|
Figure 1. xClock, xBmal1 and xNocturnin are expressed as maternal messages before zygotic expression is observed at stage 24.
Shown are northern blots performed on RNA isolated from whole embryos at the indicated stages in 12L:12D cycle. Three micrograms of total RNA was loaded into each lane. 28S RNA was used as a loading control. |
|
Figure 2. xPer1 is expressed from neural plate to late tailbud stages.
Shown are in situ hybridization results depicting expression of xPer1 mRNA. Panels A, B, D, and F show dorsal views of the embryos and panels C and E show side views of the embryos. All whole mount embryos (as well as panel I) are oriented with the anterior facing left. Dorsal is toward the top in all images. A and B show neural plate staining at stage 15/16 and stage 18, respectively. Red arrows denote posterior mesoderm staining (A). C and D show a neural tube stage embryo on the bottom (stage 22) and an early tailbud stage embryo on top (stage 33). The black arrow denotes eye expression and the red arrowhead shows somite staining. C and D also show xPer1 expression in the CNS and posterior mesoderm (red arrow), as well as the otic vesicle (C, black arrowhead). Panels E and F depict xPer1 expression in the CNS, somites (red arrowhead), otic vesicle (black arrowhead), pronephric tubules (green arrow) and posterior mesoderm (red arrow) in a late tailbud stage embryo. Panels G show sections of late tailbud embryos (G and J are transverse sections and I is a sagittal section). G shows expression in the neural tube, retina, lens, and pineal gland (orange arrowhead). H shows expression in the notochord (orange arrow) and the somites (red arrowhead). In panel I, the olfactory pit (green arrowhead), otic vesicle (black arrowhead), heart (blue arrowhead) and pronephros (green arrow) were stained. Panel J shows olfactory pit staining (green arrowhead). Panel K shows posterior mesoderm staining in the tail tip (red arrowhead).
|
|
Figure 3. xPer2 is expressed from neural plate to late tailbud stages.
Shown are in situ hybridization results depicting expression of xPer2 mRNA. Panels A, B, D, and F show a dorsal view of each embryo. Panels C and E show side views. All embryos are oriented with the anterior to the left. G show transverse sections and J shows a sagittal section of late tailbud stage embryos. Sections shown in G, H, and J are oriented with the dorsal side at the top right of the panel. Neural plate staining is shown in panel A (stage 16) and B (stage 18). C and D depict early tailbud embryos with continued expression in the CNS as well as in the eye (black arrow), otic vesicle (black arrowhead), cement gland (blue arrow) and somites (red arrowheads). In late tailbud embryos (E and F), xPer2 is expressed in the otic vesicle (E,I, black arrowhead), pineal (F,G, orange arrowhead), brain, retina, lens (G), and olfactory pit (I, green arrowhead), although cement gland staining was lost (E, blue arrow). xPer2 was also present at low levels in the heart (H, blue arrowhead) and notochord (J, orange arrow). J also shows somite staining (red arrowheads). |
|
Figure 4. xBmal1 is expressed from neural plate to late tailbud stages.
Shown are in situ hybridization results depicting expression of xBmal1 mRNA. All embryos are oriented with the anterior to the left in all panels except A and D. Panel A shows the embryo from the anterior, but slightly angled to one side. D shows an anterior view. Panels C, F, H and J show side views of the embryos. Panels B, E G, and I show dorsal views of the embryos. Panels K and O show transverse sections and panel N shows a sagittal section of late tailbud embryos. Panel A and B depict a stage 18 embryo with xBmal1 staining in the neural plate and cement gland (blue arrow). C show stage 23 (neural tube stage) embryos with expression in the eye (black arrow), cement gland (blue arrow), and somites (red arrowhead). F show early (F) and late (H) tailbud stages where xBmal1 is expressed in the eye, pineal (orange arrowhead), otic vesicle (black arrowhead), somites (red arrowhead) and the pronephric tubules and duct (green arrows). Cement gland staining was lost (blue arrow). K and L show expression in the brain, retina/lens, pineal (orange arrowhead), and absence of staining in the cement gland (blue arrow). M show expression in the olfactory pit (green arrowhead), otic vesicle (black arrowhead), pronephric tubules (green arrow), heart (blue arrowhead), somites (red arrowhead), and notochord (orange arrow). No expression was seen using a sense probe specific to xBmal1 (J). |
|
Figure 5. xNocturnin [ccrn4l] is expressed from neural plate to late tailbud stages.
