Click here to close
Hello! We notice that you are using Internet Explorer, which is not supported by Xenbase and may cause the site to display incorrectly.
We suggest using a current version of Chrome,
FireFox, or Safari.
Mesoderm induction by heterodimeric AP-1 (c-Jun and c-Fos) and its involvement in mesoderm formation through the embryonic fibroblast growth factor/Xbra autocatalytic loop during the early development of Xenopus embryos.
???displayArticle.abstract???
We have previously demonstrated the involvement of AP-1/Jun in fibroblast growth factor (FGF) signaling by loss-of-function assay (Dong, Z., Xu, R.-H., Kim, J., Zhan, S.-N., Ma, W.-Y., Colburn, N. H., and Kung, H. (1996) J. Biol. Chem. 271, 9942-9946). Further investigations by gain-of-function are reported in this study. AP-1 transactivation activity was increased by the treatment of animal cap explants with FGF. Ectopic overexpression of two components of AP-1 (c-jun and c-fos together, but not alone) produced posteriorized embryos and induced mesoderm formation in animal cap explants, indicating that both AP-1 heterodimers are required for mesoderm induction. Since Ras/AP-1 functions downstream of FGF signaling, we then tested the involvement of Ras/AP-1 in mesoderm maintenance mediated by embryonic FGF/Xbra using dominant-negative mutants. Mesoderm maintenance mediated by embryonic FGF/Xbra was blocked by dominant-negative mutants of Ras/AP-1, and AP-1 enhanced the expression of Xbra. Further studies demonstrated the inhibition of Ras/AP-1-mediated mesoderm formation by dominant-negative mutants of the FGF receptor and Xbra. These results indicate that Ras/AP-1 and FGF/Xbra signals are involved in the mesoderm maintenance machinery and mesoderm formation through the synergistic action of the diversified signal pathways derived from the FGF/Xbra autocatalytic loop.
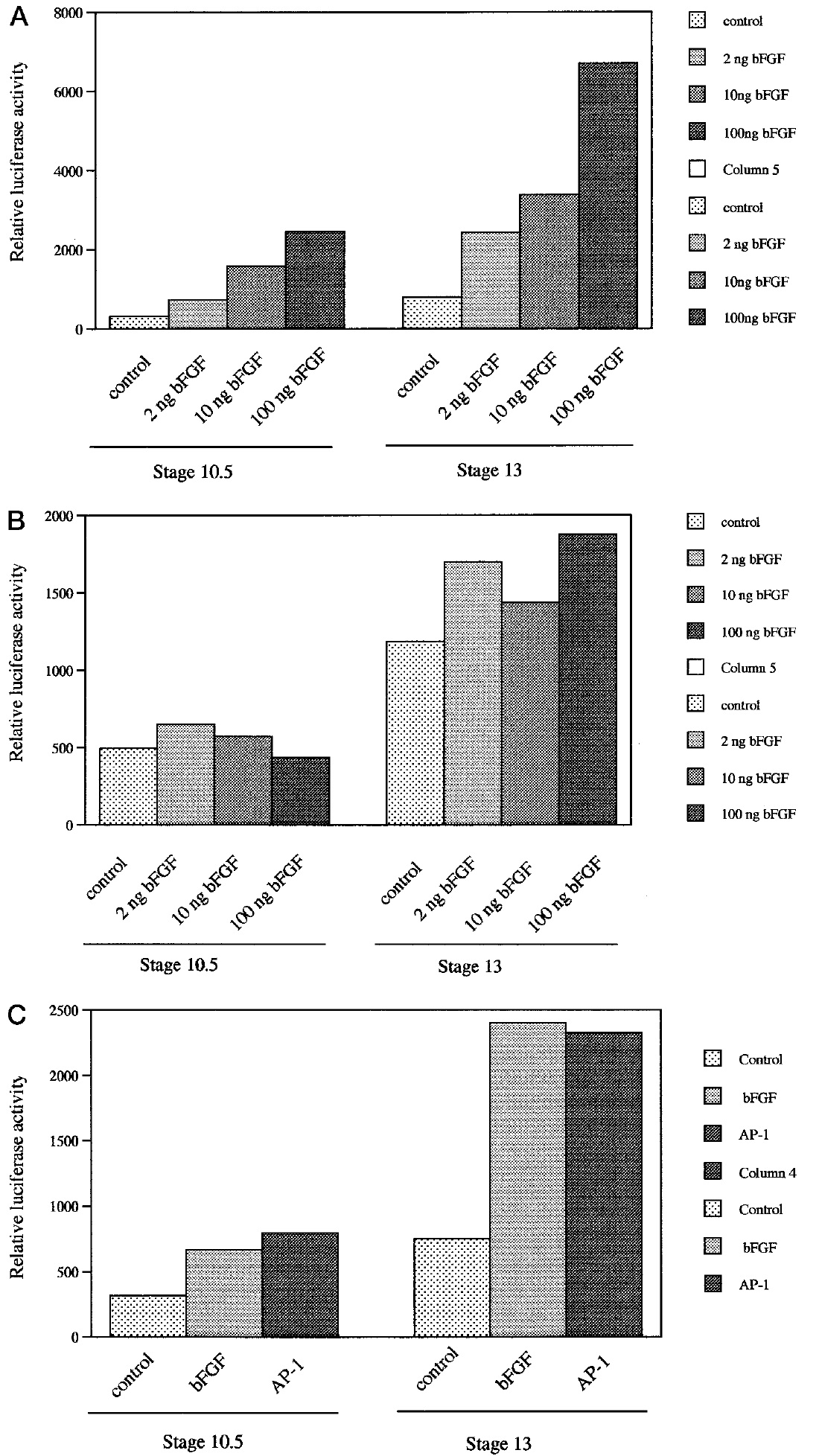
FIG. 1. AP-1 activation by bFGF. a,
dose-dependent AP-1 activation by bFGF
(2–100 ng). Ten pg of AP-1-luciferase construct
was injected at the two-cell stage
(26, 27), and the animal caps obtained
from the embryos (stages 8.5–9) were cultured
in the presence of different dosages
of bFGF (2–100 ng/ml) until stages 10.5
and 13. b, effects of bFGF (2–100 ng) on
NF-kB activity. The same procedure was
followed as described for a, except that
the NF-kB-luciferase reporter plasmid
was used instead of the AP-1-luciferase
construct. c, effect of bFGF and AP-1 on
