Click here to close
Hello! We notice that you are using Internet Explorer, which is not supported by Xenbase and may cause the site to display incorrectly.
We suggest using a current version of Chrome,
FireFox, or Safari.
Structure of alpha-conotoxin BuIA: influences of disulfide connectivity on structural dynamics.
Jin AH, Brandstaetter H, Nevin ST, Tan CC, Clark RJ, Adams DJ, Alewood PF, Craik DJ, Daly NL.
???displayArticle.abstract???
Alpha-conotoxins have exciting therapeutic potential based on their high selectivity and affinity for nicotinic acetylcholine receptors. The spacing between the cysteine residues in alpha-conotoxins is variable, leading to the classification of sub-families. BuIA is the only alpha-conotoxin containing a 4/4 cysteine spacing and thus it is of significant interest to examine the structure of this conotoxin. In the current study we show the native globular disulfide connectivity of BuIA displays multiple conformations in solution whereas the non-native ribbon isomer has a single well-defined conformation. Despite having multiple conformations in solution the globular form of BuIA displays activity at the nicotinic acetylcholine receptor, contrasting with the lack of activity of the structurally well-defined ribbon isomer. These findings are opposite to the general trends observed for alpha-conotoxins where the native isomers have well-defined structures and the ribbon isomers are generally disordered. This study thus highlights the influence of the disulfide connectivity of BuIA on the dynamics of the three-dimensional structure.
Figure 1. Disulfide isomers of BuIA. (A) A schematic representation of the ribbon, globular and beads disulfide connectivities of BuIA, a conotoxin having the unique 4/4 loop spacing. (B) HPLC traces of ribbon and globular BuIA. Analytical HPLC was carried out using a C18 Phenomenex analytical column (250 × 4.6 mm) with 90% acetonitrile and 0.043% trifluroacetic acid as the eluting solvent B and 1% B per minute as the gradient. Ribbon BuIA elutes earlier than the globular form but has a slightly broadened peak under the conditions utilized.
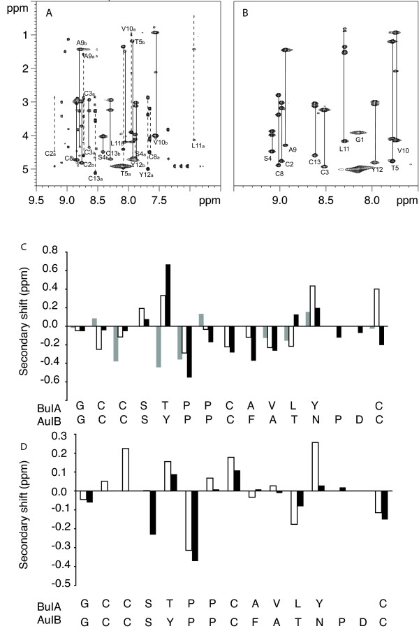
Figure 2. NMR analysis of ribbon and globular BuIA. The upper panels show the amide regions of the TOCSY spectra at 600 MHz of globular (A) and ribbon BuIA (B) at 282 K in 95% H2O/5% 2H2O at pH 3. The one letter code and the residue numbers are used for labeling. For globular BuIA (A) stretches of assigned residues are labeled, as a or b to indicate conformers A and B. The lower panels (C & D) show a secondary shift analysis of conformers A and B from globular BuIA and ribbon BuIA compared to AuIB. For each residue, represented by the one letter code, the differences between the actual chemical shifts for the α-protons and their respective random coil shifts are graphed. (C) Native AuIB (black bars), conformer A (white bars), conformer B (grey bars). (D) Ribbon AuIB (black bars), ribbon BuIA (white bars).
