Click here to close
Hello! We notice that you are using Internet Explorer, which is not supported by Xenbase and may cause the site to display incorrectly.
We suggest using a current version of Chrome,
FireFox, or Safari.
J Neurochem
2009 Jan 01;1082:331-40. doi: 10.1111/j.1471-4159.2008.05761.x.
Show Gene links
Show Anatomy links
Regions of the amino terminus of the P2X receptor required for modification by phorbol ester and mGluR1alpha receptors.
Wen H, Evans RJ.
???displayArticle.abstract???
The potentiation of P2X(1) receptor currents by phorbol ester (PMA) treatment and stimulation of mGluR1alpha receptors was sensitive to inhibition of novel forms of protein kinase C. Potentiation was also reduced by co-expression of an amino terminal P2X(1) receptor minigene. Cysteine point mutants of residues Tyr(16)-Gly(30) were expressed in Xenopus oocytes. Peak current amplitudes to ATP for Y16C, T18C and R20C mutants were reduced, however this did not result from a decrease in surface expression of the channels. The majority of the mutants showed changes in the time-course of desensitization of ATP evoked currents indicating the important role of this region in regulation of channel properties. PMA and mGluR1alpha potentiation was abolished for the mutants Y16C, T18C, R20C, K27C and G30C. Minigenes incorporating either Y16C, K27C, V29C or G30C still inhibited PMA responses. However D17C, T18C or R20C mutant minigenes were no longer effective suggesting that these residues are important for interaction with regulatory factors. These results demonstrate that the conserved YXTXK/R sequence and a region with a conserved glycine residue close to the first transmembrane segment contribute to PMA and GPCR regulation of P2X(1) receptors.
Fig. 1. Potentiation of P2X1 receptor currents by PMA and mGluR1α receptor stimulation is sensitive to inhibitors of novel isoforms of protein kinase C. (a) Representative traces of currents evoked by ATP (100 μM) under control conditions (left) and following treatment with PMA (100 nM) or PMA following incubation with the PKC inhibitors (1 h pre-incubation before 10 min of PMA) calphostin C (1 μM), K252a (100 nM), Gö6983 (200 nM) or Gö6976 (200 nM). The lower panel shows a summary of the effects of the inhibitors on PMA potentiation, n=5–19. (b) Sample traces of the effects of PKC inhibitors and mGluR1α mediated potentiation of P2X1 receptor currents. Application of glutamate (100 μM) evoked a transient inward calcium activated chloride current and potentiated the subsequent ATP current. Potentiation was reduced following pre-treatment of the oocytes with the PKC inhibitors. The lower panel shows a summary of the effects, of the inhibitors on glutamate potentiation, n=3–13. ***p< 0.001.
Fig. 2. The N-termini P2X1 receptor minigene blocks the potentiating effects of PMA and mGluR1α receptor stimulation on P2X1 receptor currents. A minigene encoding the N-terminal sequence of the P2X1 receptor was co-expressed with wild type P2X1 and mGluR1α receptors in the Xenopus oocytes. (a) Upper left panels show representative currents evoked by a maximal concentration of ATP (100 μM, indicated by bar) at control oocytes (WT P2X1) and those following 10 min incubation with PMA (100 nM). Right upper panels show the effects of co-expression of the amino terminal minigene (NH2 minigene) on the effects of PMA. The bar chart shows summary data, n=6–7. (b) Upper panels show sample traces for a given oocyte co-expressing P2X1 and mGluR1α receptors (left) or P2X1 receptors, mGluR1α receptors and the P2X1 receptor amino terminal minigene (right traces). Responses to a maximal concentration of ATP (100 μM, indicated by bar) are shown before and after the application of glutamate (100 μM). Glutamate evoked an inward calcium activated chloride current and potentiated subsequent ATP evoked responses. This potentiation was reduced by co-expression of the P2X1 receptor N-terminal minigene. The bar chart shows a summary of the data, n=6–7. ***p< 0.001.
