|
Figure 3. Kinetics of Zn2+ inhibition and recovery are temperature sensitive. (A) Inhibition of ClC-0 by 10 μM Zn2+ at three different temperatures. (B) Inhibition of Shaker K+ channels by 20 mM TEA. The membrane potential was held at −80 mV and a 30-ms voltage pulse to +30 mV was given every second. Dotted lines in A and B represent zero-current level. (C) Comparison of the time constants of Zn2+ inhibition of ClC-0 (○ and ▵) with those of TEA inhibition of the Shaker K+ channel (• and ▴). Circles, time constants of current inhibition; triangles, time constants of current recovery (n = 4–5). |
|
Figure 1. (A) Effects of various divalent metal ions on the steady state current of the ClC-0 Cl− channel. The membrane potential of the oocyte was clamped at −30 or −40 mV. Each circle represents the current amplitude monitored by a 100-ms voltage pulse to +30 or +40 mV given every 5 or 6 s. Dotted lines show zero-current level. Solutions containing desired concentrations of various heavy metal ions were perfused in (downward arrows) and out (upward arrows), as indicated. (B) Concentration-dependent inhibition of the steady state current by Zn2+. Holding potential was at −30 mV. Continuous recording at 27.4°C for more than 50 min. |
|
Figure 4. The slow-gating relaxation rate of ClC-0 is sensitive to both temperature and extracellular Zn2+. Dotted lines show zero-current level. Solid curves were the best fit to single-exponential functions. Time constants at 0, 10, and 100 μM Zn2+ were: (23.1°C) 332.9, 81.2, and 17.6 s; (26.5°C) 109.3, 27.9, and 8.1 s; and (30.0°C) 25.4, 6.0, and 2.4 s, respectively. |
|
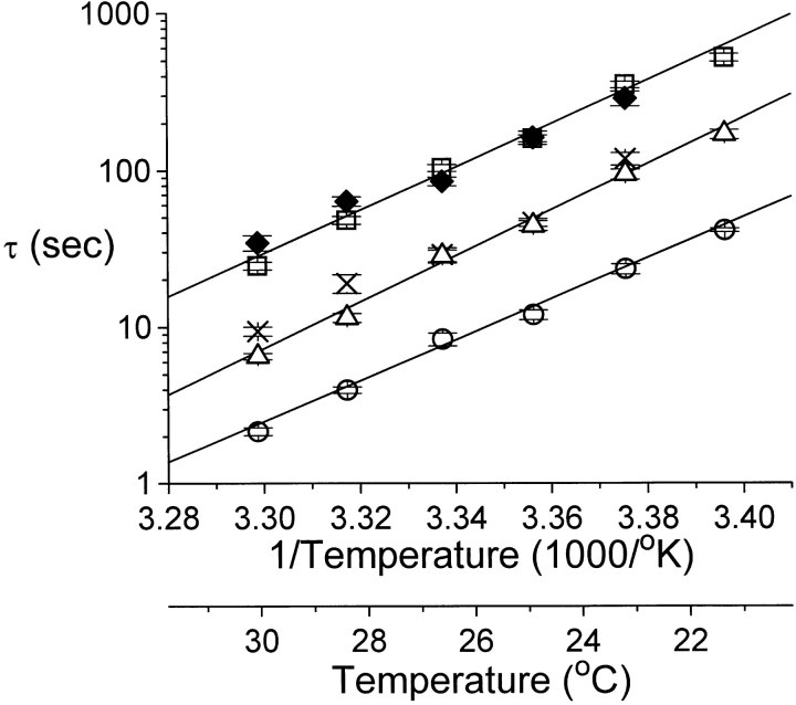
Figure 5. Arrhenius plot of the slow-gating relaxation time constants in various external [Zn2+]. The time constant τ of the slow-gating relaxation was evaluated from experiments similar to those shown in Fig. 4 (n = 7–8). Solid lines were the best fit to Y = A + BX, where Y is log10(τ) and X is the inverse of temperature. External [Zn2+] (μM) and the Q10s of the fitted lines were: (□) 0, 36.5; (▵) 10, 46.2; (○) 100, 29.7. × and ♦ are the time constants of Zn2+ inhibition and recovery shown in Fig. 3 C. |
|
Figure 6. Slow-gating relaxation rate as a function of external [Zn2+]. Data points were fitted to Y = Yo + X · Y∞/(X + K1/2). The fitted K1/2s (μM) and Y∞/Yo were: (21.3°C, □) 33.2, 29.2; (23.1°C, ○) 40.4, 35.9; (24.8°C, ▵) 39.0, 26.3; (26.5°C, ▪) 26.6, 27.5; (28.3°C, •) 22.0, 18.6; (30.0°C, ▴) 21.5, 18.7. The increase of the inactivation rate by Zn2+, if all comes from the activation entropy, corresponds to an increase of ΔS of 24.3–29.8 J/mol per °K (see text for detailed discussion). |