Figure 3. Three-dimensional structure of the ribbon isomer of BuIA. (top) Stereoview of the 20 NMR-derived lowest energy structures of ribbon BuIA. For clarity only the backbone (N, Cα, C') is shown and the two disulfide bonds are omitted. The structures are superimposed over the whole molecule. N refers to the N-terminus; C refers to the C-terminus. Residues were labeled with the one letter code. (bottom) Solvent accessible surface of ribbon BuIA. The two views are rotated by 180° about the vertical axis. Hydrophobic residues (Pro, Ala, Val, Leu, Tyr) are green, hydrophilic residues (Ser, Thr) are blue, Gly is grey and the Cys residues are yellow. Selected residues are labeled with the one letter code.
Figure 4. Effect of globular and ribbon isomers of α-conotoxin BuIA at nAChR subtypes expressed in Xenopus oocytes. (A)Representative ACh-evoked currents mediated by α3β2 and α3β4 nAChR subtypes obtained in the absence (control) and presence of 10 nM and 100 nM BuIA-globular, respectively. Complete recovery was observed after 10 min washout (broken line). (B)Concentration-response curves for the inhibition of α3β2 and α3β4 nAChRs by globular (filled symbols) and ribbon (open symbols) isomers of BuIA. Best fit of the data gave IC50 values of 4.8 ± 0.4 nM (nH = 1.3) and 59.1 ± 2.3 nM (nH = 1.2) for α3β2 and α3β4 nAChRs, respectively, whereas the ribbon isomer of BuIA exhibited no inhibition at 1 μM. Responses are shown as a percentage of ACh (100 μM)-induced peak current amplitude after a 5 min incubation of the BuIA isomers with respect to control (ACh alone). Error bars are SEM with n = 4–7 for each data point.
Figure 5. Proline geometries of the BuIA isomers and the sunflower trypsin inhibitor SFTI-1 [26]. The proline residues with trans geometry are marked as t and those with cis as c. The three-dimensional structures of a classic α-conotoxin, ribbon BuIA and SFTI-1 are shown to highlight the structural differences between the various peptides.
Figure 6. Backbone trace of the structures of ribbon BuIA (A), globular AuIB (B), ribbon AuIB (C), and ribbon MrIA (D). Disulfide bonds are shown as balls and sticks. The helices are shown with thickened ribbons and β-strands are indicated with arrows.
Azam,
Alpha-conotoxin BuIA, a novel peptide from Conus bullatus, distinguishes among neuronal nicotinic acetylcholine receptors.
2005, Pubmed,
Xenbase
Azam,
Alpha-conotoxin BuIA, a novel peptide from Conus bullatus, distinguishes among neuronal nicotinic acetylcholine receptors.
2005,
Pubmed
,
Xenbase Balaji,
lambda-conotoxins, a new family of conotoxins with unique disulfide pattern and protein folding. Isolation and characterization from the venom of Conus marmoreus.
2000,
Pubmed Brünger,
New applications of simulated annealing in X-ray crystallography and solution NMR.
1997,
Pubmed Celie,
Crystal structure of nicotinic acetylcholine receptor homolog AChBP in complex with an alpha-conotoxin PnIA variant.
2005,
Pubmed
,
Xenbase Chi,
NMR structure determination of alpha-conotoxin BuIA, a novel neuronal nicotinic acetylcholine receptor antagonist with an unusual 4/4 disulfide scaffold.
2006,
Pubmed Dutertre,
Toxin insights into nicotinic acetylcholine receptors.
2006,
Pubmed Dutton,
alpha-Conotoxins: nicotinic acetylcholine receptor antagonists as pharmacological tools and potential drug leads.
2001,
Pubmed Dutton,
A new level of conotoxin diversity, a non-native disulfide bond connectivity in alpha-conotoxin AuIB reduces structural definition but increases biological activity.
2002,
Pubmed Fainzilber,
New mollusc-specific alpha-conotoxins block Aplysia neuronal acetylcholine receptors.
1994,
Pubmed Gehrmann,
Structure determination of the three disulfide bond isomers of alpha-conotoxin GI: a model for the role of disulfide bonds in structural stability.
1998,
Pubmed Gray,
Peptide toxins from Conus geographus venom.
1981,
Pubmed Güntert,
Torsion angle dynamics for NMR structure calculation with the new program DYANA.
