XB-ART-17226
J Gen Physiol
1997 Jan 01;1091:105-16.
Show Gene links
Show Anatomy links
Temperature dependence of fast and slow gating relaxations of ClC-0 chloride channels.
???displayArticle.abstract???
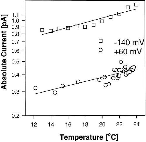
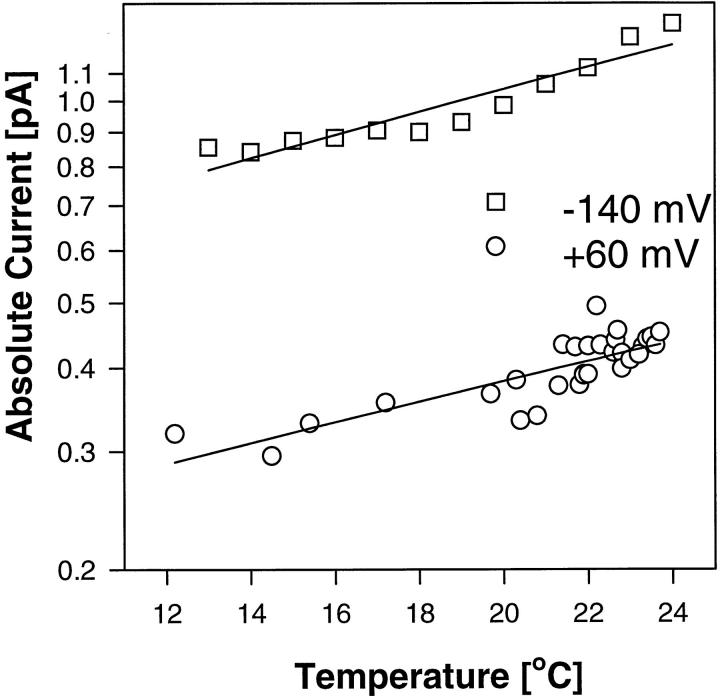
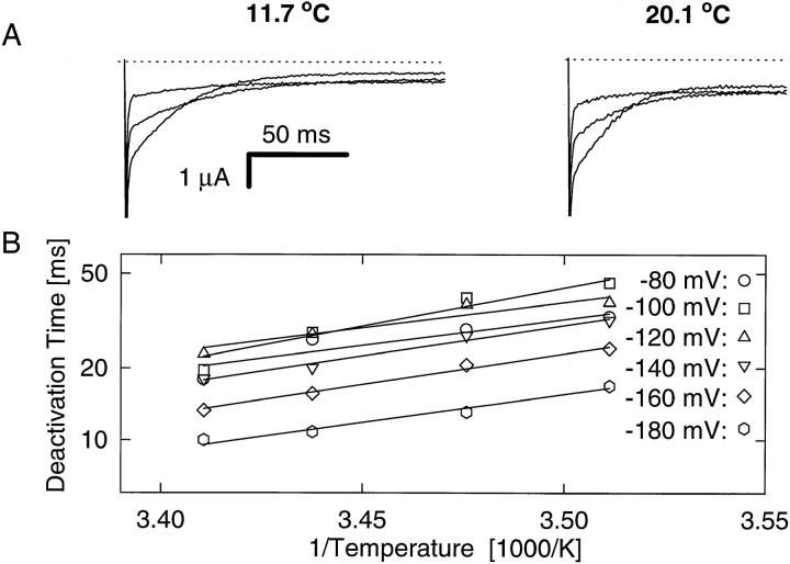
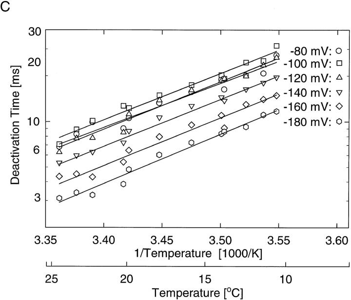
The chloride channel from the Torpedo electric organ, ClC-0, is the best studied member of a large gene-family (Jentsch, T.J. 1996. Curr. Opin. Neurobiol. 6:303-310.). We investigate the temperature dependence of both the voltage- and chloride-dependent fast gate and of the slow gate of the "double-barreled" ClC-0 expressed in Xenopus oocytes. Kinetics of the fast gate exhibit only a moderate temperature dependence with a Q10 of 2.2. Steady-state P(open) of the fast gate is relatively independent of temperature. The slow gate, in contrast, is highly temperature sensitive. Deactivation kinetics at positive voltages are associated with a Q10 of approximately 40. Steady-state open probability of the slow gate (P(open)slow(V)) can be described by a Boltzmann distribution with an apparent gating valence of approximately 2 and a variable "offset" at positive voltages. We note a positive correlation of this offset (i.e., the fraction of channels that are not closed by the slow gate) with the amount of expression. This offset is also highly temperature sensitive, being drastically decreased at high temperatures. Paradoxically, the maximum degree of activation of the slow gate also decreases at higher temperatures. The strong temperature dependence of the slow gate was also observed at the single channel level in inside-out patches. The results imply that within a Markovian-type description at least two open and two closed states are needed to describe slow gating. The strong temperature dependence of the slow gate explains the phenotype of several ClC-0 point-mutants described recently by Ludewig et al. (Ludewig, U., T.J. Jentsch, and M. Pusch. 1996. J. Physiol. (Lond.). In press). The large Q10 of slow gating kinetics points to a complex rearrangement. This, together with the correlation of the fraction of noninactivating channels with the amount of expression and the fact that the slow gate closes both protochannels simultaneously suggests that the slow gate is coupled to subunit interaction of the multimeric ClC-0 channel.
???displayArticle.pubmedLink??? 8997669
???displayArticle.pmcLink??? PMC2217054
Species referenced: Xenopus
Genes referenced: gnas tbx2
???attribute.lit??? ???displayArticles.show???
References [+] :
Bauer,
Completely functional double-barreled chloride channel expressed from a single Torpedo cDNA.
1991, Pubmed,
Xenbase
