XB-ART-35278
Biol Pharm Bull
2007 Feb 01;302:371-4. doi: 10.1248/bpb.30.371.
Show Gene links
Show Anatomy links
Bisphenol A causes malformation of the head region in embryos of Xenopus laevis and decreases the expression of the ESR-1 gene mediated by Notch signaling.
???displayArticle.abstract???
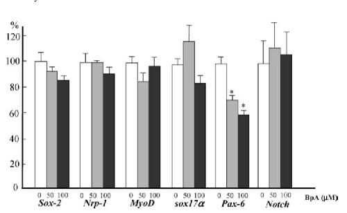
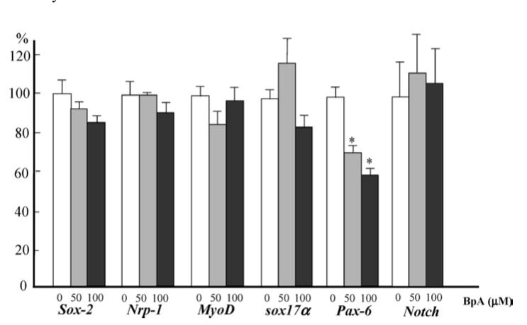
Bisphenol A (BpA) is widely used in industry and dentistry. Its effects on the embryonic development of Xenopus laevis were investigated. Xenopus embryos at stage 10.5 were treated with BpA. Developmental abnormalities were observed at stage 35; malformation of the head region including eyes and scoliosis. The expression of several markers of embryonic development was investigated by reverse transcription-polymerase chain reaction (RT-PCR). The pan-neural marker SOX-2, the neural stem cell marker nrp-1, the mesodermal marker MyoD, and the endodermal marker sox17alpha, were used. Although the expression of marker genes was not changed by treatment with BpA, that of Pax-6, a key regulator of the morphogenesis of the eyes, was decreased by BpA. Pax-6 is a downstream factor of Notch signaling. So, the expression of a typical Notch-dependent factor, ESR-1, was investigated in the presence of BpA. The expression of ESR-1 was efficiently suppressed by BpA. In whole mount in situ hybridization (WISH), Pax-6 was expressed in the central nervous system and eyes. The expression was lost completely on treatment with BpA. The expression of ESR-1 in the central nervous system and eyes also disappeared with BpA treatment. Injection of the intracellular domain of Notch efficiently recovered ESR-1 expression in the presence of BpA although injection of a ligand for notch, Delta, did not. These results suggest that BpA decreased the expression of ESR-1 by disrupting the Notch signal.
???displayArticle.pubmedLink??? 17268083
???displayArticle.link??? Biol Pharm Bull
Species referenced: Xenopus laevis
Genes referenced: hes5 pax6 sox2
Phenotypes: Xla wt + Bisphenol A [100uM](Fig. 3 )
???attribute.lit??? ???displayArticles.show???