AP-1 activation. AP-1-luciferase reporter
plasmids (10 pg) were coinjected with the
mRNAs encoding c-Jun (0.5 ng) and c-Fos
(0.5 ng) at the two-cell stage, and the luciferase
activity was compared with the
animal cap explants treated with 10
ng/ml bFGF. Treatment with bFGF was
as described for a. The experiments were
repeated three times with similar results.
The data are presented as luciferase activity
relative to the average luciferase
activity in at least 20 animal caps. The
luciferase activity in individual animal
caps was measured after homogenization
in 20 ml of lysis buffer as described
previously (26).
FIG. 2. Mesoderm induction in blastula animal caps by AP-1 (c-jun/c-fos). a, morphological changes in animal cap explants. X. laevis
embryos were obtained by in vitro fertilization (35). Embryos at the two-cell stage were injected in the animal pole with mRNAs of control
b-galactosidase (1 ng), c-jun (1 ng), c-fos (1 ng), or c-jun (1 ng) plus antisense c-fos (1 ng) (panel A); c-jun/c-fos (0.25 ng each) (B); c-jun/c-fos (0.5
ng each) (C); or c-jun/c-fos (1 each ng) (D). c-jun, c-fos, and antisense c-fos were derived from rat clones (28, 32). Animal caps were dissected from the injected embryos at stages 8.5–9 and cultured until stage 30 for the picture. The experiment was repeated three times in over 120 embryos with
similar results. Developmental stages were designated according to Nieuwkoop and Faber (36). b, molecular markers of mesoderm induction
induced by AP-1 (c-jun and c-fos together). Embryos were injected, and animal caps were dissected and cultured as described for a. RNA was
isolated from animal caps injected with the following: lane 1, b-galactosidase (b-gal; 1 ng); lane 2, c-jun (1 ng); lane 3, c-fos (1 ng); lane 4, c-jun (1
ng) plus antisense c-fos (1 ng); lane 5, c-jun (1 ng) plus sense c-fos (1 ng); lane 6, control (No Injection). The RNA was analyzed by RT-PCR (26, 35)
to determine the expression of the molecular markers Xbra and EF-1a with stage 11 animal caps and muscle actin and EF-1a with stage 30 animal
caps. Embryos at equivalent stages were used as a positive control (lane 7), and the same embryo sample processed for RT-PCR in the absence of
reverse transcriptase (No RT) was used as a negative control (lane 8). c, immunohistochemical analysis of animal caps generated by injection of
b-galactosidase RNA (1 ng) (panel A) or AP-1 RNAs (1 ng of c-jun and 1 ng of c-fos) (panel B) and by treatment with bFGF (100 ng/ml) (panel C).
