Click here to close
Hello! We notice that you are using Internet Explorer, which is not supported by Xenbase and may cause the site to display incorrectly.
We suggest using a current version of Chrome,
FireFox, or Safari.
Int J Environ Res Public Health
2008 Dec 01;55:368-77. doi: 10.3390/ijerph5050368.
Show Gene links
Show Anatomy links
The effects of 2,3,7,8-tetrachlorodibenzo-p-dioxin (TCDD) on the mortality and growth of two amphibian species (Xenopus laevis and Pseudacris triseriata).
Collier A, Orr L, Morris J, Blank J.
???displayArticle.abstract???
We observed a slight drop in the growth of Xenopus laevis and Pseudacris triseriata larvae following acute exposure (24-48 h) during egg development to three concentrations of TCDD (0.3, 3.0, 30.0 microg/l). Our exposure protocol was modeled on a previous investigation that was designed to mimic the effects of maternal deposition of TCDD. The doses selected were consistent with known rates of maternal transfer between mother and egg using actual adult body burdens from contaminated habitats. Egg and embryonic mortality immediately following exposure increased only among 48 h X. laevis treatments. Control P. triseriata and X. laevis completed metamorphosis more quickly than TCDDtreated animals. The snout-vent length of recently transformed P. triseriata did not differ between treatments although controls were heavier than high-dosed animals. Likewise, the snout-vent length and weight of transformed X. laevis did not differ between control and TCDD treatments. These findings provide additional evidence that amphibians, including P. triseriata and X. laevis are relatively insensitive to acute exposure to TCDD during egg and embryonic development. Although the concentrations selected for this study were relatively high, they were not inconsistent with our current understanding of bioaccumulation via maternal transfer.
Figure 1. Larval growth of P. triseriata among control and 48 h TCDD treatments expressed as an increase in, a) total length (mm) and, b) weight (g) over time. Each data point represents the average length (± SE) of ten randomly selected larvae. Eggs were originally exposed for 48 h to waterborne concentrations of TCDD as follows: low (0.3 μg/l), medium (3.0 μg/l), and high (30.0 μg/l). Control P. triseriata were statistically longer, but not heavier than TCDD-treated larvae on the final sampling day (day 40)
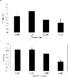
Figure 2:. Time (days) required for 48 h control and TCDD-treated P. triseriata larvae to reach metamorphosis. Control P. triseriata completed metamorphosis more rapidly than TCDD- treated animals. Eggs were originally exposed for 48 h to waterborne concentrations of TCDD as follows: low (0.3 μg/l), medium (3.0 μg/l), and high (30.0 μg/l).
Figure 3. Size at metamorphosis of P. triseriata control and TCDD-treated animals measured in terms of, a) snout-vent length (mm), and, b) weight (g). Eggs were originally exposed for 48 h to waterborne concentrations of TCDD as follows: low (0.3 μg/l), medium (3.0 μg/l), and high (30.0 μg/l). *The number within parentheses represents the total number of metamorphosed frogs for each treatment.
Figure 4. Larval growth of X. laevis expressed as an increase in total length (mm) over time for, a) control and 24 h TCDD treatments and, b) control and 48 h TCDD treatments. *Each point represents the average length of the five larvae (± SE) from each treatment. Eggs were originally exposed for either 24 or 48 h to waterborne concentrations of TCDD as follows: low (0.3 μg/l), medium (3.0 μg/l), and high (30.0 μg/l). At the final sampling period (32 days post exposure), control tadpoles for both 24 and 48 h trials were significantly longer than the animals from the slowest growing treatment. For the 24 h trial, control tadpoles were significantly longer than those exposed to the high dose (30.0 μg/l) of TCDD. For the 48 h trial, control tadpoles were significantly longer that those exposed to the low dose (0.3 μg/l) of TCDD.
Beatty,
Toxicity of 2, 3, 7, 8-tetrachlorodibenzo-p-dioxin in larval and adult forms of Rana catesbeiana.