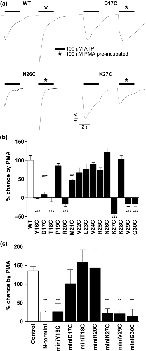
Fig. 3. The basic properties of cysteine points mutants of the P2X1 receptor N-terminal. (a) ATP (100 μM) evoked rapidly desensitising responses at WT P2X1 receptors. Desensitising responses were also recorded for the mutants Y16C, T18C and R20C however these were of reduced amplitude. For T18C an insert is provided showing at an increased scale the time-course of the ATP evoked response. (b) Peak current normalised traces showing the more rapid (V22C) and slower (D17C) rates of channel desensitisation of ATP evoked responses compared to WT. (c) Peak current amplitudes of WT and P2X1 receptor mutants to ATP (100 μM). ***p< 0.001. (d) Surface and total expression levels of WT and mutant P2X receptors with reduced peak current amplitudes.
Fig. 4. PMA potentiation can be abolished by cysteine substitution of amino terminal residues. (a) Sample traces of ATP evoked currents (100 μM application indicated by bar) from oocytes under control conditions and following PMA (100 nM) treatment for WT as well as the mutants D17C, N26C and K27C. (b) Summary of the percentage changes of peak amplitudes by PMA treatment for N-termini cysteine mutants. Cysteine mutants around the conserved PKC consensus site and next to the first transmembrane segment were no longer potentiated by PMA. (c) Effects of mutations of the minigene on PMA potentiation. **p< 0.01, ***p< 0.001.
Fig. 5. The effects of mGluR1α receptor activation on P2X1 receptor mutants. (a) Sample traces for a given oocyte co-expressing either WT P2X1, D17C or K27C mutant P2X1 receptor with mGluR1α receptors. Responses to a maximal concentration of ATP (100 μM, indicated by bar) are shown before and after the application of glutamate (dotted line). Glutamate (100 μM) evoked an inward calcium activated chloride current and potentiated subsequent ATP evoked responses for WT and D17C mutants but not for the K27C mutant P2X1 receptor. (b) The effects of mGluR1α receptor (100 μM glutamate) and PMA (100 nM) on WT and the cysteine mutants are shown (+++p< 0.001 comparing mGluR1 receptor regulation of mutants to WT, ***p< 0.001 for mutants treated with PMA compared to the WT effect). For most of the mutants unable to exhibit the PMA potentiation, no potentiation was seen following the activation of mGluR1α receptor. However, the mGluR1α receptor stimulated potentiation was still robust for the D17C and V29C mutants.
Fig. 6. The effects of PMA and mGluR1α receptor to R20 substitutions. (a) Example traces of R20C and R20A mutants in response to PMA (100 nM) or mGluR1α receptor stimulation (100 μM glutamate) are shown. Peak amplitudes from control and PMA treated oocytes are shown. In the lower panels ATP evoked currents before and after mGluR1α receptor activation from either R20C (left) or R20A (right) are shown. (b) Summary of effects of amino acid substitution at position R20 at the P2X1 receptor by cysteine, alanine or isoleucine on potentiation by PMA or glutamate. ***p< 0.001.
Adinolfi,
Tyrosine phosphorylation of HSP90 within the P2X7 receptor complex negatively regulates P2X7 receptors.
2003, Pubmed
Adinolfi,
Tyrosine phosphorylation of HSP90 within the P2X7 receptor complex negatively regulates P2X7 receptors.
2003,
Pubmed Ase,
Potentiation of P2X1 ATP-gated currents by 5-hydroxytryptamine 2A receptors involves diacylglycerol-dependent kinases and intracellular calcium.
2005,
Pubmed
,
Xenbase Boué-Grabot,
A protein kinase C site highly conserved in P2X subunits controls the desensitization kinetics of P2X(2) ATP-gated channels.