Animal caps were harvested and sectioned at stage 30. The slides were then fixed and stained with specific antibody to muscle actin. Panels B and
C show the muscle actin-stained section (dark brown color) with unorganized muscle tissue. Panel A shows an unstained section with a typical
epidermis structure. The animal caps from embryos injected with c-jun (1 ng), c-fos (1 ng), or c-jun (1 ng) plus antisense c-fos (1 ng) were examined
with the same procedure as described for panels A, B, and C of Fig. 2c. Typical epidermis structures similar to b-galactosidase-treated animal caps
were found. d, dose-dependent mesoderm formation as measured by the expression of Xbra (stage 11) and actin (stage 24). Injection of c-jun alone
(0.5–4 ng in lanes 1–4 in the upper panels), c-jun 1 c-fos (0.5–4 ng; 0.5 ng 5 0.25 ng of each in lane 1, 1 ng 5 0.5 ng of each in lane 2, 2 ng 5 1
ng of each in lane 3, and 4 ng 5 2 ng of each in lane 4 in the lower panels), and b-galactosidase (lane 5). Lane 6 is the positive control of the embryo,
and lane 7 is the negative control with no reverse transcriptase. Embryos were injected, and animal caps were dissected and cultured as described
for a. RT-PCR was performed as described for b. Expression of EF-1a was used as a control for equal loading of reverse transcriptase samples.
FIG. 3. Morphological changes in whole embryos induced by ectopic expression of AP-1 (c-jun and c-fos). a, dose-dependent
morphological changes in whole embryos by injection of AP-1 (0.125â1 ng of c-jun/c-fos). Panel A, 0.125 ng each; panel B, 0.25 ng each; panel C,
0.5 ng each; panel D, 1 ng each. The RNAs of c-jun and c-fos were injected into the animal pole of the two-cell stage embryos. The injected embryos
were allowed to develop until the tadpole stage. The embryos injected with AP-1 show posteriorized phenotypes with diminished anterior
structures including cement gland and forebrain. The extent of morphological changes was dose-dependent. In the same experiments, the
morphological changes were never observed in embryos injected with b-galactosidase (1 ng), c-jun (1â4 ng), c-fos (1â4 ng), or c-jun (1 ng) plus
antisense c-fos (1 ng). b, gastrulation defect induced by injection of AP-1. The blastopore of an embryo injected with 1 ng of b-galactosidase was
closed (panel A). The embryos injected with AP-1 (0.5 ng of c-jun and 0.5 ng of c-fos) developed normally through the blastula and early gastrula
stages (not shown). However, the blastopore failed to close as shown by a round circle in the picture (panel B). Pictures were taken at stage 15.
c, effects on embryonic development of injection of AP-1 into the VMZ or DMZ. AP-1 mRNAs (0.5 ng of c-jun and 0.5 ng of c-fos) were injected at
the four-cell stage into the DMZ or VMZ. Injection of AP-1 into the VMZ caused a minor posterior defect (panel A, lower picture) compared with
a normal tadpole (panel A, upper picture). In contrast, AP-1 injection into the DMZ of embryos caused a gastrulation delay and severe defects in
body patterning including lack of head structure (;10% embryos) (panel B, lower picture).
FIG. 4. Inhibition of eFGF- and Xbra-induced mesoderm induction
by DN-ras and DN-jun. a, reversal of CSKA-eFGF- or Xbrainduced
morphological changes in animal caps by DN-jun at stage 13.
Animal caps from embryos injected with 25 pg of CSKA-eFGF plasmid
and 1 ng of b-galactosidase RNA (panel A), 25 pg of CSKA-eFGF
plasmid and 1 ng of DN-jun RNA (panel B), 0.5 ng of Xbra RNA and 1
ng of b-galactosidase RNA (panel C), and 0.5 ng of Xbra RNA and 1 ng
of DN-jun RNA (panel D) were dissected at stages 8.5–9 and cultured
until stage 13, when the pictures were taken. b, inhibition of eFGF- and
Xbra-induced actin expression by DN-ras and DN-jun. Animal caps
were dissected and cultured until stage 24 as described for Fig. 2a.