1976, Pubmed
Beatty,
Toxicity of 2, 3, 7, 8-tetrachlorodibenzo-p-dioxin in larval and adult forms of Rana catesbeiana.
1976,
Pubmed Birnbaum,
Developmental effects of dioxins and related endocrine disrupting chemicals.
1995,
Pubmed Bollérot,
Molecular cloning and embryonic expression of the Xenopus Arnt gene.
2001,
Pubmed
,
Xenbase Cantrell,
Embryotoxicity of 2,3,7,8-tetrachlorodibenzo-p-dioxin (TCDD): the embryonic vasculature is a physiological target for TCDD-induced DNA damage and apoptotic cell death in Medaka (Orizias latipes).
1996,
Pubmed Cantrell,
Correlation of 2,3,7,8-tetrachlorodibenzo-p-dioxin-induced apoptotic cell death in the embryonic vasculature with embryotoxicity.
1998,
Pubmed Carey,
Possible interrelations among environmental toxicants, amphibian development, and decline of amphibian populations.
1995,
Pubmed Dell'Orto,
Cellular targets in response to dioxin exposure.
1998,
Pubmed
,
Xenbase Fontenot,
Bioaccumulation of polychlorinated biphenyls in ranid frogs and northern water snakes from a hazardous waste site and a contaminated watershed.
2000,
Pubmed Fujita,
Molecular cloning and sequence analysis of cDNAs coding for 3-methylcholanthrene-inducible cytochromes P450 in Xenopus laevis liver.
1999,
Pubmed
,
Xenbase Gutleb,
Effects of oral exposure to polychlorinated biphenyls (PCBs) on the development and metamorphosis of two amphibian species (Xenopus laevis and Rana temporaria).
2000,
Pubmed
,
Xenbase Gutleb,
Delayed effects of pre- and early-life time exposure to polychlorinated biphenyls on tadpoles of two amphibian species (Xenopus laevis and Rana temporaria).
1999,
Pubmed
,
Xenbase Hankinson,
The aryl hydrocarbon receptor complex.
1995,
Pubmed Hankinson,
Role of coactivators in transcriptional activation by the aryl hydrocarbon receptor.
2005,
Pubmed Hoffman,
Cloning of a factor required for activity of the Ah (dioxin) receptor.
1991,
Pubmed Huang,
Exposure of northern leopard frogs in the green bay ecosystem to polychlorinated biphenyls, polychlorinated dibenzo-p-dioxins, and polychlorinated dibenzofurans is measured by direct chemistry but not hepatic ethoxyresorufin-o-deethylase activity.
1999,
Pubmed Ivnitski,
2,3,7,8-tetrachlorodibenzo-p-dioxin (TCDD) inhibition of coronary development is preceded by a decrease in myocyte proliferation and an increase in cardiac apoptosis.
2001,
Pubmed Ivnitski-Steele,
2,3,7,8-tetrachlorodibenzo-p-dioxin (TCDD) inhibition of coronary vasculogenesis is mediated, in part, by reduced responsiveness to endogenous angiogenic stimuli, including vascular endothelial growth factor A (VEGF-A).
2005,
Pubmed Ivnitski-Steele,
Vascular endothelial growth factor rescues 2,3,7,8-tetrachlorodibenzo-p-dioxin inhibition of coronary vasculogenesis.
2003,
Pubmed Kadokami,
Maternal transfer of organochlorine pesticides, polychlorinated dibenzo-p-dioxins, dibenzofurans, and coplanar polychlorinated biphenyls in frogs to their eggs.
2004,
Pubmed Kiesecker,
Complex causes of amphibian population declines.
2001,
Pubmed Lavine,
Aryl hydrocarbon receptors in the frog Xenopus laevis: two AhR1 paralogs exhibit low affinity for 2,3,7,8-tetrachlorodibenzo-p-dioxin (TCDD).
2005,
Pubmed
,
Xenbase Mably,
In utero and lactational exposure of male rats to 2,3,7,8-tetrachlorodibenzo-p-dioxin. 1. Effects on androgenic status.
