Click here to close
Hello! We notice that you are using Internet Explorer, which is not supported by Xenbase and may cause the site to display incorrectly.
We suggest using a current version of Chrome,
FireFox, or Safari.
Int J Biochem Cell Biol
2008 Jan 01;404:721-30. doi: 10.1016/j.biocel.2007.10.010.
Show Gene links
Show Anatomy links
Site-directed mutagenesis of Arginine282 suggests how protons and peptides are co-transported by rabbit PepT1.
Pieri M, Hall D, Price R, Bailey P, Meredith D.
???displayArticle.abstract???
The mammalian proton-coupled peptide transporter PepT1 is the major route of uptake for dietary nitrogen, as well as the oral absorption of a number of drugs, including beta-lactam antibiotics and angiotensin-converting enzyme inhibitors. Here we have used site-directed mutagenesis to investigate further the role of conserved charged residues in transmembrane domains. Mutation of rabbit PepT1 arginine282 (R282, transmembrane domain 7) to a positive (R282K) or physiologically titratable residue (R282H), resulted in a transporter with wild-type characteristics when expressed in Xenopus laevis oocytes. Neutral (R282A, R282Q) or negatively charged (R282D, R282E) substitutions gave a transporter that was not stimulated by external acidification (reducing pH(out) from 7.4 to 5.5) but transported at the same rate as the wild-type maximal rate (pH(out) 5.5); however, only the R282E mutation was unable to concentrate substrate above the extracellular level. All of the R282 mutants showed trans-stimulation of efflux comparable to the wild-type, except R282E-PepT1 which was faster. A conserved negatively charged residue, aspartate341 (D341) in transmembrane domain 8 was implicated in forming a charge pair with R282, as R282E/D341R- and R282D/D341R-PepT1 had wild-type transporter characteristics. Despite their differences in ability to accumulate substrate, both R282E- and R282D-PepT1 showed an increased charge:peptide stoichiometry over the wild-type 1:1 ratio for the neutral dipeptide Gly-l-Gln, measured using two-electrode voltage clamp. This extra charge movement was linked to substrate transport, as 4-aminobenzoic acid, which binds but is not translocated, did not induce membrane potential depolarisation in R282E-expressing oocytes. A model is proposed for the substrate binding/translocation process in PepT1.
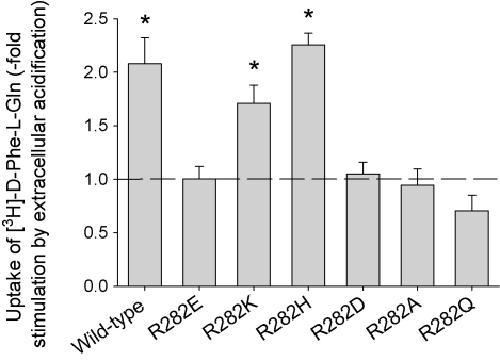
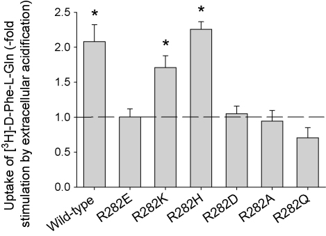
Fig. 1. pH dependence of initial rate [3H]-d-Phe-l-Gln uptake by Xenopus oocytes expressing R282 mutants of rabbit PepT1, expressed as -fold stimulation by extracellular acidification (pHout 7.4 to 5.5), the dotted line showing where there is no stimulation (n ≥ 3 oocyte preparations with at least 5 oocytes per data point for each, except for R282Q-PepT1 where n = 2; *p < 0.05 for stimulation by external acidification, one-way ANOVA).
Fig. 2. Inhibition of [3H]-d-Phe-l-Gln uptake by increasing concentrations of Gly-l-Gln (0–1 mM) into Xenopus oocytes expressing either the various R282 mutants or wild-type PepT1 at pHout 5.5. Ki values were wild-type PepT1 0.39 ± 0.22, R282E 0.35 ± 0.17, R282K 0.48 ± 0.26, R282D 0.34 ± 0.27, R282A 0.30 ± 0.17, R282Q 0.46 ± 0.22 and R282H 0.30 ± 0.15 mM. n = 5 oocytes per data point.
