Click here to close Hello! We notice that you are using Internet Explorer, which is not supported by Xenbase and may cause the site to display incorrectly. We suggest using a current version of Chrome, FireFox, or Safari.
XB-ART-1439
J Gen Physiol 2005 Sep 01;1263:193-204. doi: 10.1085/jgp.200509292.
Show Gene links Show Anatomy links

Functional architecture of the inner pore of a voltage-gated Ca2+ channel.

Zhen XG, Xie C, Fitzmaurice A, Schoonover CE, Orenstein ET, Yang J.


???displayArticle.abstract???
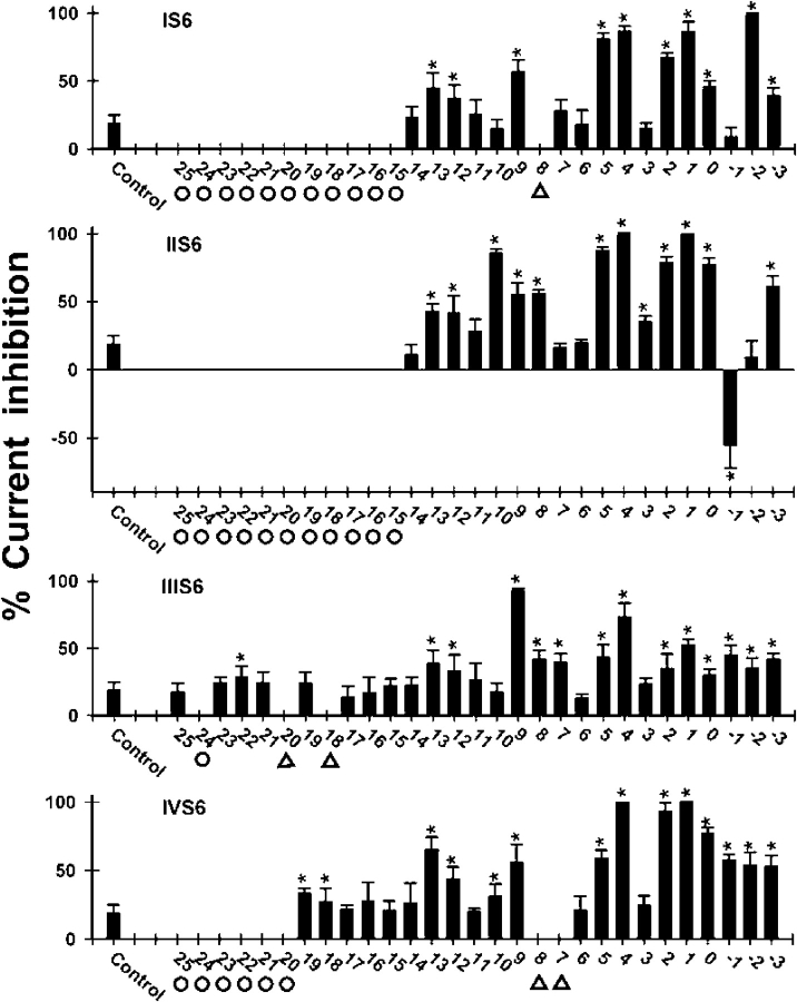
The inner pore of voltage-gated Ca2+ channels (VGCCs) is functionally important, but little is known about the architecture of this region. In K+ channels, this part of the pore is formed by the S6/M2 transmembrane segments from four symmetrically arranged subunits. The Ca2+ channel pore, however, is formed by four asymmetric domains of the same (alpha1) subunit. Here we investigated the architecture of the inner pore of P/Q-type Ca2+ channels using the substituted-cysteine accessibility method. Many positions in the S6 segments of all four repeats of the alpha1 subunit (Ca(v)2.1) were modified by internal methanethiosulfonate ethyltrimethylammonium (MTSET). However, the pattern of modification does not fit any known sequence alignment with K+ channels. In IIS6, five consecutive positions showed clear modification, suggesting a likely aqueous crevice and a loose packing between S6 and S5 segments, a notion further supported by the observation that some S5 positions were also accessible to internal MTSET. These results indicate that the inner pore of VGCCs is indeed formed by the S6 segments but is different from that of K+ channels. Interestingly some residues in IIIS6 and IVS6 whose mutations in L-type Ca2+ channels affect the binding of dihydropyridines and phenylalkylamines and are thought to face the pore appeared not to react with internal MTSET. Probing with qBBr, a rigid thiol-reactive agent with a dimension of 12 angstroms x 10 angstroms x 6 angstroms suggests that the inner pore can open to >10 angstroms. This work provides an impetus for future studies on ion permeation, gating, and drug binding of VGCCs.

???displayArticle.pubmedLink??? 16129770
???displayArticle.pmcLink??? PMC2266581
???displayArticle.link??? J Gen Physiol
???displayArticle.grants??? [+]

Species referenced: Xenopus laevis
Genes referenced: cacna1a cacna1c cav1 cav2 dhps


???attribute.lit??? ???displayArticles.show???
References [+] :
Akabas, Identification of acetylcholine receptor channel-lining residues in the entire M2 segment of the alpha subunit. 1994, Pubmed, Xenbase