|
Fig. 1.
(A-F) Axonal outgrowth from freshly dissected (A,C,E) and in-vitro conditioned (B,D,F) PN-DRG. In vitro conditioned PN-DRG show enhanced BDNF-induced axonal outgrowth in the presence or absence of ActD. After 3 days in collagen gels, freshly dissected PN-DRG show limited axonal growth (A) that is markedly increased by BDNF (C) but not in the presence of ActD (E). In vitro conditioned preparations show slightly increased axonal outgrowth (B) that is greatly enhanced by BDNF (D), even in the presence of ActD (F). Note that not all axons are within the plane of focus. Scale bar: 200 μm. |
|
Fig. 2.
Transcriptional dependence of axonal growth. (A) Mean axonal outgrowth distances from freshly dissected and in vitro conditioned PN-DRG in collagen gels after 3 days, in response to BDNF in the presence or absence of ActD. Conditioned PN-DRG show enhancement of both spontaneous and BNDF-induced axonal growth. ActD inhibits BDNF-induced axonal outgrowth from freshly dissected preparations but not from conditioned preparations. (B) Effects of prior incubation with α-AM on subsequent BDNF-induced axonal outgrowth in the presence or absence of ActD. Preparations were incubated (free-floating) for 4 days with α-AM present on day 1, day 4 or not at all, prior to culturing in collagen gels for 3 days with or without BDNF. Incubation with α-AM on day 1 strongly inhibits subsequent BDNF-induced axonal outgrowth in collagen gels, but incubation with α-AM on day 4 does not. |
|
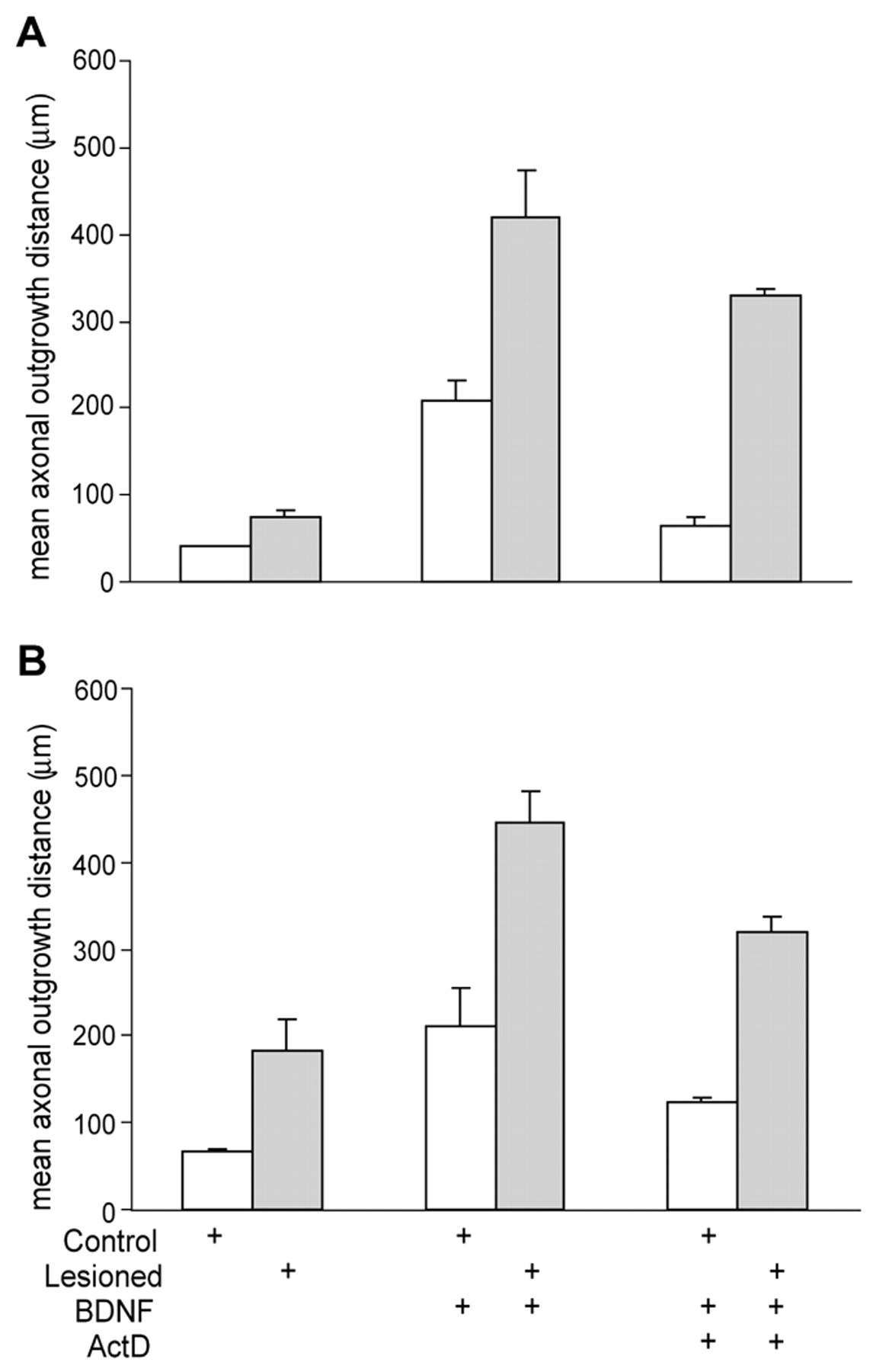
Fig. 3.