|
Scheme I. |
|
Figure 7. Effects of Zn2+ on the quasi–steady state activation curve of the slow gate. (A) Family of current traces elicited at 0, 10, and 100 μM Zn2+ with a voltage protocol shown on top. All traces were from the same oocyte at 24.0°C. The membrane potential was first held at −30 mV for the slow gating to reach steady state before each experiment started. Horizontal dotted lines indicate level of zero current. (B) Quasi–steady state activation curves at various Zn2+ concentrations from the experiment shown in A. The current amplitudes were measured at the vertical dotted line shown in B. □, ○, and ▵ represent control, 10, and 100 μM Zn2+, respectively. (C) Averaged quasi–steady state activation curves at 19.8, 24.0, and 28.3°C. Symbols are as those in B (n = 3–5). |
|
Figure 8. Simulation for the effect of Zn2+ on the quasi– steady state activation curve of the slow gate. Activation curves were generated based on Scheme SI (A) and Scheme III (B) in the presence of 0, 10, and 100 μM Zn2+ at 20° (left), 24° (middle), and 28°C (right). The ratio of the occupation probability of any two states, A and B, is assumed to be of the form: 1/KAB = PA/PB = exp(−ΔGAB/RT) = exp(ΔSAB/R − ΔHAB/RT + zABVF/RT), where KAB is the equilibrium constant, and ΔGAB, ΔSAB, and ΔHAB are the difference in Gibbs free energy, entropy, and enthalpy between the two states, respectively. R, T, and F have their usual meanings. V is the membrane voltage and zAB is the “gating valence” describing the voltage dependence of the transition A ↔ B. The values of the above parameters in the absence of Zn2+ were the same as those in a previous paper (Pusch et al., 1997) except for ΔHO1O2. They are shown as follows (ΔH in kJ/mol, ΔS in kJ/mol/°K): (A) ΔHOI = −80, ΔSOI = −0.29, zOI = −2; (B) ΔHO1I1 = −77, ΔSO1I1 = −0.26, zO1I1 = 0, ΔHO1O2 = 10, ΔSO1O2 = 0, zO1O2 = −2, ΔHO2I2 = −78, ΔSO2I2 = −0.27, zO2I2 = 0. Assigning 10 kJ/mol for ΔHO1O2 makes all curves in B shift to the left by ∼40 mV so that the curves from modeling are more similar to the experimental data with respect to their positions along the voltage axis. It does not affect the effect of Zn2+, which shifts the curve from top to bottom. Even with this adjustment, the assigned values in B do not provide a superb prediction for the plateau at positive voltages as they give a much larger noninactivated fractional current than the data shown in Fig. 7. This difference is not important since the pattern of Zn2+ inhibition is basically the same as that in the experimental data. The numbers 0, 10, and 100 indicate Zn2+ concentrations. |
|
Scheme II. |