|
Fig. 1. Ectoderm mixing assay. (A) One blastomere of a 16-32 cell
stage embryo was injected with nLacZ RNA. At stage 12, the embryo
was fixed and processed for X-gal staining. Shown are X-gal-stained
cells derived from the injected blastomere within the ventral
ectoderm. Note that these cells have intermingled with descendants
of neighboring blastomeres. (B) One blastomere of a 16-32 cell stage
embryos was injected with RNA encoding F-cadherin. At stage 12,
the embryo was fixed and stained for the myc epitope. Shown are
myc antibody-stained cells derived from the injected blastomere
within the ventral ectoderm. Note that these cells have not
intermingled to the same extent as in A. Asterisks indicate cells in
the deep layer of ectoderm where mixing is not suppressed by Fcadherin
expression. Arrowheads indicate the enrichment of
expressed protein at sites of cell-cell contact. (C) Same analysis as in
B except that the embryos were injected with RNA encoding ÆFcadherin.
Note that these cells mix as well as control cells. (D) Fcadherin
and ÆF-cadherin RNAs were mixed at different ratios and
injected into a blastomere of a 16-32 cell stage embryo. At stage 12,
embryos were fixed and stained for the myc-epitope. The number of
isolated cells per unit area at the edge of a patch of labeled cells was
analyzed for 6-12 embryos, and their mean and standard error
calculated. Note that cell mixing is significantly reduced with both
high (5 ng) and low (2.5 ng) concentrations of F-cadherin RNA
relative to b-gal controls (P<0.001 and P<0.01, respectively, using
one-tailed t-tests). Co-injection of ÆF-cadherin RNA with Fcadherin
RNA inhibits the effects of F-cadherin on cell mixing: note
that cell mixing is significantly increased when ÆF-cadherin (7 ng) is
included with F-cadherin, relative to when 5 ng or 2.5 ng of Fcadherin
RNA is injected alone (P<0.005 in both cases, using a onetailed
t-test). Embryos injected with 7 ng DF-cadherin and b-gal
controls were not statistically different for P<0.10 (using a t-test). |
|
Fig. 2. Expression of F-cadherin RNA during neural tube formation
in Xenopus embryos. Embryos at stage 16 (neural plate stage) and
stage 22 (early neurulae) were stained for the expression of Fcadherin
RNA using whole mount in situ hybridization. (A,B) Stage
16 embryo stained for F-cadherin expression showing the stripe of
F-cadherin-expressing cells within the caudal neural anlage, either in
whole mount (B, arrow) or in a transverse section through the neural
plate (A, arrow). Note that F-cadherin-expressing cells are already
localized to the prospective sulcus limitans, based on their position
within the neural plate (np) along the mediolateral axis. (C) After
neural tube formation, F-cadherin is expressed in cells localized to
the sulcus limitans, which divide the neural tube (nt) along the D-V
axis into the basal and alar plate. Note in panel C that the cells with
F-cadherin staining lie adjacent to the ventricle, but that this staining
is probably confined to the cell body. Thus, it is likely that the cells
expressing F-cadherin RNA are neuroepithelial, or radial glial cells,
that span the neural tube from the lumen to the pial surface. |
|
Fig. 3. Effects of F-cadherin and ÆF-cadherin on convergentextension.
One blastomere at the two-cell stage was injected twice
with (A) nLacZ RNA, (B) a mixture of nLacZ and F-cadherin RNA
or (C) a mixture of nLacZ and ÆF-cadherin RNA. At late neural
plate stages the embryos were fixed and stained with X-gal to reveal
the injected side (arrow in panel B), and for for N-tubulin expression
using whole mount in situ hybridization to reveal the position of the
primary neurons (Chitnis et al., 1995). Note that injection of Fcadherin,
but not nLacZ or ÆF-cadherin RNA significantly alters CE
as revealed by the effects on the position of primary neurons. The
embryo in panel B is slightly younger in age than those shown in
Panels A and C. |
|
Fig. 4. Bin analysis of cell mixing during convergent-extension.
(A) Donor tissue, marked by injection of nLacZ RNA was
transplanted into the prospective neural plate of host embryos at the
beginning of gastrulation. (B-D) Host embryos were stained for b-
galactosidase expression to reveal the location of the transplanted
cells soon after transplantation (st. 10.5, B), at midgastrulation (st.
11, C), or at neural tube stages (st. 26, D). An arrow points to the
dorsal blastopore lip in panels B and C, while transplanted cells are
indicated by arrowhead. Note that the transplanted cells incorporate
and interact with host cells during convergent-extension. (E,F) Tissue
section of a host embryo after staining for b-galactosidase to mark
the nuclei of transplanted cells, and whole-mount in situ
hybridization for F-cadherin expression. In D, the arrowhead points
to a transplanted b-galactosidase-expressing cell. In F, the bins used
to determine the D-V distribution of transplanted cells are
diagrammed. The SL bin was positioned at the site of F-cadherin
expression. Cells that crossed the roof plate (RP) or floor plate (FP)
were assigned to bins designated with a negative sign. |
|
Fig. 5. Average distribution of donor nLacZ cells in the posterior
neural tube after convergent-extension. (A) Distribution of transplants
into the alar plate with a peak location in the bin adjacent to the roof
plate (Bin 1). (B) Distribution of transplants into the alar plate with a
peak location at the sulcus limitans (Bin SL). (C) Distribution of basal
transplants with a peak location at the bin midway between the sulcus
limitans and the floor plate (Bin 6). (D) Distribution of basal
transplants with a peak location at the sulcus limitans (Bin SL). |
|
Fig. 6. Results of a computer simulation designed to model the
distribution of cells during neural plate elongation. (A,B) Simulation
performed with the patch of cells having only default adhesion.