In vivo conditioned PN-DRG show enhanced BDNF-induced axonal outgrowth in the presence or absence of ActD. (A,B) Mean axonal outgrowth distances from (A) 3-day or (B) 5-day in vivo conditioned PN-DRG (hatched bars) and contralateral controls (open bars) after 3 days in collagen gels. BDNF enhances axonal outgrowth from control PN-DRG, but this response is greatly reduced by ActD. In vivo conditioned preparations show enhanced spontaneous and BDNF-induced axonal growth, even in the presence of ActD. |
|
Fig. 4.
Validation of microarray data using qPCR. Analysis of mRNAs isolated from freshly dissected and 3-day in vitro conditioned DRG using qPCR. The level of expression for each gene in cultured DRG is normalized to that in freshly dissected DRG in each case. |
|
Fig. 5.
AG490 inhibits axonal growth in freshly dissected and in vitro conditioned PN-DRG. (A) Incubation of PN-DRG with AG490 (50 μM) for 3 days significantly reduced subsequent BDNF-induced axonal outgrowth in the presence or absence of ActD (P<0.001 or P<0.005, respectively). (B) However, BDNF-induced axonal outgrowth from both freshly dissected and conditioned preparations was also strongly inhibited in the presence of AG490 at concentrations as low as 2 μM (mean values from two pooled experiments). |
|
Fig. 6.
In vitro conditioning is impaired by inhibition of protein synthesis in the peripheral nerve. PN-DRG were incubated for 3 days in compartmentalized culture dishes, with the end of the peripheral nerve in the inner compartment (with or without CHX), prior to culturing the DRG and proximal part of the peripheral nerve (which had not been exposed to CHX) in collagen gels with BDNF (with or without ActD). Protein synthesis inhibition in the peripheral nerve significantly reduced subsequent BDNF-induced axonal outgrowth in the presence of ActD. |
|
Fig. 7.
Retrograde axonal transport of proteins in vitro. (A,B) Representative 2-DE separation of proteins from DRG after culture in compartmentalized culture dishes with the end of the peripheral nerve incubated with [35S]methionine-[35S]cysteine for 2 days. In the autoradiograph of the gel shown in A, up to 100 radioactive spots are visible, of which â¼35 (arrows) were also seen in autoradiographs of gels from other experiments. The silver-stained gel in B showns many more spots, of which only a small subset correspond to those on the autoradiograph (arrows). |
|
Fig. 8.
Isolated axon preparations. (A-D) BDNF-stimulated axonal growth, visualized by Calcein Orange-Red fluorescence (A) is associated with migrating cells whose nuclei are labeled by DAPI (B). Axons that have extended through a Nuclepore membrane (C) are devoid of migrating cells (D). The bright foci that are visible in C represent localized thickenings of axons, not cells, as shown by the absence of DAPI labeling in D. Scale bar, 100 μm. |
|
Fig. 9.
Absence of cellular contamination of axonal RNA samples. Agarose gel stained with ethidium bromide. A strong signal for GATA2 genomic sequence is seen in the DRG samples only. By contrast, Trx can readily be detected in cDNA prepared from both DRG and axonal samples (+RT). The predicted sizes for GATA2 and Trx amplicons are 216 bp and 226 bp, respectively. No products were amplified when reverse transcriptase was omitted from the reactions (â). Lanes at the edges of the figure represent HpaII-digested Bluescript vector as a size marker. |
|
Fig. 10.
Detection of axonal mRNAs by RT-PCR. Seven representative retrogradely transported axonal proteins that comprise elongation-initiation factor 4A (eIF4A), elongation-initiation factor 5A (eIF5A), Trx, vimentin 4 (Vim4), β-tubulin at 56 D (betaTub56D), calpactin 1 light chain (AnxA2), and dynein light chain 1 (Dlc1) were selected to determine whether their corresponding transcripts were present in axonal RNA extracts using primers described in Table 1. The predicted sizes of the amplified products of these cDNAs are 175, 163, 226, 150, 163, 200 and 223 bp respectively. Although there is variability in the levels of each of the amplicons, expression can be seen in each case (+). No products were amplified when reverse transcriptase was omitted from the reactions (â). M, HpaII-digested Bluescript vector as a size marker. |
|
Fig. 11.
The in vitro conditioning effect on axonal growth is blocked by cyclopentenone prostaglandins. (A,B) PN-DRG were incubated for 4 days (free-floating) with either PGA1 (A) or 15d-PGJ2 (B) present on day 1, day 4 or not present prior to incubation in gels for 3 days with BDNF. Incubation with the prostaglandins on day 1 strongly inhibited subsequent BDNF-induced axonal growth (in the presence or absence of ActD), but not if added on day 4. |
|
Fig. 12.
MO targeting Trx reduces neurite outgrowth from dissociated DRG neurons. (A-H), dissociated DRG neurons nucleofected with carboxyfluorescein-labelled β-globin MO. Images shown in A, B or C represent the same field of cells viewed using FITC, TRITC filters or phase contrast, respectively. (A) Most of the cells are carboxyfluorescein-positive and, although signal has preferentially accumulated in the nucleus, extensive fluorescence is also associated with the cytoplasm. (B) Non-specific labelling with TRITC-conjugated anti-rabbit IgG (in the absence of primary antibody), serving as a control for (D) which is immunostained for Trx. (E) is a phase-contrast image of (D). (F), β-globin MO nucleoporated DRG neurons immunostained for Trx. (G,H), lower magnification images labelled with Calcein of freshly dissected (G) or conditioned (H) DRG neurons. (I-K) Images equivalent to those shown in F-H, but neurons were electroporated with a Trx MO. Note that immunofluorescence of Trx is reduced in the Trx MO-treated neurons and also that in this latter case the extent of neurite outgrowth is significantly reduced in freshly dissociated (but not conditioned) neurons. Scale bars, 50 μm. Magnifications of A-F and I, G and J, H and K are identical. |