Fig. 3. Accumulation of [3H]-d-Phe-l-Gln above the extracellular concentration by Xenopus oocytes expressing R282 mutants of rabbit PepT1. Fig. 3a and b shows representative time-course experiments at pHout 5.5 and 7.4, respectively. Fig. 3c and d shows the accumulation ratios at pHout 5.5 and 7.4 after 8 h incubation, respectively. The dotted line represents the equilibrium value if the volume of an oocyte is assumed to be 1 μl (*p < 0.05, one-way ANOVA). For R282E-PepT1 at pHout 7.4, the same level of accumulation was reached after 24 h incubation (2.3 ± 0.4-fold, p > 0.05, one-way ANOVA, n = 5 oocyte preparations with 5 oocytes per data point for each) as for the wild-type and the other mutants (see Section 3 for further details). NI = non-injected control oocytes.
Fig. 4. Efflux of intracellular [3H]-d-Phe-l-Gln in the presence of 5 mM Gly-l-Gln expressed as a fraction of that seen in the absence of trans-stimulant for non-injected control oocytes (NI), wild-type and R282 mutant PepT1 expressing Xenopus oocytes. Efflux by R282E-PepT1 at 30 min was significantly faster than for the wild-type and other R282 mutant PepT1s (*p < 0.05, one-way ANOVA), whilst efflux from all of the PepT1 expressing oocytes was faster than that for non-injected. After 60 min, the effluxes from all the PepT1 expressing oocytes were not significantly different, whilst significantly faster than for non-injected controls (p < 0.05, one-way ANOVA). n = 5 oocytes per data point.
Fig. 5. Representative trace of membrane potential from an oocyte expressing wild-type PepT1 (Fig. 5a) or R282E-PepT1 (Fig. 5b) in the absence or presence of Gly-l-Gln, d-Phe-l-Gln and 4-AMBA (0.6 mM, 0.4 μM and 10 mM respectively, for 1 min each), at pHout 5.5. Non-injected control oocytes showed no response (data not shown), with similar responses seen for at least 3 oocytes.
Fig. 6. Charge:peptide stoichiometry of uptake of Gly-l-Gln in Xenopus oocytes expressing R282E-, R282D- or R282A-PepT1, normalised to that of the wild-type PepT1 being 1:1 as previously reported (Fei et al., 1994; Steel et al., 1997). The average error on the current measurements was 13 ± 3.8% (n = 3 oocytes per mutant) and on the uptakes 4.4 ± 0.7% (n = 5 oocytes per mutant); the error bars on the figure represent the extremes of the stoichiometry that would be calculated using these error values.
Fig. 7. pH dependence of initial rate [3H]-d-Phe-l-Gln uptake into oocytes expressing wild-type, R282E-, D341R-, R282E/D341R- and R282D/D341R-PepT1 expressed as -fold stimulation by extracellular acidification (pHout 7.4–5.5), the dotted line showing where there is no stimulation (*p < 0.05 for the -fold stimulation being greater than one, one-way ANOVA, n ≥ 3 oocyte preparations).
Fig. 8. Protection of PepT1 from diethylpyrocarbonate (DEPC) inhibition (1 mM, 15 min incubation) by Gly-l-Gln (GlyGln), N-Acetyl-Phe (AcPhe) and l-Ala-Tyramine, but not Tyr (all present at 5 mM during DEPC incubation period). [3H]-d-Phe-l-Gln uptake was measured over 1 h. *p < 0.05 when compared to wild-type PepT1 (one-way ANOVA, 5 oocytes per data point, n = 3 oocyte preparations). NI = non-injected control oocytes.
Fig. 9. Model for PepT1 substrate binding and translocation. Arrows represent salt bridges or hydrogen bonds between residues.
Bailey,
How to Make Drugs Orally Active: A Substrate Template for Peptide Transporter PepT1.
