Click here to close Hello! We notice that you are using Internet Explorer, which is not supported by Xenbase and may cause the site to display incorrectly. We suggest using a current version of Chrome, FireFox, or Safari.
XB-ART-26521
J Neurosci 1989 Sep 01;99:3123-45.
Show Gene links Show Anatomy links

A single-cell analysis of early retinal ganglion cell differentiation in Xenopus: from soma to axon tip.



???displayArticle.abstract???
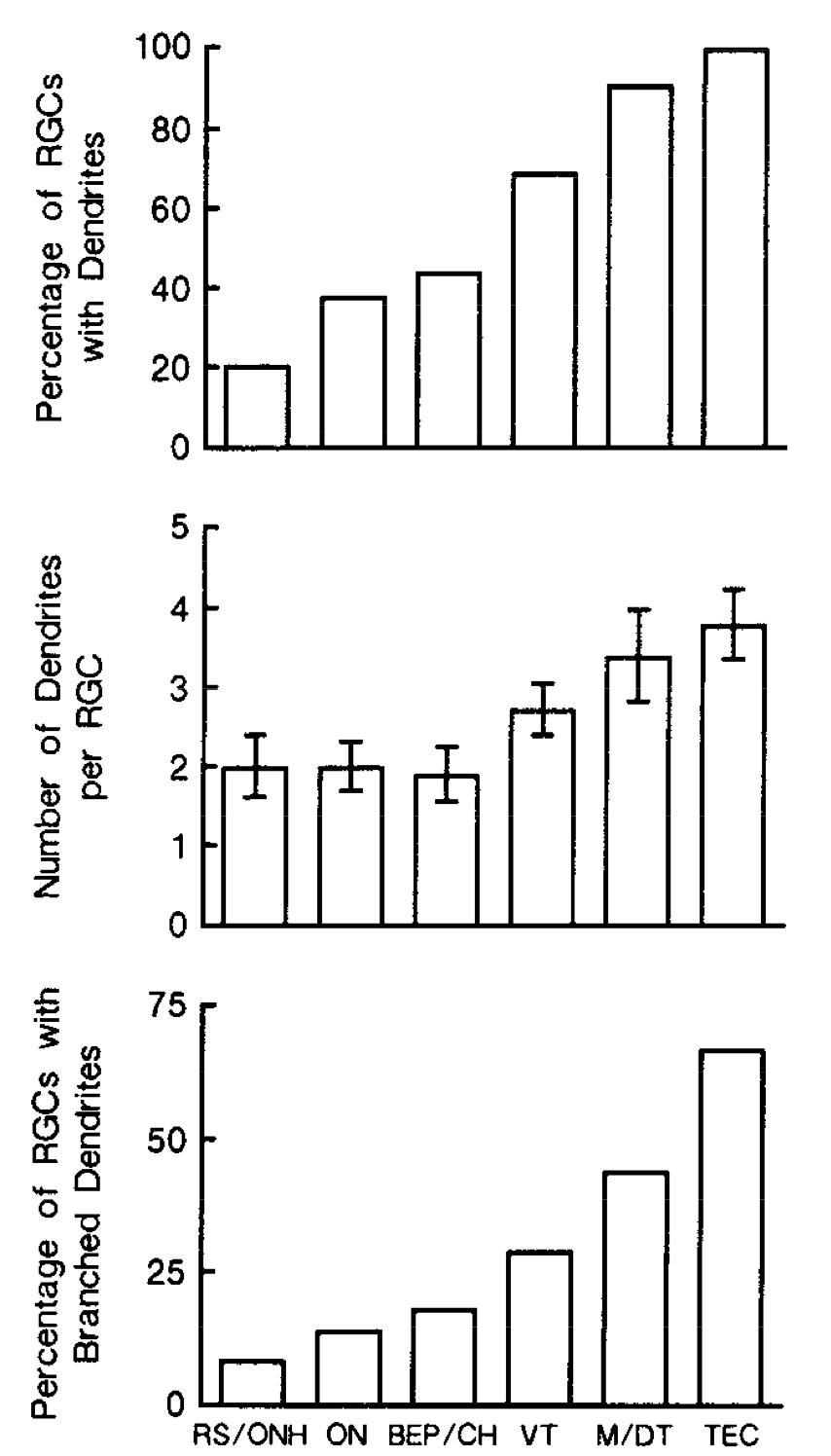
Intracellular injections of Lucifer yellow (LY) were made into the cell bodies of Xenopus retinal ganglion cells from the earliest stages of axonogenesis to the beginning of target innervation. Embryos were intact during the injection so that the entire cell (cell body, dendrites, axon, and growth cone) could be visualized. The purpose of the study was 3-fold: (1) to characterize the early steps in retinal ganglion cell differentiation before the axon reaches its target; (2) to determine whether guidepost cells exist as possible navigation cues in the vertebrate optic pathway; and (3) to investigate whether the morphology of early retinal ganglion cell growth cones varies in a position-dependent manner along the primordial optic pathway. Axons were generally initiated before dendrites and followed a well-defined course along the primordial optic pathway without branching. Surprisingly, at least 5% of the retinal ganglion cells sent more than one axon into the optic pathway. Sister axons from the same parent cell traveled separately in the pathway, indicating that their growth cones navigated independently. Examination of dendrite genesis showed that dendrites usually begin to emerge from the cell body well before the axon tip reaches the target. This observation argues against the possibility that target contact influences dendrite initiation. Nascent dendrites were commonly tipped with pronounced varicosities that did not resemble axon growth cones. Their number and branching correlated well with axon length, indicating that the age of the retinal ganglion cell itself, rather than the age of its presynaptic cells or local environment, is the strongest influence on dendrite genesis. Examination of LY-filled growth cones at varying points in the pathway showed no evidence of dye transfer to adjacent cells. This indicates that gap junctional contacts probably do not form during axonal pathfinding and suggests that direct intercellular communication between growing axons and other cells in the pathway does not play a major role in axon guidance. Growth cone morphology was analyzed quantitatively and found to vary at different positions along the pathway. Growth cones entering the optic nerve head were the largest and most complex; those on the retinal surface were the smallest and showed a simple morphology. Growth cones in the chiasm and optic tract showed a degree of complexity similar to those in the optic nerve head but were smaller.(ABSTRACT TRUNCATED AT 400 WORDS)

???displayArticle.pubmedLink??? 2795157
???displayArticle.pmcLink??? PMC6569658
???displayArticle.link??? J Neurosci
???displayArticle.grants??? [+]

Genes referenced: ret rom1 wrn


???attribute.lit??? ???displayArticles.show???