1992,
Pubmed Mably,
In utero and lactational exposure of male rats to 2,3,7,8-tetrachlorodibenzo-p-dioxin. 2. Effects on sexual behavior and the regulation of luteinizing hormone secretion in adulthood.
1992,
Pubmed Mann,
The acute toxicity of agricultural surfactants to the tadpoles of four Australian and two exotic frogs.
2001,
Pubmed
,
Xenbase Mann,
The toxicity of glyphosate and several glyphosate formulations to four species of southwestern Australian frogs.
1999,
Pubmed McKinney,
2,3,7,8-Tetrachlorodibenzo-p-dioxin (TCDD) as a potent and persistent thyroxine agonist: a mechanistic model for toxicity based on molecular reactivity.
1985,
Pubmed
,
Xenbase Mondou,
Thyroxine concentrations in blood serum and pericardial fluid of metamorphosing tadpoles and of adult frogs.
1979,
Pubmed Ohi,
Molecular cloning and expression analysis of the aryl hydrocarbon receptor of Xenopus laevis.
2003,
Pubmed
,
Xenbase Petrulis,
The hsp90 Co-chaperone XAP2 alters importin beta recognition of the bipartite nuclear localization signal of the Ah receptor and represses transcriptional activity.
2003,
Pubmed Pohjanvirta,
Short-term toxicity of 2,3,7,8-tetrachlorodibenzo-p-dioxin in laboratory animals: effects, mechanisms, and animal models.
1994,
Pubmed Puga,
Role of the aryl hydrocarbon receptor in cell cycle regulation.
2002,
Pubmed Puga,
Ah receptor signals cross-talk with multiple developmental pathways.
2005,
Pubmed Relyea,
Predator-induced stress makes the pesticide carbaryl more deadly to gray treefrog tadpoles (Hyla versicolor).
2001,
Pubmed Rowatt,
ARNT gene multiplicity in amphibians: characterization of ARNT2 from the frog Xenopus laevis.
2003,
Pubmed
,
Xenbase Rowlands,
Aryl hydrocarbon receptor-mediated signal transduction.
1997,
Pubmed Sakamoto,
A morphological study of liver lesions in Xenopus larvae exposed to 2,3,7,8-tetrachlorodibenzo-p-dioxin (TCDD) with special reference to apoptosis of hepatocytes.
1995,
Pubmed
,
Xenbase Sakamoto,
Apoptotic cell death of erythrocytes in Xenopus larvae exposed to 2,3,7,8-tetrachlorodibenzo-p-dioxin.
1997,
Pubmed
,
Xenbase Sakamoto,
Apoptosis of the intestinal principal cells of Xenopus larvae exposed to 2,3,7,8-tetrachlorodibenzo-p-dioxin.
1999,
Pubmed
,
Xenbase Salisbury,
In utero and lactational exposure to 2,3,7,8-tetrachlorodibenzo-p-dioxin and 2,3,4,7,8-pentachlorodibenzofuran reduces growth and disrupts reproductive parameters in female rats.
2002,
Pubmed Schmidt,
Ah receptor signaling pathways.
1996,
Pubmed Schuytema,
Comparative toxicity of diuron on survival and growth of Pacific treefrog, bullfrog, red-legged frog, and African clawed frog embryos and tadpoles.
1998,
Pubmed
,
Xenbase Schuytema,
Comparative toxicity of Guthion and Guthion 2S to Xenopus laevis and Pseudacris regilla tadpoles.
1995,
Pubmed
,
Xenbase Vajda,
Effects of steroids and dioxin (2,3,7,8-TCDD) on the developing wolffian ducts of the tiger salamander (Ambystoma tigrinum).
2005,
Pubmed Van den Berg,
Toxic equivalency factors (TEFs) for PCBs, PCDDs, PCDFs for humans and wildlife.
1998,
Pubmed Zimmermann,
An aryl hydrocarbon receptor repressor from Xenopus laevis: function, expression, and role in dioxin responsiveness during frog development.
2008,
Pubmed
,
Xenbase