Click here to close
Hello! We notice that you are using Internet Explorer, which is not supported by Xenbase and may cause the site to display incorrectly.
We suggest using a current version of Chrome,
FireFox, or Safari.
???displayArticle.abstract???
Xenopus tropicalis offers the potential for genetic analysis in an amphibian. In order to take advantage of this potential, we have been inbreeding strains of frogs for future mutagenesis. While inbreeding a population of Nigerian frogs, we identified three mutations in the genetic background of this strain. These mutations are all recessive embryonic lethals. We show that multigenerational mutant analysis is feasible and demonstrate that mutations can be identified, propagated, and readily characterized using hybrid, dihybrid, and even trihybrid crosses. In addition, we are optimizing conditions to raise frogs rapidly and present our protocols for X. tropicalis husbandry. We find that males mature faster than females (currently 4 versus 6 months to sexual maturity). Here we document our progress in developing X. tropicalis as a genetic model organism and demonstrate the utility of the frog to study the genetics of early vertebrate development.
???displayArticle.pubmedLink???
15763207 ???displayArticle.link???Mech Dev ???displayArticle.grants???[+]
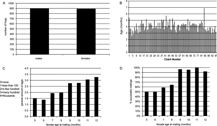
Fig. 1. Sexual maturation. Panel A shows the total numbers of males and females from 95 clutches that were monitored for sex development. Panel B shows the age when male nuptial pads were first seen in 97 independent clutches. Panel C shows the average rating of egg quantity generated in females from 5 to 12 months of age. Panel D shows the percentage of successful matings for females from 5 to 12 months of age.
Fig. 2. Immature eggs produce stereotyped hyperventral and anterior defects. All panels show normal (top) and defective (lower) sibling embryos. Panel A shows hyperventralization phenotype at stage 27. Panels B show stereotyped midline and anterior defects. A combined in situ hybridization for shh (midline), olig2 (intermediate staining), and slug (neural plate border) reveals defective dorsal midline development of stage 15 sibling embryos (Panel B). Panels C and D show anterior defects at stage 24 and 37/38 embryos, respectively. Panel E shows stage 37/38 embryos stained for pax2 (neural, otic vesicle, kidney) and globin (ventral blood islands). Panels F and G show stage 41 embryos. In all panels, anterior is to the left. Dorsal views are shown in Panels B and G, all other panels are lateral views.
Fig. 3. grinch mutation. All panels show normal (top) and grinch phenotype
(lower) sibling embryos. In all panels, anterior is to the left. Panel A shows
a lateral view of stage 39 embryos. Panels B and C show lateral and dorsal
views of stage 42 embryos, respectively. Panel B is labeled with numbers
from a representative mating of grinch heterozygous parents.
Fig. 4. curly mutation. All panels show normal (top) and curly phenotype
(lower) sibling embryos. In all panels, anterior is to the left. Panel A shows
a lateral view of stage 35/36 embryos. Panel B shows a lateral view of stage
44 embryos. Panel B is labeled with numbers from a representative mating
of curly heterozygous parents.
Fig. 5. bubblehead mutation. All panels show normal (top) and bubblehead phenotype (lower) sibling embryos. In all panels, anterior is to the left. Panels A and B show lateral and dorsal views of stage 40 embryos, respectively. Panels C and D show lateral and dorsal views of stage 43 embryos, respectively. Panel D is labeled with numbers from a representative mating of bubblehead heterozygous parents.
Fig. 6. grinch and curly double mutants. The panel shows normal, grinch,
and curly phenotypes in sibling embryos. These are lateral views, with
anterior to the left. The panel is labeled with numbers from a representative mating of gri/cur double heterozygous parents. Recessive epistasis makes it difficult to morphologically differentiate the gri/cur double mutants from curly single mutants.
Fig. 7. grinch and bubblehead double mutants. The panel shows normal,
grinch, bubblehead, and grinch/bubblehead (gri/bub) phenotypes in sibling
embryos. These are lateral views, with anterior to the left. The panel is
labeled with numbers from a representative mating of gri/bub double
heterozygous parents.
Fig. 8. Triple mutants. The panel shows normal, grinch, bubblehead-like
(bub-like), curly, and orsal edemaphenotypes in sibling embryos. These
are lateral views, with anterior to the left. The panel is labeled with numbers
from a representative mating of triple heterozygous parent.