XB-ART-12569
J Gen Physiol
1999 Aug 01;1142:277-304.
Show Gene links
Show Anatomy links
Allosteric voltage gating of potassium channels I. Mslo ionic currents in the absence of Ca(2+).
Horrigan FT, Cui J, Aldrich RW.
???displayArticle.abstract???
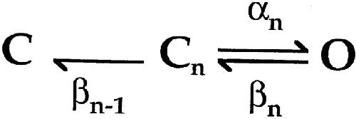
Activation of large conductance Ca(2+)-activated K(+) channels is controlled by both cytoplasmic Ca(2+) and membrane potential. To study the mechanism of voltage-dependent gating, we examined mSlo Ca(2+)-activated K(+) currents in excised macropatches from Xenopus oocytes in the virtual absence of Ca(2+) (<1 nM). In response to a voltage step, I(K) activates with an exponential time course, following a brief delay. The delay suggests that rapid transitions precede channel opening. The later exponential time course suggests that activation also involves a slower rate-limiting step. However, the time constant of I(K) relaxation [tau(I(K))] exhibits a complex voltage dependence that is inconsistent with models that contain a single rate limiting step. tau(I(K)) increases weakly with voltage from -500 to -20 mV, with an equivalent charge (z) of only 0.14 e, and displays a stronger voltage dependence from +30 to +140 mV (z = 0.49 e), which then decreases from +180 to +240 mV (z = -0.29 e). Similarly, the steady state G(K)-V relationship exhibits a maximum voltage dependence (z = 2 e) from 0 to +100 mV, and is weakly voltage dependent (z congruent with 0.4 e) at more negative voltages, where P(o) = 10(-5)-10(-6). These results can be understood in terms of a gating scheme where a central transition between a closed and an open conformation is allosterically regulated by the state of four independent and identical voltage sensors. In the absence of Ca(2+), this allosteric mechanism results in a gating scheme with five closed (C) and five open (O) states, where the majority of the channel's voltage dependence results from rapid C-C and O-O transitions, whereas the C-O transitions are rate limiting and weakly voltage dependent. These conclusions not only provide a framework for interpreting studies of large conductance Ca(2+)-activated K(+) channel voltage gating, but also have important implications for understanding the mechanism of Ca(2+) sensitivity.
???displayArticle.pubmedLink??? 10436003
???displayArticle.pmcLink??? PMC2230643
???displayArticle.grants??? [+]
MH48108 NIMH NIH HHS, NS23294 NINDS NIH HHS
Species referenced: Xenopus
???attribute.lit??? ???displayArticles.show???
References [+] :
Aggarwal,
Contribution of the S4 segment to gating charge in the Shaker K+ channel.
1996, Pubmed,
Xenbase
Aggarwal, Contribution of the S4 segment to gating charge in the Shaker K+ channel. 1996, Pubmed , Xenbase
Almers, Gating currents and charge movements in excitable membranes. 1978, Pubmed
Armstrong, Charge movement associated with the opening and closing of the activation gates of the Na channels. 1974, Pubmed
Bao, Voltage-insensitive gating after charge-neutralizing mutations in the S4 segment of Shaker channels. 1999, Pubmed , Xenbase
Barrett, Properties of single calcium-activated potassium channels in cultured rat muscle. 1982, Pubmed
Bielefeldt, A calcium-activated potassium channel causes frequency-dependent action-potential failures in a mammalian nerve terminal. 1993, Pubmed
Brayden, Regulation of arterial tone by activation of calcium-dependent potassium channels. 1992, Pubmed
COLE, Potassium ion current in the squid giant axon: dynamic characteristic. 1960, Pubmed
Colquhoun, Relaxation and fluctuations of membrane currents that flow through drug-operated channels. 1977, Pubmed
Cox, Separation of gating properties from permeation and block in mslo large conductance Ca-activated K+ channels. 1997, Pubmed
Cox, Allosteric gating of a large conductance Ca-activated K+ channel. 1997, Pubmed , Xenbase
Crest, Large conductance Ca(2+)-activated K+ channels are involved in both spike shaping and firing regulation in Helix neurones. 1993, Pubmed
