Click here to close
Hello! We notice that you are using Internet Explorer, which is not supported by Xenbase and may cause the site to display incorrectly.
We suggest using a current version of Chrome,
FireFox, or Safari.
???displayArticle.abstract???
Real-time PCR tomography is a novel, quantitative method for measuring localized RNA expression profiles within single cells. We demonstrate its usefulness by dissecting an oocyte from Xenopus laevis into slices along its animal-vegetal axis, extracting its RNA and measuring the levels of 18 selected mRNAs by real-time RT-PCR. This identified two classes of mRNA, one preferentially located towards the animal, the other towards the vegetal pole. mRNAs within each group show comparable intracellular gradients, suggesting they are produced by similar mechanisms. The polarization is substantial, though not extreme, with around 5% of vegetal gene mRNA molecules detected at the animal pole, and around 50% of the molecules in the far most vegetal section. Most animal pole mRNAs were found in the second section from the animal pole and in the central section, which is where the nucleus is located. mRNA expression profiles did not change following in vitro fertilization and we conclude that the cortical rotation that follows fertilization has no detectable effect on intracellular mRNA gradients.
Figure 1. Photographs showing the process of preparing material for real-time PCR tomography. (A) The Xenopus laevis oocyte imbedded in OCT is mounted in a cryostat. (B) The material is sliced for subsequent analysis by real-time RT-PCR.
Figure 2. Intracellular gradients (A→V) of mRNA levels in Xenopus laevis oocytes. Distribution of (A) Vg1 and (B) Oct60 expression density along the oocyte animal–vegetal axis. The RNA was prepared from two to three individual eggs (standard error of the means indicated by error bars) from four different females (indicated by regular bars). Effect of fertilization. Distribution of (C) Vg1 and (D) Oct60 along the animal–vegetal axis. RNA was prepared from at least six eggs before IVF and at 20, 50 and 85 min after fertilization. Error bars indicate standard error of the means.
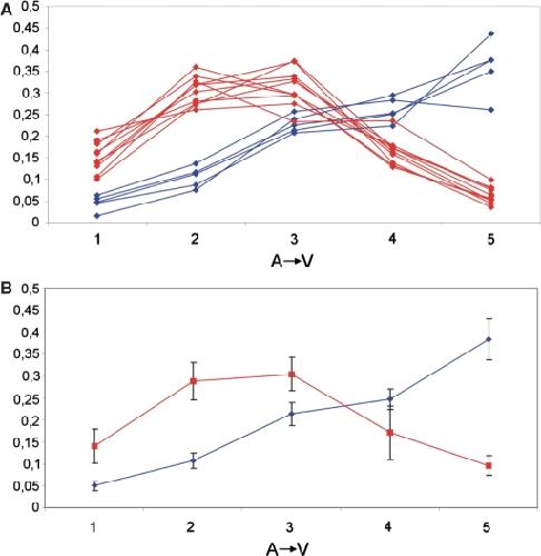
Figure 3. (A) Averaged intracellular mRNA concentration profiles (AâV) for genes studied in at least six eggs. Animal genes (FoxH1, Oct60, GSK-3β, dishevelled, EF-1alpha, Xmam, Tcf-3, GAPDH, β-catenin and XPar-1) are shown in red and vegetal genes (VegT, Vg1, Xdazl, Wnt11 and Otx1) are shown in blue. (B) Average expression profiles of all vegetal (red) and all animal (blue) genes. The error bars indicate 1 SD.
Figure 4. Digital PCR of Wnt11 and Oct60 showing abundance of transcripts in the five oocyte segments (A→V). mRNA from each segment was distributed into 765 chambers that were analyzed by RT-PCR. Red indicates positive PCR for targeted product.
Bengtsson,
Gene expression profiling in single cells from the pancreatic islets of Langerhans reveals lognormal distribution of mRNA levels.
2005, Pubmed
Bengtsson,
Gene expression profiling in single cells from the pancreatic islets of Langerhans reveals lognormal distribution of mRNA levels.
2005,
Pubmed Chang,
Organisation of Xenopus oocyte and egg cortices.
1999,
Pubmed
,
Xenbase Danilchik,
Differentiation of the animal-vegetal axis in Xenopus laevis oocytes. I. Polarized intracellular translocation of platelets establishes the yolk gradient.
1987,
Pubmed
,
Xenbase Gerhart,
Cortical rotation of the Xenopus egg: consequences for the anteroposterior pattern of embryonic dorsal development.
1989,
Pubmed
,
Xenbase Gerhart,
Localization and induction in early development of Xenopus.
1984,
Pubmed
,
Xenbase Heasman,
Beta-catenin signaling activity dissected in the early Xenopus embryo: a novel antisense approach.
2000,
Pubmed
,
Xenbase Heasman,
Maternal determinants of embryonic cell fate.
2006,
Pubmed
,
Xenbase King,
Putting RNAs in the right place at the right time: RNA localization in the frog oocyte.
2005,
Pubmed
,
Xenbase Kubista,
The real-time polymerase chain reaction.
2006,
Pubmed
,
Xenbase MacArthur,
DEADSouth is a germ plasm specific DEAD-box RNA helicase in Xenopus related to eIF4A.
2000,
Pubmed
,
Xenbase MacArthur,
Xcat2 RNA is a translationally sequestered germ plasm component in Xenopus.
1999,
Pubmed
,
Xenbase Mowry,
RNA sorting in Xenopus oocytes and embryos.
1999,
Pubmed
,
Xenbase Nolan,
Quantification of mRNA using real-time RT-PCR.
2006,
Pubmed Ossipova,
Molecular cloning and developmental expression of Par-1/MARK homologues XPar-1A and XPar-1B from Xenopus laevis.
2002,
Pubmed
,
Xenbase Shav-Tal,
RNA localization.
2005,
Pubmed
,
Xenbase Sindelka,
Developmental expression profiles of Xenopus laevis reference genes.
2006,
Pubmed
,
Xenbase Ståhlberg,
Comparison of reverse transcriptases in gene expression analysis.
2004,
Pubmed Vincent,
Subcortical rotation in Xenopus eggs: an early step in embryonic axis specification.
1987,
Pubmed
,
Xenbase Wylie,
Maternal beta-catenin establishes a 'dorsal signal' in early Xenopus embryos.
1996,
Pubmed
,
Xenbase Zhou,
Sending RNAs into the future: RNA localization and germ cell fate.
2004,
Pubmed
,
Xenbase