XB-ART-3346
J Gen Physiol
2004 Jul 01;1241:83-102. doi: 10.1085/jgp.200409068.
Show Gene links
Show Anatomy links
External barium affects the gating of KCNQ1 potassium channels and produces a pore block via two discrete sites.
Gibor G, Yakubovich D, Peretz A, Attali B.
???displayArticle.abstract???
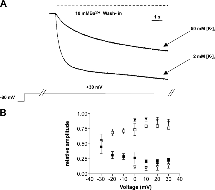
The pore properties and the reciprocal interactions between permeant ions and the gating of KCNQ channels are poorly understood. Here we used external barium to investigate the permeation characteristics of homomeric KCNQ1 channels. We assessed the Ba(2+) binding kinetics and the concentration and voltage dependence of Ba(2+) steady-state block. Our results indicate that extracellular Ba(2+) exerts a series of complex effects, including a voltage-dependent pore blockade as well as unique gating alterations. External barium interacts with the permeation pathway of KCNQ1 at two discrete and nonsequential sites. (a) A slow deep Ba(2+) site that occludes the channel pore and could be simulated by a model of voltage-dependent block. (b) A fast superficial Ba(2+) site that barely contributes to channel block and mostly affects channel gating by shifting rightward the voltage dependence of activation, slowing activation, speeding up deactivation kinetics, and inhibiting channel inactivation. A model of voltage-dependent block cannot predict the complex impact of Ba(2+) on channel gating in low external K(+) solutions. Ba(2+) binding to this superficial site likely modifies the gating transitions states of KCNQ1. Both sites appear to reside in the permeation pathway as high external K(+) attenuates Ba(2+) inhibition of channel conductance and abolishes its impact on channel gating. Our data suggest that despite the high degree of homology of the pore region among the various K(+) channels, KCNQ1 channels display significant structural and functional uniqueness.
???displayArticle.pubmedLink??? 15226366
???displayArticle.pmcLink??? PMC2229603
???displayArticle.link??? J Gen Physiol
Species referenced: Xenopus laevis
Genes referenced: kcnq1
???attribute.lit??? ???displayArticles.show???
References [+] :
Abbott,
A superfamily of small potassium channel subunits: form and function of the MinK-related peptides (MiRPs).
1998, Pubmed
Abbott, A superfamily of small potassium channel subunits: form and function of the MinK-related peptides (MiRPs). 1998, Pubmed
Alagem, Mechanism of Ba(2+) block of a mouse inwardly rectifying K+ channel: differential contribution by two discrete residues. 2001, Pubmed , Xenbase
Armstrong, Interaction of barium ions with potassium channels in squid giant axons. 1980, Pubmed
Barhanin, K(V)LQT1 and lsK (minK) proteins associate to form the I(Ks) cardiac potassium current. 1996, Pubmed , Xenbase
Blunck, How powerful is the dwell-time analysis of multichannel records? 1998, Pubmed
Brown, Modulation and genetic identification of the M channel. 2000, Pubmed
Doyle, The structure of the potassium channel: molecular basis of K+ conduction and selectivity. 1998, Pubmed
Eaton, Effects of barium on the potassium conductance of squid axon. 1980, Pubmed
Elinder, S4 charges move close to residues in the pore domain during activation in a K channel. 2001, Pubmed , Xenbase
Gandhi, Reconstructing voltage sensor-pore interaction from a fluorescence scan of a voltage-gated K+ channel. 2000, Pubmed
Harris, A permanent ion binding site located between two gates of the Shaker K+ channel. 1998, Pubmed , Xenbase
Hurst, External barium block of Shaker potassium channels: evidence for two binding sites. 1995, Pubmed , Xenbase
Hurst, Molecular determinants of external barium block in Shaker potassium channels. 1996, Pubmed , Xenbase
Ilan, Kcnkø: single, cloned potassium leak channels are multi-ion pores. 2001, Pubmed , Xenbase
Jentsch, Neuronal KCNQ potassium channels: physiology and role in disease. 2000, Pubmed
Jiang, Crystal structure and mechanism of a calcium-gated potassium channel. 2002, Pubmed
Jiang, The barium site in a potassium channel by x-ray crystallography. 2000, Pubmed
Larsson, A conserved glutamate is important for slow inactivation in K+ channels. 2000, Pubmed , Xenbase
Lehmann-Horn, Voltage-gated ion channels and hereditary disease. 1999, Pubmed
Lerche, Ion channels and epilepsy. 2001, Pubmed
Li-Smerin, A localized interaction surface for voltage-sensing domains on the pore domain of a K+ channel. 2000, Pubmed , Xenbase
Loots, Molecular coupling of S4 to a K(+) channel's slow inactivation gate. 2000, Pubmed
Melman, KCNE regulation of KvLQT1 channels: structure-function correlates. 2002, Pubmed
Neyton, Discrete Ba2+ block as a probe of ion occupancy and pore structure in the high-conductance Ca2+ -activated K+ channel. 1988, Pubmed
Neyton, Potassium blocks barium permeation through a calcium-activated potassium channel. 1988, Pubmed
Ortega-Sáenz, Collapse of conductance is prevented by a glutamate residue conserved in voltage-dependent K(+) channels. 2000, Pubmed
Peretz, Modulation of homomeric and heteromeric KCNQ1 channels by external acidification. 2002, Pubmed , Xenbase
Pusch, Increase of the single-channel conductance of KvLQT1 potassium channels induced by the association with minK. 1998, Pubmed , Xenbase
Pusch, Activation and inactivation of homomeric KvLQT1 potassium channels. 1998, Pubmed , Xenbase
Robbins, KCNQ potassium channels: physiology, pathophysiology, and pharmacology. 2001, Pubmed
Rogawski, KCNQ2/KCNQ3 K+ channels and the molecular pathogenesis of epilepsy: implications for therapy. 2000, Pubmed
Sanguinetti, Coassembly of K(V)LQT1 and minK (IsK) proteins to form cardiac I(Ks) potassium channel. 1996, Pubmed , Xenbase
Schroeder, A constitutively open potassium channel formed by KCNQ1 and KCNE3. 2000, Pubmed , Xenbase
Seebohm, Tight coupling of rubidium conductance and inactivation in human KCNQ1 potassium channels. 2003, Pubmed , Xenbase
Sesti, Single-channel characteristics of wild-type IKs channels and channels formed with two minK mutants that cause long QT syndrome. 1998, Pubmed , Xenbase
Tristani-Firouzi, Voltage-dependent inactivation of the human K+ channel KvLQT1 is eliminated by association with minimal K+ channel (minK) subunits. 1998, Pubmed , Xenbase
Wang, KCNQ2 and KCNQ3 potassium channel subunits: molecular correlates of the M-channel. 1998, Pubmed , Xenbase
Weerapura, State-dependent barium block of wild-type and inactivation-deficient HERG channels in Xenopus oocytes. 2000, Pubmed , Xenbase
Wollmuth, Mechanism of Ba2+ block of M-like K channels of rod photoreceptors of tiger salamanders. 1994, Pubmed
Woodhull, Ionic blockage of sodium channels in nerve. 1973, Pubmed
Yang, Single-channel properties of IKs potassium channels. 1998, Pubmed , Xenbase
Yellen, The voltage-gated potassium channels and their relatives. 2002, Pubmed