Cui, Intrinsic voltage dependence and Ca2+ regulation of mslo large conductance Ca-activated K+ channels. 1997, Pubmed , Xenbase
Diaz, Interaction of internal Ba2+ with a cloned Ca(2+)-dependent K+ (hslo) channel from smooth muscle. 1996, Pubmed , Xenbase
Díaz, Role of the S4 segment in a voltage-dependent calcium-sensitive potassium (hSlo) channel. 1998, Pubmed , Xenbase
DiChiara, Distinct effects of Ca2+ and voltage on the activation and deactivation of cloned Ca(2+)-activated K+ channels. 1995, Pubmed , Xenbase
DiChiara, Redox modulation of hslo Ca2+-activated K+ channels. 1997, Pubmed , Xenbase
Gorman, Potassium conductance and internal calcium accumulation in a molluscan neurone. 1980, Pubmed
Hamill, Improved patch-clamp techniques for high-resolution current recording from cells and cell-free membrane patches. 1981, Pubmed
Hirschberg, Transfer of twelve charges is needed to open skeletal muscle Na+ channels. 1995, Pubmed , Xenbase
HODGKIN, A quantitative description of membrane current and its application to conduction and excitation in nerve. 1952, Pubmed
Holmgren, The activation gate of a voltage-gated K+ channel can be trapped in the open state by an intersubunit metal bridge. 1998, Pubmed
Horrigan, Allosteric voltage gating of potassium channels II. Mslo channel gating charge movement in the absence of Ca(2+). 1999, Pubmed
Hudspeth, Kinetic analysis of voltage- and ion-dependent conductances in saccular hair cells of the bull-frog, Rana catesbeiana. 1988, Pubmed
Lancaster, Calcium activates two types of potassium channels in rat hippocampal neurons in culture. 1991, Pubmed
Larsson, Transmembrane movement of the shaker K+ channel S4. 1996, Pubmed , Xenbase
Latorre, Reconstitution in planar lipid bilayers of a Ca2+-dependent K+ channel from transverse tubule membranes isolated from rabbit skeletal muscle. 1982, Pubmed
Ledwell, Mutations in the S4 region isolate the final voltage-dependent cooperative step in potassium channel activation. 1999, Pubmed , Xenbase
Lewis, Voltage- and ion-dependent conductances in solitary vertebrate hair cells. , Pubmed
Liu, Gated access to the pore of a voltage-dependent K+ channel. 1997, Pubmed
Magleby, Calcium dependence of open and shut interval distributions from calcium-activated potassium channels in cultured rat muscle. 1983, Pubmed
Magleby, Burst kinetics of single calcium-activated potassium channels in cultured rat muscle. 1983, Pubmed
Mannuzzu, Direct physical measure of conformational rearrangement underlying potassium channel gating. 1996, Pubmed , Xenbase
Marks, Calcium currents in the A7r5 smooth muscle-derived cell line. An allosteric model for calcium channel activation and dihydropyridine agonist action. 1992, Pubmed
Marrion, Selective activation of Ca2+-activated K+ channels by co-localized Ca2+ channels in hippocampal neurons. 1998, Pubmed
Marty, Ca-dependent K channels with large unitary conductance in chromaffin cell membranes. 1981, Pubmed
McCormack, A characterization of the activating structural rearrangements in voltage-dependent Shaker K+ channels. 1994, Pubmed
McManus, Accounting for the Ca(2+)-dependent kinetics of single large-conductance Ca(2+)-activated K+ channels in rat skeletal muscle. 1991, Pubmed
Meera, A calcium switch for the functional coupling between alpha (hslo) and beta subunits (KV,Ca beta) of maxi K channels. 1996, Pubmed , Xenbase
Methfessel, The gating of single calcium-dependent potassium channels is described by an activation/blockade mechanism. 1982, Pubmed
Moczydlowski, Gating kinetics of Ca2+-activated K+ channels from rat muscle incorporated into planar lipid bilayers. Evidence for two voltage-dependent Ca2+ binding reactions. 1983, Pubmed
MONOD, ON THE NATURE OF ALLOSTERIC TRANSITIONS: A PLAUSIBLE MODEL. 1965, Pubmed
Nelson, Relaxation of arterial smooth muscle by calcium sparks. 1995, Pubmed
Neyton, A Ba2+ chelator suppresses long shut events in fully activated high-conductance Ca(2+)-dependent K+ channels. 1996, Pubmed
Noceti, Effective gating charges per channel in voltage-dependent K+ and Ca2+ channels. 1996, Pubmed , Xenbase
