XB-ART-12931
J Gen Physiol
1999 Jun 01;1136:873-95.
Show Gene links
Show Anatomy links
Opening mechanism of a cyclic nucleotide-gated channel based on analysis of single channels locked in each liganded state.
Ruiz M, Karpen JW.
???displayArticle.abstract???
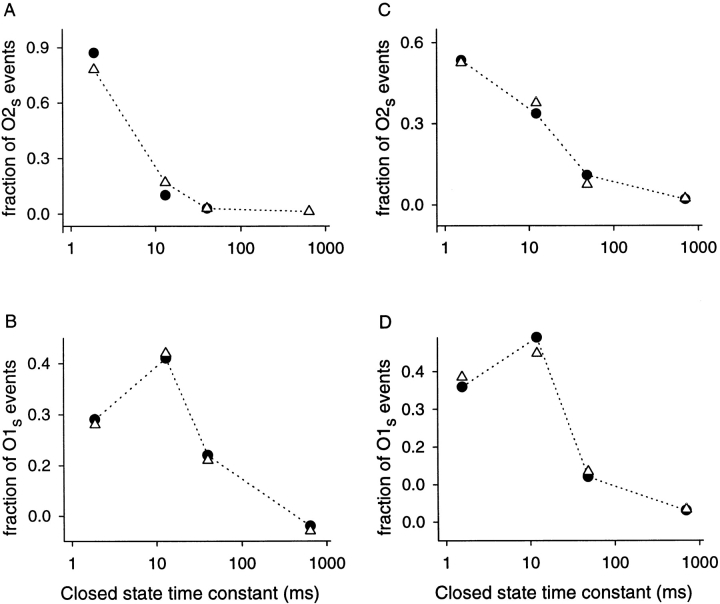
Cyclic nucleotide-gated channels contain four subunits, each with a binding site for cGMP or cAMP in the cytoplasmic COOH-terminal domain. Previous studies of the kinetic mechanism of activation have been hampered by the complication that ligands are continuously binding and unbinding at each of these sites. Thus, even at the single channel level, it has been difficult to distinguish changes in behavior that arise from a channel with a fixed number of ligands bound from those that occur upon the binding and unbinding of ligands. For example, it is often assumed that complex behaviors like multiple conductance levels and bursting occur only as a consequence of changes in the number of bound ligands. We have overcome these ambiguities by covalently tethering one ligand at a time to single rod cyclic nucleotide-gated channels (Ruiz, ML., and J.W. Karpen. 1997. Nature. 389:389-392). We find that with a fixed number of ligands locked in place the channel freely moves between three conductance states and undergoes bursting behavior. Furthermore, a thorough kinetic analysis of channels locked in doubly, triply, and fully liganded states reveals more than one kinetically distinguishable state at each conductance level. Thus, even when the channel contains a fixed number of bound ligands, it can assume at least nine distinct states. Such complex behavior is inconsistent with simple concerted or sequential allosteric models. The data at each level of liganding can be successfully described by the same connected state model (with different rate constants), suggesting that the channel undergoes the same set of conformational changes regardless of the number of bound ligands. A general allosteric model, which postulates one conformational change per subunit in both the absence and presence of ligand, comes close to providing enough kinetically distinct states. We propose an extension of this model, in which more than one conformational change per subunit can occur during the process of channel activation.
???displayArticle.pubmedLink??? 10352036
???displayArticle.pmcLink??? PMC2225602
???displayArticle.grants??? [+]
Species referenced: Xenopus laevis
Genes referenced: camp gnao1 tbx2
???attribute.lit??? ???displayArticles.show???
References [+] :
Biel,
Molecular cloning and expression of the Modulatory subunit of the cyclic nucleotide-gated cation channel.
1996, Pubmed
Biel, Molecular cloning and expression of the Modulatory subunit of the cyclic nucleotide-gated cation channel. 1996, Pubmed
Bradley, Heteromeric olfactory cyclic nucleotide-gated channels: a subunit that confers increased sensitivity to cAMP. 1994, Pubmed
Brown, Movement of gating machinery during the activation of rod cyclic nucleotide-gated channels. 1998, Pubmed , Xenbase
Brown, Specific labeling and permanent activation of the retinal rod cGMP-activated channel by the photoaffinity analog 8-p-azidophenacylthio-cGMP. 1993, Pubmed
Brown, Cyclic GMP contact points within the 63-kDa subunit and a 240-kDa associated protein of retinal rod cGMP-activated channels. 1995, Pubmed
Bucossi, Single-channel properties of ionic channels gated by cyclic nucleotides. 1997, Pubmed , Xenbase
Chen, A new subunit of the cyclic nucleotide-gated cation channel in retinal rods. 1993, Pubmed , Xenbase
Cox, Allosteric gating of a large conductance Ca-activated K+ channel. 1997, Pubmed , Xenbase
Dhallan, Primary structure and functional expression of a cyclic nucleotide-activated channel from olfactory neurons. 1990, Pubmed
Eigen, New looks and outlooks on physical enzymology. 1968, Pubmed
Fesenko, Induction by cyclic GMP of cationic conductance in plasma membrane of retinal rod outer segment. , Pubmed
Finn, Cyclic nucleotide-gated ion channels: an extended family with diverse functions. 1996, Pubmed
Gordon, Direct interaction between amino- and carboxyl-terminal domains of cyclic nucleotide-gated channels. 1997, Pubmed
Gordon, Localization of regions affecting an allosteric transition in cyclic nucleotide-activated channels. 1995, Pubmed , Xenbase
Gordon, Subunit interactions in coordination of Ni2+ in cyclic nucleotide-gated channels. 1995, Pubmed , Xenbase
Goulding, Role of H5 domain in determining pore diameter and ion permeation through cyclic nucleotide-gated channels. 1993, Pubmed , Xenbase
Goulding, Molecular cloning and single-channel properties of the cyclic nucleotide-gated channel from catfish olfactory neurons. 1992, Pubmed