(C,D) Simulation performed with the patch of cells adhesive for itself
as well as the border of the array. (E,F) Simulation performed with
the patch of cells adhesive to the border but not to itself.
(A,C,E) Distribution of a patch of cells placed away from the border
of the starting array. (B,D,F) Distribution of a patch of cells placed
near the border of the starting array. |
|
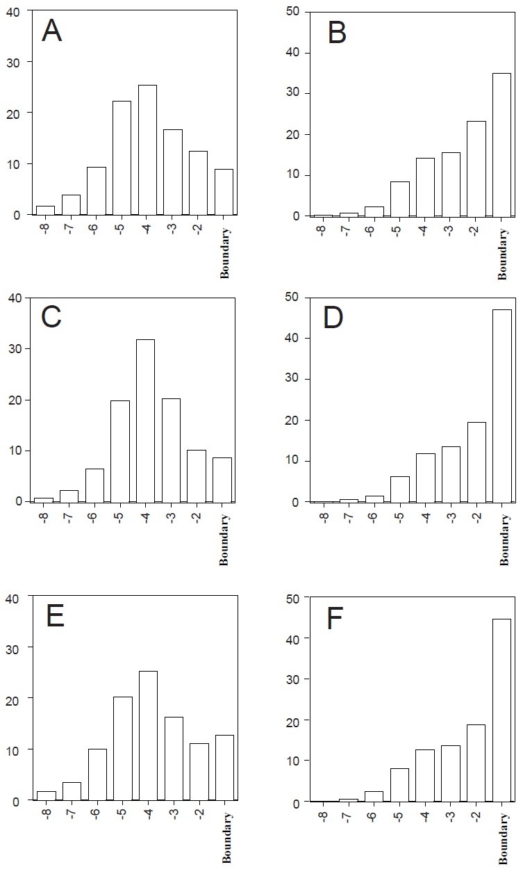
Fig. 7. Average distribution of donor F-cadherin-expressing cells in the
posterior neural tube after convergent-extension. (A) Distribution for
transplants into the alar plate with a peak location in the bin adjacent to
the roof plate (Bin 1). (B) Distribution for transplants into the alar plate
with a peak location at the sulcus limitans (Bin SL). (C) Distribution of
basal transplants with a peak location at the bin midway between the
sulcus limitans and the floor plate (Bin 6). (D) Distribution of basal
transplants with a peak location at the sulcus limitans (Bin SL). |
|
Fig. 8. Average distribution of donor ÆF-cadherin-MT-expressing cells
in the posterior neural tube after convergent-extension. (A) Distribution
for transplants into the alar plate with a peak location in the bin adjacent
to the roof plate (Bin 1). (B) Distribution for transplants into the alar
plate with a peak location at the sulcus limitans (Bin SL).
(C) Distribution of basal transplants with a peak location at the bin
midway between the sulcus limitans and the floor plate (Bin 6).
(D) Distribution of basal transplants with a peak location at the sulcus
limitans (Bin SL). |
|
Fig. 9. Average distribution of donor CBR-MT-expressing cells in the
posterior neural tube after convergent-extension. (A) Distribution of
transplants into the alar plate with a peak location in the bin adjacent to
the roof plate (Bin 1). (B) Distribution of transplants into the alar plate
with a peak location at the sulcus limitans (Bin SL). (C) Distribution of
basal transplants with a peak location at the bin midway between the
sulcus limitans and the floor plate (Bin 6). (D) Distribution of basal
transplants with a peak location at the sulcus limitans (Bin SL). |
|
Fig. 10. Computer simulation of cell dispersion during neurulation.
(A) The diagram illustrates a rearrangement step of the model, where
the dark squares represent the grid of positions of the tissue at the very
beginning of the simulation, when each grid position is occupied by a
single cell, and the light gray squares represent the tissue after the first
rearrangement step when the tissue has shrunk by one column and
elongated. The numbers in the light gray squares indicate how many
cells have ended up in those grid positions; there are grid positions
with no cells and others with more than one cell, the total number of
cells on the grid being of course the total number before the
rearrangement (8 in this example). Note that cells in the dark squares
can move to a grid position either up or down and to the left or right
(except for cells at the borders which can move up or down, but to one
side only ). After this rearrangement step of the algorithm, comes a
‘diffusion-adhesion’ step which moves cells around on the (light gray)
grid (as described in the Methods), then another rearrangement step
(from the light gray grid), and so on till the grid has converged and
extended to the desired final size. (B-C) Initial and final frames from a
simulation run. Patch cells are represented in green. Grid points may
contain more than one cell. (D) Final distribution of patch cells on the
grid, for a patch that was initially placed towards the middle of the DV
extent of the beginning grid (pooled data from 20 simulations). |