Pallotta, Single channel recordings of Ca2+-activated K+ currents in rat muscle cell culture. 1981, Pubmed
Perozo, Three-dimensional architecture and gating mechanism of a K+ channel studied by EPR spectroscopy. 1998, Pubmed
Perozo, Gating currents in Shaker K+ channels. Implications for activation and inactivation models. 1992, Pubmed , Xenbase
Perutz, Mechanisms of cooperativity and allosteric regulation in proteins. 1989, Pubmed
Petersen, Calcium-activated potassium channels and their role in secretion. , Pubmed
Ríos, An allosteric model of the molecular interactions of excitation-contraction coupling in skeletal muscle. 1993, Pubmed
Robitaille, Functional colocalization of calcium and calcium-gated potassium channels in control of transmitter release. 1993, Pubmed
Rothberg, Kinetic structure of large-conductance Ca2+-activated K+ channels suggests that the gating includes transitions through intermediate or secondary states. A mechanism for flickers. 1998, Pubmed
Safronov, Large conductance Ca(2+)-activated K+ channels in the soma of rat motoneurones. 1998, Pubmed
Schoppa, The size of gating charge in wild-type and mutant Shaker potassium channels. 1992, Pubmed
Schoppa, Activation of shaker potassium channels. I. Characterization of voltage-dependent transitions. 1998, Pubmed , Xenbase
Schoppa, Activation of Shaker potassium channels. III. An activation gating model for wild-type and V2 mutant channels. 1998, Pubmed , Xenbase
Schreiber, A novel calcium-sensing domain in the BK channel. 1997, Pubmed , Xenbase
Schreiber, Transplantable sites confer calcium sensitivity to BK channels. 1999, Pubmed , Xenbase
Seoh, Voltage-sensing residues in the S2 and S4 segments of the Shaker K+ channel. 1996, Pubmed , Xenbase
Shen, Tetraethylammonium block of Slowpoke calcium-activated potassium channels expressed in Xenopus oocytes: evidence for tetrameric channel formation. 1994, Pubmed , Xenbase
Sigg, Total charge movement per channel. The relation between gating charge displacement and the voltage sensitivity of activation. 1997, Pubmed
Sigworth, Voltage gating of ion channels. 1994, Pubmed
Sigworth, Ion channels. Analysis of nonstationary single-channel currents. 1992, Pubmed , Xenbase
Smith-Maxwell, Uncharged S4 residues and cooperativity in voltage-dependent potassium channel activation. 1998, Pubmed , Xenbase
Stefani, Voltage-controlled gating in a large conductance Ca2+-sensitive K+channel (hslo). 1997, Pubmed , Xenbase
Storm, Action potential repolarization and a fast after-hyperpolarization in rat hippocampal pyramidal cells. 1987, Pubmed
Tytgat, Evidence for cooperative interactions in potassium channel gating. 1992, Pubmed , Xenbase
Unwin, The nicotinic acetylcholine receptor of the Torpedo electric ray. 1998, Pubmed
Unwin, Arrangement of the acetylcholine receptor subunits in the resting and desensitized states, determined by cryoelectron microscopy of crystallized Torpedo postsynaptic membranes. 1988, Pubmed
Unwin, Two configurations of a channel-forming membrane protein. , Pubmed
Vandenberg, A sodium channel gating model based on single channel, macroscopic ionic, and gating currents in the squid giant axon. 1991, Pubmed
Wei, Calcium sensitivity of BK-type KCa channels determined by a separable domain. 1994, Pubmed
Yang, Evidence for voltage-dependent S4 movement in sodium channels. 1995, Pubmed
Yang, Molecular basis of charge movement in voltage-gated sodium channels. 1996, Pubmed
Yazejian, Direct measurements of presynaptic calcium and calcium-activated potassium currents regulating neurotransmitter release at cultured Xenopus nerve-muscle synapses. 1997, Pubmed , Xenbase
Yusaf, Measurement of the movement of the S4 segment during the activation of a voltage-gated potassium channel. 1996, Pubmed , Xenbase
Zagotta, Shaker potassium channel gating. II: Transitions in the activation pathway. 1994, Pubmed , Xenbase
Zagotta, Shaker potassium channel gating. III: Evaluation of kinetic models for activation. 1994, Pubmed , Xenbase
