Click here to close
Hello! We notice that you are using Internet Explorer, which is not supported by Xenbase and may cause the site to display incorrectly.
We suggest using a current version of Chrome,
FireFox, or Safari.
???displayArticle.abstract???
Xenopus ectodermal explants (animal caps) begin to elongate after treatment with the mesoderm inducing factor activin A. This phenomenon mimics the convergent extension of dorsal mesoderm during gastrulation. To analyze the relationship between elongation movement and muscle differentiation, animal caps were treated with colchicine, taxol, cytochalasin B and hydroxyurea (HUA)/aphidicolin following activin treatment. Cytochalasin B disrupted the organization of actin filaments and inhibited the elongation of the activin-treated explants. Muscle differentiation was also inhibited in these explants at the histologic and molecular levels. Colchicine and taxol, which are known to affect microtubule organization, had little effect on elongation of the activin-treated exp ants. Co-treatment with HUA and aphidicolin caused serious damage on the explants and they did not undergo elongation. These results suggest that actin filaments play an important role in the elongation movement that leads to muscle differentiation of activin-treated explants.
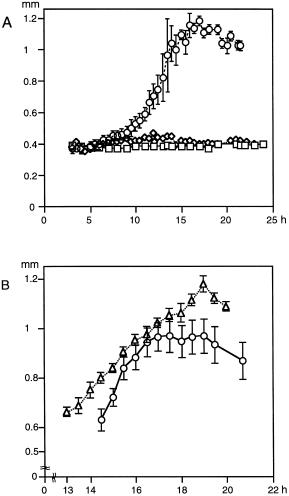
Figure 1. Time-course of elongation of the animal caps in response to different concentrations of activin A. Elongation is not observed in the 0 and 0.5 ng/mL activin-treated explants (A). Explants treated with activin A at 5 and 10 ng/mL begin to elongate at about 6 h after dissection (A,B). The 10 ng/mL activin-treated explants elongated more consistently than the explants treated with 5 ng/mL activin A, and when they reached their maximum length they began to contract. Means ± standard error (SE) are given; n = 4 in all cases. (â¡), Control; (â), activin 0.5 ng/mL; (â), activin 5 ng/mL.
Figure 2. External view of the animal cap explants treated with activin A and drugs. Explants were photographed at 15 h after dissection. The square area in each photograph shows the explants without activin treatment. (A) 10 ng/mL activin A treatment, (B) activin A and 1 μmol/L colchicine treatment, (C) activin A and 10 μmol/L colchicine treatment, (D) activin A and 2 μg/mL taxol treatment, (E) activin A and 20 μg/mL taxol treatment, (F) activin A and 2 mmol/L HUA/5 μg/mL aphidicolin treatment, (G) activin A and 20 mmol/L HUA/50 μg/mL aphidicolin treatment, (H) activin A and 1 μmol/L CCB treatment, (I) activin A and 10 μmol/L CCB treatment. Colchicine and taxol did not inhibit elongation of the activin-treated explants, but CCB significantly inhibited elongation. Explants treated with HUA/aphidicolin did not elongate, and they became fragile. Bar, 0.5 mm.
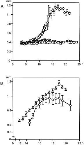
Figure 3. Effects of drugs on elongation of activin-treated animal caps. Activin-treated explants were incubated with colchicine (A), taxol (B), HUA/aphidicolin (C), and CCB (D). The length of the explants was measured at 3, 9 and 15 h after dissection from the embryo. Means ± SE are given; n⥠38 in all cases.
Figure 4. Histologic sections of animal cap explants. No mesodermal or neural derivatives were found in untreated animal caps (A). A cement gland was found in the 2.5 μmol/L CCB-treated animal caps (B). Both (A) and (B) formed irregular-shaped epidermis (atypical epidermis). Activin A at 10 ng/mL induced mesenchyme, muscle and neural tissues in animal caps (C). Muscle formation in these activin-treated explants was decreased by 2.5 μmol/L CCB treatment (D). ae, atypical epidermis; cg, cement gland; epi, epidermis; mes, mesenchyme; mus, muscle; neu, neural tissue. Bar, 100 μm.
Figure 5. Changes in specific gene expression in animal cap explants. Animal caps were treated with or without 10 ng/mL activin for 3 h, and then cultured in 2.5 μmol/L CCB for the next 3 h. The CCB (–) explants were cultured in SS containing DMSO diluted 1:1600 instead of CCB. Expression of marker genes was tested by RT-PCR. Explants were harvested immediately after CCB treatment (6 h), at 3 h after CCB treatment (9 h; A) or after 3 days of culture (B). (A) Expression of Xbra and XmyoD was decreased in the CCB-treated explants, but expression of Chordin (Chd) and Xwnt-8 was unchanged. (B) Expression of the muscle marker, ms-actin, and the posterior neural marker, XlHbox6, were suppressed in activin/CCB-treated explants as compared with activin-treated explants. On the other hand, expression of the cement gland marker, XAG1, and the anterior neural marker, Xotx2, was enhanced. WE, whole embryo.
Figure 6. Organization of actin filaments in animal cap explants. (A,D,G) untreated control animal caps; (B,E,H) activin-treated animal caps; (C,F,I) activin/CCB-treated animal caps; h indicates the time after dissection of the animal caps from the embryo. Organization of the actin filaments was disrupted in the activin/CCB-treated animal caps at 4 h (C). At 9 h (3 h after CCB removal), cortical actin filaments had begun to reorganize (arrow heads in F). Bar, 20 μm.