XB-ART-36971
BMC Dev Biol
2007 May 31;7:139. doi: 10.1186/1471-213X-7-139.
Show Gene links
Show Anatomy links
Identification of a novel conserved mixed-isoform B56 regulatory subunit and spatiotemporal regulation of protein phosphatase 2A during Xenopus laevis development.
???displayArticle.abstract???
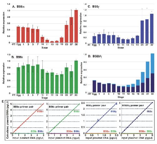
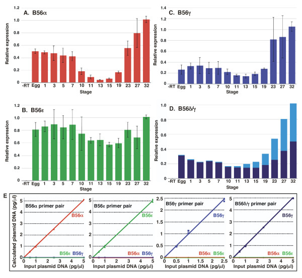
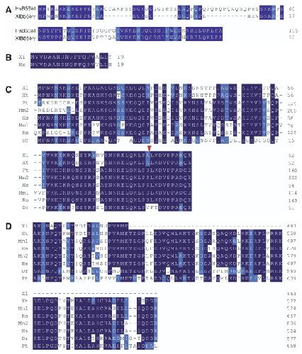
Wnt signaling is a key regulator of development and tumorigenesis. Protein phosphatase 2A (PP2A), which consists of a catalytic C, a structural A, and a regulatory B subunit, plays diverse roles in Wnt signaling through its B56 subunits. B56 is a multigene family encoding for proteins with a conserved core domain and divergent amino- and carboxy-termini. Ectopic B56alpha and B56gamma reduce beta-catenin abundance and B56alpha reduces Wnt-dependent transcription, suggesting that B56alpha and B56gamma inhibit Wnt signaling. In contrast, B56epsilon is required for Wnt signaling. Knowledge of where and when B56 subunits are expressed during Xenopus development will aid in our understanding of their roles in Wnt signaling. We have undertaken expression analyses of B56alpha and B56gamma in Xenopus laevis. We cloned Xenopus B56alpha; it is 88% identical to human B56alpha. Xenopus B56gamma is 94% identical with human B56gamma, however, a novel evolutionarily conserved mixed-isoform transcript was identified that contains a B56delta-like amino-terminal domain and a B56gamma core domain. The B56delta-like variable domain exon is located upstream of the B56gamma variable domain exon at the human B56gamma locus, suggesting that the mixed-isoform transcript is due to alternative splicing. B56gamma transcripts with different 3' ends were identified that lack or possess a 35 base pair sequence, resulting in either a transcript similar to human B56gamma1, or an uncharacterized evolutionarily conserved sequence. Real time RT-PCR analyses revealed that B56alpha is expressed at moderate levels before the midblastula transition (MBT), at reduced levels during gastrulation and neurulation, and at high levels during organogenesis, while B56gamma is expressed at low levels until organogenesis. B56alpha is enriched in the ventral hemisphere pre-MBT, while B56gamma is ventrally enriched post-MBT. Aalpha, Abeta, Calpha and Cbeta are expressed in early Xenopus development, suggesting the presence of a functional heterotrimer. Our data suggest that B56 functional diversity is achieved in part through the synthesis of a novel mixed-isoform B56delta/gamma transcript. Our data also suggest that B56alpha functions pre-MBT, inhibiting Wnt signaling on the ventral side of the embryo, and again during organogenesis, while B56gamma functions primarily post-MBT.
???displayArticle.pubmedLink??? 18093315
???displayArticle.pmcLink??? PMC2257934
???displayArticle.link??? BMC Dev Biol
Species referenced: Xenopus laevis
Genes referenced: gdf1 nodal6 odc1 pnma2 ptpa
???attribute.lit??? ???displayArticles.show???
References [+] :
Amit,
Axin-mediated CKI phosphorylation of beta-catenin at Ser 45: a molecular switch for the Wnt pathway.
2002, Pubmed