1997,
Pubmed Hansen,
Structures of Aplysia AChBP complexes with nicotinic agonists and antagonists reveal distinctive binding interfaces and conformations.
2005,
Pubmed Hu,
The 1.1 A crystal structure of the neuronal acetylcholine receptor antagonist, alpha-conotoxin PnIA from Conus pennaceus.
1996,
Pubmed Hu,
Crystal structure at 1.1 A resolution of alpha-conotoxin PnIB: comparison with alpha-conotoxins PnIA and GI.
1997,
Pubmed Hutchinson,
PROMOTIF--a program to identify and analyze structural motifs in proteins.
1996,
Pubmed Jones,
Nicotinic receptors in the brain: correlating physiology with function.
1999,
Pubmed Koradi,
MOLMOL: a program for display and analysis of macromolecular structures.
1996,
Pubmed Laskowski,
AQUA and PROCHECK-NMR: programs for checking the quality of protein structures solved by NMR.
1996,
Pubmed Linge,
Influence of non-bonded parameters on the quality of NMR structures: a new force field for NMR structure calculation.
1999,
Pubmed Livett,
Therapeutic applications of conotoxins that target the neuronal nicotinic acetylcholine receptor.
2006,
Pubmed Luckett,
High-resolution structure of a potent, cyclic proteinase inhibitor from sunflower seeds.
1999,
Pubmed Luo,
alpha-conotoxin AuIB selectively blocks alpha3 beta4 nicotinic acetylcholine receptors and nicotine-evoked norepinephrine release.
1998,
Pubmed
,
Xenbase Lustig,
Nicotinic acetylcholine receptor structure and function in the efferent auditory system.
2006,
Pubmed Martinez,
alpha-Conotoxin EI, a new nicotinic acetylcholine receptor antagonist with novel selectivity.
1995,
Pubmed Marx,
NMR of conotoxins: structural features and an analysis of chemical shifts of post-translationally modified amino acids.
2006,
Pubmed Maslennikov,
Two distinct structures of alpha-conotoxin GI in aqueous solution.
1998,
Pubmed Mazurov,
Selective alpha7 nicotinic acetylcholine receptor ligands.
2006,
Pubmed McIntosh,
A nicotinic acetylcholine receptor ligand of unique specificity, alpha-conotoxin ImI.
1994,
Pubmed McIntosh,
Conus peptides: novel probes for nicotinic acetylcholine receptor structure and function.
2000,
Pubmed
,
Xenbase McIntosh,
Conus peptides targeted to specific nicotinic acetylcholine receptor subtypes.
1999,
Pubmed Millard,
Structure-activity relationships of alpha-conotoxins targeting neuronal nicotinic acetylcholine receptors.
2004,
Pubmed Nilsson,
Solution structure of chi-conopeptide MrIA, a modulator of the human norepinephrine transporter.
2005,
Pubmed Park,
Solution conformation of alpha-conotoxin EI, a neuromuscular toxin specific for the alpha 1/delta subunit interface of torpedo nicotinic acetylcholine receptor.
2001,
Pubmed Rice,
Torsion angle dynamics: reduced variable conformational sampling enhances crystallographic structure refinement.
1994,
Pubmed Richardson,
The anatomy and taxonomy of protein structure.
1981,
Pubmed Role,
Nicotinic receptors in the development and modulation of CNS synapses.
1996,
Pubmed Schnölzer,
In situ neutralization in Boc-chemistry solid phase peptide synthesis. Rapid, high yield assembly of difficult sequences.
1992,
Pubmed Servent,
Functional determinants by which snake and cone snail toxins block the alpha 7 neuronal nicotinic acetylcholine receptors.
1998,
Pubmed Sharpe,
Two new classes of conopeptides inhibit the alpha1-adrenoceptor and noradrenaline transporter.
2001,
Pubmed Ulens,
Structural determinants of selective alpha-conotoxin binding to a nicotinic acetylcholine receptor homolog AChBP.
2006,
Pubmed