Shown are in situ hybridization results depicting expression of xNocturnin mRNA. All embryos in this figure are shown with the anterior facing left. Side views of the embryos are depicted in panels A,C,E,G,I, and K and dorsal views in panels B,D,F, H, and J. Low levels of xNocturnin were first detected in the neural plate of stage 15/16 embryos A and B. C and D show neural plate staining in a stage 18 embryo. E and F show a neural tube stage embryo (stage 24) with xNocturnin expression in the eyes (black arrow), somites (red arrowhead), and cement gland (blue arrow). G and H show early tailbud stage embryos with staining in the otic vesicle (black arrowhead), pronephric tubules (green arrow), heart (blue arrowhead), olfactory pit (green arrowhead), pineal (orange arrowhead), cement gland (blue arrow) and somites (red arrowhead). Late tailbud stages (I and J; stage 39) show similar results but additional staining in the anus/blastopore (brown arrow) and cement gland staining is absent (blue arrow). Sagittal (L) and transverse sections (M) of late tailbud embryos confirm xNocturnin expression in the brain, retina and lens (M), otic vesicle (N, black arrowhead), olfactory pit (L, green arrow), pronephric tubules (N, green arrow), heart (M, blue arrowhead), notochord (O, orange arrow) and in the somites (O, red arrowheads). xNocturnin is absent from the cement gland at late tailbud stages (L, blue arrow). No expression was seen using a sense probe specific to Nocturnin (K). |
|
Figure 6. A comparison of somite staining in the posterior of late tailbud embryos (stage 368).
Shown are in situ hybridization results depicting RNA expression in paired whole mount and sagittal sections of the posterior of embryos stained with xPer1 (A), xPer2 (C), xBmal1 (E), and Nocturnin (G). |
|
per 1 (period circadian clock 1) gene expression in Xenopus laevis embryo, assayed via in situ hybridization, NF stage 18, dorsal view, anterior left.
|
|
per 1 (period circadian clock 1) gene expression in Xenopus laevis embryo, assayed via in situ hybridization, NF stage 22, lateral view, anterior left, dorsal up.
|
|
per 1 (period circadian clock 1) gene expression in Xenopus laevis embryo, assayed via in situ hybridization, NF stage 28, lateral view, anterior left, dorsal up.
|
|
|
|
per2 (period circadian clock 2) gene expression in Xenopus laevis embryo, assayed via in situ hybridization, NF stage 27, lateral view, anterior left, dorsal up.
|
|
per2 (period circadian clock 2) gene expression in Xenopus laevis embryo, assayed via in situ hybridization, NF stage 27, dorsal view, anterior left.
|
|
|
|
|
|
Figure 7. A temporal summary of the expression patterns of xPer1, xPer2, xBmal1, and Nocturnin.The approximate stages of development are represented on the horizontal axis of this figure while the particular tissues and organs are listed on the vertical axis. xPer1 is represented by the blue lines, xPer2 by the green lines, xBmal1 by the red lines, and Nocturnin by the black lines. Dotted lines indicate times during development when a gene may be present, but was not confirmed through sectioning or additional whole mount in situ analysis. |
|
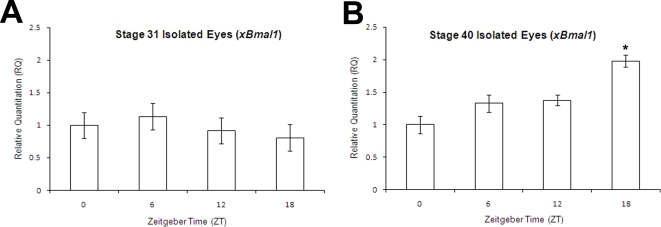
Figure 8. Isolated eyes show rhythmic expression of xBmal1 at stage 40 but not at stage 31.Eyes were dissected from embryos maintained in a 12L:12D cycle at different stages of development and different circadian times (ZT 0 (dawn), ZT6 (mid-day), ZT12 (dusk),and ZT18 (midnight)). The eyes were analyzed by qRT-PCR. The relative quantitation (RQ) of xBmal1 for each sample was calculated with respect to EF1α. No difference in the levels of xBmal1 expression was observed in stage 31 embryonic eyes at any time of day tested (ANOVA; df3, F = 1.77, p = 0.176; arrhythmic). A significant difference in xBmal1 expression was observed when all ZTs were analyzed in stage 40 embryonic eyes (ANOVA; df3, F12.23, p = 0.00009). The asterisk shows that the level of xBmal1 expression at ZT18 was significantly different from ZT0 (ANOVA, df1, F = 27.82, p = 0.0004). Bars in each graph denote standard error. |