2000, Pubmed
Bailey,
How to Make Drugs Orally Active: A Substrate Template for Peptide Transporter PepT1.
2000,
Pubmed Bailey,
Affinity prediction for substrates of the peptide transporter PepT1.
2006,
Pubmed Biegel,
Three-dimensional quantitative structure-activity relationship analyses of beta-lactam antibiotics and tripeptides as substrates of the mammalian H+/peptide cotransporter PEPT1.
2005,
Pubmed Bolger,
Structure, function, and molecular modeling approaches to the study of the intestinal dipeptide transporter PepT1.
1998,
Pubmed Covitz,
Membrane topology of the human dipeptide transporter, hPEPT1, determined by epitope insertions.
1998,
Pubmed Daniel,
The proton oligopeptide cotransporter family SLC15 in physiology and pharmacology.
2004,
Pubmed Darcel,
Activation of vagal afferents in the rat duodenum by protein digests requires PepT1.
2005,
Pubmed Deves,
The determination of kinetic parameters for carrier-mediated transport of non-labelled substrate analogues: a general method applied to the study of divalent anion transport in placental membrane vesicles.
1989,
Pubmed Fei,
Expression cloning of a mammalian proton-coupled oligopeptide transporter.
1994,
Pubmed
,
Xenbase Kulkarni,
A charge pair interaction between Arg282 in transmembrane segment 7 and Asp341 in transmembrane segment 8 of hPepT1.
2007,
Pubmed Meredith,
4-aminomethylbenzoic acid is a non-translocated competitive inhibitor of the epithelial peptide transporter PepT1.
1998,
Pubmed
,
Xenbase Meredith,
Site-directed mutation of arginine 282 to glutamate uncouples the movement of peptides and protons by the rabbit proton-peptide cotransporter PepT1.
2004,
Pubmed
,
Xenbase Meredith,
Oligopeptide transport by epithelial cells.
1995,
Pubmed Meredith,
Structure and function of eukaryotic peptide transporters.
2000,
Pubmed Meredith,
Modified amino acids and peptides as substrates for the intestinal peptide transporter PepT1.
2000,
Pubmed
,
Xenbase Panitsas,
Evidence that the rabbit proton-peptide co-transporter PepT1 is a multimer when expressed in Xenopus laevis oocytes.
2006,
Pubmed
,
Xenbase Petersen,
Capacitative calcium entry is colocalised with calcium release in Xenopus oocytes: evidence against a highly diffusible calcium influx factor.
1996,
Pubmed
,
Xenbase Steel,
Stoichiometry and pH dependence of the rabbit proton-dependent oligopeptide transporter PepT1.
1997,
Pubmed
,
Xenbase Temple,
Proton-coupled oligopeptide transport by rat renal cortical brush border membrane vesicles: a functional analysis using ACE inhibitors to determine the isoform of the transporter.
1998,
Pubmed
,
Xenbase Temple,
A model for the kinetics of neutral and anionic dipeptide-proton cotransport by the apical membrane of rat kidney cortex.
1996,
Pubmed Terada,
Peptide transporters: structure, function, regulation and application for drug delivery.
2004,
Pubmed Terada,
Interaction of beta-lactam antibiotics with histidine residue of rat H+/peptide cotransporters, PEPT1 and PEPT2.
1998,
Pubmed Tishmack,
Use of 1H NMR spectroscopy and computer simulations To analyze histidine pKa changes in a protein tyrosine phosphatase: experimental and theoretical determination of electrostatic properties in a small protein.
1997,
Pubmed Uchiyama,
Biophysical evidence for His57 as a proton-binding site in the mammalian intestinal transporter hPepT1.
2003,
Pubmed
,
Xenbase Yao,
Calcium current activated by depletion of calcium stores in Xenopus oocytes.
1997,
Pubmed
,
Xenbase Yeung,
Molecular identification of a role for tyrosine 167 in the function of the human intestinal proton- coupled dipeptide transporter (hPepT1).
1998,
Pubmed