2000,
Pubmed
,
Xenbase Chaumont,
Identification of a trafficking motif involved in the stabilization and polarization of P2X receptors.
2004,
Pubmed Chung,
TRPV1 shows dynamic ionic selectivity during agonist stimulation.
2008,
Pubmed Del Gatto,
The exon sequence TAGG can inhibit splicing.
1996,
Pubmed Eickhorst,
Control of P2X(2) channel permeability by the cytosolic domain.
2002,
Pubmed
,
Xenbase Ennion,
P2X(1) receptor subunit contribution to gating revealed by a dominant negative PKC mutant.
2002,
Pubmed
,
Xenbase Ennion,
The role of positively charged amino acids in ATP recognition by human P2X(1) receptors.
2000,
Pubmed
,
Xenbase Evans,
Ionic permeability of, and divalent cation effects on, two ATP-gated cation channels (P2X receptors) expressed in mammalian cells.
1996,
Pubmed Fountain,
An intracellular P2X receptor required for osmoregulation in Dictyostelium discoideum.
2007,
Pubmed Franklin,
Lack of evidence for direct phosphorylation of recombinantly expressed P2X(2) and P2X (3) receptors by protein kinase C.
2007,
Pubmed
,
Xenbase Gschwendt,
Inhibition of protein kinase C mu by various inhibitors. Differentiation from protein kinase c isoenzymes.
1996,
Pubmed Hechler,
A role of the fast ATP-gated P2X1 cation channel in thrombosis of small arteries in vivo.
2003,
Pubmed Jiang,
Amino acid residues involved in gating identified in the first membrane-spanning domain of the rat P2X(2) receptor.
2001,
Pubmed Khakh,
Neuronal P2X transmitter-gated cation channels change their ion selectivity in seconds.
1999,
Pubmed Kunapuli,
ADP receptors--targets for developing antithrombotic agents.
2003,
Pubmed Lalo,
P2X1 and P2X5 subunits form the functional P2X receptor in mouse cortical astrocytes.
2008,
Pubmed Liu,
P2X1 receptor currents after disruption of the PKC site and its surroundings by dominant negative mutations in HEK293 cells.
2003,
Pubmed Martiny-Baron,
Selective inhibition of protein kinase C isozymes by the indolocarbazole Gö 6976.
1993,
Pubmed Masin,
Fe65 interacts with P2X2 subunits at excitatory synapses and modulates receptor function.
2006,
Pubmed North,
Molecular physiology of P2X receptors.
2002,
Pubmed Paukert,
Inflammatory mediators potentiate ATP-gated channels through the P2X(3) subunit.
2001,
Pubmed
,
Xenbase Ralevic,
Receptors for purines and pyrimidines.
1998,
Pubmed Roberts,
Molecular properties of P2X receptors.
2006,
Pubmed Roberts,
Cysteine substitution mutants give structural insight and identify ATP binding and activation sites at P2X receptors.
2007,
Pubmed
,
Xenbase Sage,
The roles of P(2X1)and P(2T AC)receptors in ADP-evoked calcium signalling in human platelets.
2000,
Pubmed Scase,
Identification of a P2X1 purinoceptor expressed on human platelets.
1998,
Pubmed Valera,
A new class of ligand-gated ion channel defined by P2x receptor for extracellular ATP.
1994,
Pubmed
,
Xenbase Vial,
G-protein-coupled receptor regulation of P2X1 receptors does not involve direct channel phosphorylation.
2004,
Pubmed
,
Xenbase Virginio,
Pore dilation of neuronal P2X receptor channels.
1999,
Pubmed Watano,
P2X receptor subtype-specific modulation of excitatory and inhibitory synaptic inputs in the rat brainstem.
2004,
Pubmed Wu,
patS minigenes inhibit heterocyst development of Anabaena sp. strain PCC 7120.
2004,
Pubmed