of potassium channels. 2002, Pubmed
Johnson, Rotational movement during cyclic nucleotide-gated channel opening. 2001, Pubmed , Xenbase
Kameyama, Intracellular Na+ activates a K+ channel in mammalian cardiac cells. , Pubmed
Klein, Structural determinants of the closed KCa3.1 channel pore in relation to channel gating: results from a substituted cysteine accessibility analysis. 2007, Pubmed , Xenbase
Liu, Change of pore helix conformational state upon opening of cyclic nucleotide-gated channels. 2000, Pubmed , Xenbase
Liu, Gated access to the pore of a voltage-dependent K+ channel. 1997, Pubmed
Liu, Structure of the KcsA channel intracellular gate in the open state. 2001, Pubmed
Long, Crystal structure of a mammalian voltage-dependent Shaker family K+ channel. 2005, Pubmed
Loots, Protein rearrangements underlying slow inactivation of the Shaker K+ channel. 1998, Pubmed
Luk, Na(+)-activated K+ current in cardiac cells: rectification, open probability, block and role in digitalis toxicity. 1990, Pubmed
Ma, Role of charged residues in the S1-S4 voltage sensor of BK channels. 2006, Pubmed , Xenbase
Malykhina, Fenamate-induced enhancement of heterologously expressed HERG currents in Xenopus oocytes. 2002, Pubmed , Xenbase
Mazzolini, The analysis of desensitizing CNGA1 channels reveals molecular interactions essential for normal gating. 2009, Pubmed , Xenbase
McCormack, A role for hydrophobic residues in the voltage-dependent gating of Shaker K+ channels. 1991, Pubmed , Xenbase
Nair, Locking CNGA1 channels in the open and closed state. 2006, Pubmed , Xenbase
Niu, Potassium inhibition of sodium-activated potassium (K(Na)) channels in guinea-pig ventricular myocytes. 2000, Pubmed
Noma, ATP-regulated K+ channels in cardiac muscle. , Pubmed
Ohmori, Inactivation kinetics and steady-state current noise in the anomalous rectifier of tunicate egg cell membranes. 1978, Pubmed
Ottolia, Potentiation of large conductance KCa channels by niflumic, flufenamic, and mefenamic acids. 1994, Pubmed
Peretz, Meclofenamic acid and diclofenac, novel templates of KCNQ2/Q3 potassium channel openers, depress cortical neuron activity and exhibit anticonvulsant properties. 2005, Pubmed
Robinson, Mechanisms by which Li+ stimulates the (Na+ and K+)-dependent ATPase. 1975, Pubmed
Rodrigo, A sodium-activated potassium current in intact ventricular myocytes isolated from the guinea-pig heart. 1990, Pubmed
Safronov, Properties and functions of Na(+)-activated K+ channels in the soma of rat motoneurones. 1996, Pubmed
Sanguinetti, Mutations of the S4-S5 linker alter activation properties of HERG potassium channels expressed in Xenopus oocytes. 1999, Pubmed , Xenbase
Santi, Opposite regulation of Slick and Slack K+ channels by neuromodulators. 2006, Pubmed , Xenbase
Schreiber, Slo3, a novel pH-sensitive K+ channel from mammalian spermatocytes. 1998, Pubmed
Seoh, Voltage-sensing residues in the S2 and S4 segments of the Shaker K+ channel. 1996, Pubmed , Xenbase
Stühmer, Electrophysiological recording from Xenopus oocytes. 1992, Pubmed , Xenbase
Tamsett, NAD+ activates KNa channels in dorsal root ganglion neurons. 2009, Pubmed
Tang, Closed-channel block of BK potassium channels by bbTBA requires partial activation. 2009, Pubmed , Xenbase
Tiwari-Woodruff, Electrostatic interactions between transmembrane segments mediate folding of Shaker K+ channel subunits. 1997, Pubmed , Xenbase
Tiwari-Woodruff, Voltage-dependent structural interactions in the Shaker K(+) channel. 2000, Pubmed , Xenbase
Tristani-Firouzi, Interactions between S4-S5 linker and S6 transmembrane domain modulate gating of HERG K+ channels. 2002, Pubmed , Xenbase
Vasilets, Stimulation of the Na+/K+ pump by external [K+] is regulated by voltage-dependent gating. 1991, Pubmed , Xenbase
Wang, Conductance properties of the Na(+)-activated K+ channel in guinea-pig ventricular cells. 1991, Pubmed
Wang, Activation properties of Kv4.3 channels: time, voltage and [K+]o dependence. 2004, Pubmed , Xenbase
Wang, A quantitative analysis of the activation and inactivation kinetics of HERG expressed in Xenopus oocytes. 1997, Pubmed , Xenbase
Wang, Unexpected and differential effects of Cl- channel blockers on the Kv4.3 and Kv4.2 K+ channels. Implications for the study of the I(to2) current. 1997, Pubmed , Xenbase
Weber, Ion currents of Xenopus laevis oocytes: state of the art. 1999, Pubmed , Xenbase
White, Niflumic and flufenamic acids are potent reversible blockers of Ca2(+)-activated Cl- channels in Xenopus oocytes. 1990, Pubmed , Xenbase
Wilkens, State-independent block of BK channels by an intracellular quaternary ammonium. 2006, Pubmed , Xenbase
Yellen, The moving parts of voltage-gated ion channels. 1998, Pubmed
Yuan, The sodium-activated potassium channel is encoded by a member of the Slo gene family. 2003, Pubmed , Xenbase
Zhainazarov, Gating and conduction properties of a sodium-activated cation channel from lobster olfactory receptor neurons. 1997, Pubmed
Zhou, Chemistry of ion coordination and hydration revealed by a K+ channel-Fab complex at 2.0 A resolution. 2001, Pubmed