RT-PCR was performed with the RNAs isolated from animal caps
injected with the following: lane 1, Xbra (0.5 ng) and b-galactosidase
(b-gal; 1 ng); lane 2, Xbra (0.5 ng) and DN-ras (1 ng); lane 3, Xbra (0.5
ng) and DN-jun (1 ng); lane 4, CSKA-eFGF (25 pg) and b-galactosidase
(1 ng); lane 5, CSKA-eFGF (25 pg) and DN-ras (1 ng); lane 6, CSKAeFGF
(25 pg) and DN-jun (1 ng); lane 7, b-galactosidase (1 ng). Embryos
at equivalent stages were used as a positive control (lane 8), and the
same embryo sample without reverse transcriptase (No RT) was used
as a negative control (lane 9) as described for Fig. 2b.
FIG. 5. Inhibition of AP-1-induced mesoderm induction by
coinjection of DN-Xbra. Embryos were injected as described below,
and animal caps were dissected and cultured as described for Fig. 2a.
RNA was isolated from animal caps injected with the following: lane 1,
c-jun (1 ng) plus c-fos (1 ng); lane 2, c-jun (1 ng), c-fos (1 ng), and
DN-Xbra (1 ng); lane 3, DN-Xbra (1 ng); lane 4, b-galactosidase (b-gal;
2 ng). The RNA was analyzed by RT-PCR as described for Fig. 2b (Xbra
and EF-1a with stage 11 animal caps and muscle actin and EF-1a with
stage 30 animal caps). Embryos at equivalent stages were used as a
positive control (lane 5), and the same embryo sample processed for
RT-PCR in the absence of reverse transcriptase (No RT) was used as a
negative control (lane 6) as described for Fig. 2b.
FIG. 6. Requirement of endogenous
signaling in Ras- or AP-1-mediated
mesoderm formation. a, morphological
reversion of activated Ras-mediated mesoderm
formation by DN-FR at stage 13.
Animal caps from embryos injected with
b-galactosidase RNA (1 ng) (panel A), constitutively
active ras RNA (1 ng) (panel
B), and constitutively active ras RNA (1
ng) and DN-FR RNA (1 ng) (panel C) were
dissected at stages 8.5–9 and cultured until
stage 13, when the pictures were
taken. b, inhibition of Ras-mediated mesoderm
formation by DN-FR. Embryos
were injected as described below, and animal
caps were dissected and cultured as
described for Fig. 2a. RNA was isolated
from animal caps injected with the following:
lane 1, ras (1 ng) and DN-FR (1 ng);
lane 2, ras (1 ng) and b-galactosidase (bgal;
1 ng); lane 3, b-galactosidase (2 ng).
The RNA was analyzed by RT-PCR as
described for Fig. 2b. 6, inhibition of AP-
1-mediated mesoderm formation by
DN-FR or DN-ras. Embryos were injected,
dissected, and cultured as described
for Fig. 2a. RT-PCR was performed
as described for Fig. 2b with
animal caps injected with the following:
lane 2, c-jun (1 ng) and c-fos (1 ng); lane 3,
c-jun (1 ng), c-fos (1 ng), and DN-FR (1
ng); lane 4, c-jun (1 ng), c-fos (1 ng), and
DN-ras (1 ng); lane 5, b-galactosidase (2
ng); lane 6, DN-FR (1 ng); lane 7, DN-ras
(1 ng). Lane 1 is the non-injected control.
Xbra and EF-1a were measured with
stage 11 animal caps, and muscle actin
and EF-1a were measured with stage 24
animal caps. Embryos at equivalent
stages were used as a positive control
(lanes 4 and 8 in b and c, respectively),
and the same embryo sample processed
for RT-PCR in the absence of reverse
transcriptase (No RT) was used as a negative
control (lanes 5 and 9, respectively)
as described for Fig. 2b.
FIG. 7. Proposed model for mesoderm formation mediated by
the FGF/Xbra autoregulatory loop. Ras/AP-1 is involved in the
FGF/Xbra autoregulatory loop, and Xbra is activated by AP-1. Diversified
signals derived from each component (FGF/Ras/AP-1/Xbra) of the
autoregulatory loop are required for mesoderm induction and maintenance.
The blocking of any one component of the loop by the dominantnegative
mutants results in the inhibition of mesoderm formation.