Goulding, Molecular mechanism of cyclic-nucleotide-gated channel activation. 1994, Pubmed , Xenbase
Hanke, cGMP-dependent channel protein from photoreceptor membranes: single-channel activity of the purified and reconstituted protein. 1988, Pubmed
Haynes, Single cyclic GMP-activated channel activity in excised patches of rod outer segment membrane. , Pubmed
Howe, Currents through single glutamate receptor channels in outside-out patches from rat cerebellar granule cells. 1991, Pubmed
Ildefonse, Single-channel study of the cGMP-dependent conductance of retinal rods from incorporation of native vesicles into planar lipid bilayers. 1991, Pubmed
Karpen, Gating kinetics of the cyclic-GMP-activated channel of retinal rods: flash photolysis and voltage-jump studies. 1988, Pubmed
Karpen, Covalent activation of retinal rod cGMP-gated channels reveals a functional heterogeneity in the ligand binding sites. 1996, Pubmed , Xenbase
Kaupp, Primary structure and functional expression from complementary DNA of the rod photoreceptor cyclic GMP-gated channel. 1989, Pubmed , Xenbase
Körschen, A 240 kDa protein represents the complete beta subunit of the cyclic nucleotide-gated channel from rod photoreceptor. 1995, Pubmed
Koshland, Comparison of experimental binding data and theoretical models in proteins containing subunits. 1966, Pubmed
Liman, A second subunit of the olfactory cyclic nucleotide-gated channel confers high sensitivity to cAMP. 1994, Pubmed , Xenbase
Liu, Subunit stoichiometry of cyclic nucleotide-gated channels and effects of subunit order on channel function. 1996, Pubmed
Liu, Constraining ligand-binding site stoichiometry suggests that a cyclic nucleotide-gated channel is composed of two functional dimers. 1998, Pubmed
Liu, Calcium-calmodulin modulation of the olfactory cyclic nucleotide-gated cation channel. 1994, Pubmed
Magleby, Dependency plots suggest the kinetic structure of ion channels. 1992, Pubmed
Matthews, Activation of single ion channels from toad retinal rod inner segments by cyclic GMP: concentration dependence. 1988, Pubmed
Molokanova, Modulation of rod photoreceptor cyclic nucleotide-gated channels by tyrosine phosphorylation. 1997, Pubmed , Xenbase
MONOD, ON THE NATURE OF ALLOSTERIC TRANSITIONS: A PLAUSIBLE MODEL. 1965, Pubmed
Nakamura, A cyclic nucleotide-gated conductance in olfactory receptor cilia. , Pubmed
Nakatani, Guanosine 3',5'-cyclic monophosphate-activated conductance studied in a truncated rod outer segment of the toad. 1988, Pubmed
Nizzari, Single-channel properties of cloned cGMP-activated channels from retinal rods. 1993, Pubmed , Xenbase
Picco, Modulation by internal protons of native cyclic nucleotide-gated channels from retinal rods. 1996, Pubmed
Picones, Spontaneous, ligand-independent activity of the cGMP-gated ion channels in cone photoreceptors of fish. 1995, Pubmed
Root, Two identical noninteracting sites in an ion channel revealed by proton transfer. 1994, Pubmed , Xenbase
Rosenmund, The tetrameric structure of a glutamate receptor channel. 1998, Pubmed
Rothberg, Two-dimensional components and hidden dependencies provide insight into ion channel gating mechanisms. 1997, Pubmed
Ruiz, The single-channel dose-response relation is consistently steep for rod cyclic nucleotide-gated channels: implications for the interpretation of macroscopic dose-response relations. 1999, Pubmed , Xenbase
Ruiz, Single cyclic nucleotide-gated channels locked in different ligand-bound states. 1997, Pubmed , Xenbase
Sigworth, Data transformations for improved display and fitting of single-channel dwell time histograms. 1987, Pubmed
Tanaka, The effects of protons on 3',5'-cGMP-activated currents in photoreceptor patches. 1993, Pubmed
Taylor, Conductance and kinetics of single cGMP-activated channels in salamander rod outer segments. 1995, Pubmed
Tibbs, Allosteric activation and tuning of ligand efficacy in cyclic-nucleotide-gated channels. 1997, Pubmed , Xenbase
Varnum, Interdomain interactions underlying activation of cyclic nucleotide-gated channels. 1997, Pubmed , Xenbase
Varnum, Subunit interactions in the activation of cyclic nucleotide-gated ion channels. 1996, Pubmed
Varnum, Molecular mechanism for ligand discrimination of cyclic nucleotide-gated channels. 1995, Pubmed
Zagotta, Shaker potassium channel gating. III: Evaluation of kinetic models for activation. 1994, Pubmed , Xenbase
Zimmerman, Cyclic GMP-sensitive conductance of retinal rods consists of aqueous pores. , Pubmed
Zimmerman, Cyclic nucleotide gated channels. 1995, Pubmed
Zong, Three amino acids in the C-linker are major determinants of gating in cyclic nucleotide-gated channels. 1998, Pubmed
