XB-ART-12092
J Gen Physiol
1999 Nov 01;1145:673-84.
Show Gene links
Show Anatomy links
Synergistic activation of G protein-gated inwardly rectifying potassium channels by the betagamma subunits of G proteins and Na(+) and Mg(2+) ions.
Petit-Jacques J, Sui JL, Logothetis DE.
???displayArticle.abstract???
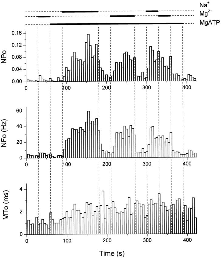
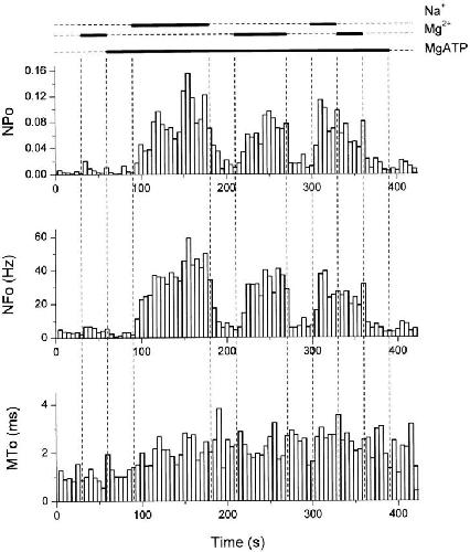
Native and recombinant G protein-gated inwardly rectifying potassium (GIRK) channels are directly activated by the betagamma subunits of GTP-binding (G) proteins. The presence of phosphatidylinositol-bis-phosphate (PIP(2)) is required for G protein activation. Formation (via hydrolysis of ATP) of endogenous PIP(2) or application of exogenous PIP(2) increases the mean open time of GIRK channels and sensitizes them to gating by internal Na(+) ions. In the present study, we show that the activity of ATP- or PIP(2)-modified channels could also be stimulated by intracellular Mg(2+) ions. In addition, Mg(2+) ions reduced the single-channel conductance of GIRK channels, independently of their gating ability. Both Na(+) and Mg(2+) ions exert their gating effects independently of each other or of the activation by the G(betagamma) subunits. At high levels of PIP(2), synergistic interactions among Na(+), Mg(2+), and G(betagamma) subunits resulted in severalfold stimulated levels of channel activity. Changes in ionic concentrations and/or G protein subunits in the local environment of these K(+) channels could provide a rapid amplification mechanism for generation of graded activity, thereby adjusting the level of excitability of the cells.
???displayArticle.pubmedLink??? 10532964
???displayArticle.pmcLink??? PMC2230539
???displayArticle.grants??? [+]
Species referenced: Xenopus
Genes referenced: bag3 kcnj3 kcnj5
???attribute.lit??? ???displayArticles.show???
References [+] :
Baukrowitz, PIP2 and PIP as determinants for ATP inhibition of KATP channels. 1998, Pubmed , Xenbase
Chan, A recombinant inwardly rectifying potassium channel coupled to GTP-binding proteins. 1996, Pubmed , Xenbase
Chen, A region of adenylyl cyclase 2 critical for regulation by G protein beta gamma subunits. 1995, Pubmed
Chuang, Regulation of IRK3 inward rectifier K+ channel by m1 acetylcholine receptor and intracellular magnesium. 1997, Pubmed , Xenbase
Corey, Number and stoichiometry of subunits in the native atrial G-protein-gated K+ channel, IKACh. 1998, Pubmed
Fan, Anionic phospholipids activate ATP-sensitive potassium channels. 1997, Pubmed
Flanagan, The structure of divalent cation-induced aggregates of PIP2 and their alteration by gelsolin and tau. 1997, Pubmed
Hamill, Improved patch-clamp techniques for high-resolution current recording from cells and cell-free membrane patches. 1981, Pubmed
He, Identification of a potassium channel site that interacts with G protein betagamma subunits to mediate agonist-induced signaling. 1999, Pubmed
Hilgemann, Regulation of cardiac Na+,Ca2+ exchange and KATP potassium channels by PIP2. 1996, Pubmed
Ho, Molecular determinants for sodium-dependent activation of G protein-gated K+ channels. 1999, Pubmed , Xenbase
Huang, Evidence that direct binding of G beta gamma to the GIRK1 G protein-gated inwardly rectifying K+ channel is important for channel activation. 1995, Pubmed , Xenbase
Huang, Binding of the G protein betagamma subunit to multiple regions of G protein-gated inward-rectifying K+ channels. 1997, Pubmed
Huang, Direct activation of inward rectifier potassium channels by PIP2 and its stabilization by Gbetagamma. 1998, Pubmed , Xenbase
Isenberg, Calcium tolerant ventricular myocytes prepared by preincubation in a "KB medium". 1982, Pubmed
Koch, The binding site for the beta gamma subunits of heterotrimeric G proteins on the beta-adrenergic receptor kinase. 1993, Pubmed
Krapivinsky, The G-protein-gated atrial K+ channel IKACh is a heteromultimer of two inwardly rectifying K(+)-channel proteins. 1995, Pubmed , Xenbase
Krapivinsky, G beta gamma binds directly to the G protein-gated K+ channel, IKACh. 1995, Pubmed
Kunkel, Identification of domains conferring G protein regulation on inward rectifier potassium channels. 1995, Pubmed , Xenbase
Kurachi, Role of intracellular Mg2+ in the activation of muscarinic K+ channel in cardiac atrial cell membrane. 1986, Pubmed
Kurachi, G protein activation of cardiac muscarinic K+ channels. 1992, Pubmed
Logothetis, The beta gamma subunits of GTP-binding proteins activate the muscarinic K+ channel in heart. , Pubmed
Logothetis, Incremental reductions of positive charge within the S4 region of a voltage-gated K+ channel result in corresponding decreases in gating charge. 1992, Pubmed , Xenbase
Matsuda, Magnesium gating of the inwardly rectifying K+ channel. 1991, Pubmed
Nichols, Inward rectifier potassium channels. 1997, Pubmed
Reuveny, Activation of the cloned muscarinic potassium channel by G protein beta gamma subunits. 1994, Pubmed , Xenbase
Shyng, Membrane phospholipid control of nucleotide sensitivity of KATP channels. 1998, Pubmed
Silverman, Subunit stoichiometry of a heteromultimeric G protein-coupled inward-rectifier K+ channel. 1996, Pubmed , Xenbase
Stühmer, Electrophysiological recording from Xenopus oocytes. 1992, Pubmed , Xenbase
Sui, Na+ activation of the muscarinic K+ channel by a G-protein-independent mechanism. 1996, Pubmed , Xenbase
Sui, Activation of the atrial KACh channel by the betagamma subunits of G proteins or intracellular Na+ ions depends on the presence of phosphatidylinositol phosphates. 1998, Pubmed , Xenbase
Vivaudou, Skeletal muscle ATP-sensitive K+ channels recorded from sarcolemmal blebs of split fibers: ATP inhibition is reduced by magnesium and ADP. 1991, Pubmed
Zhainazarov, Effects of phosphatidylinositol 4,5-bisphosphate and phosphatidylinositol 4-phosphate on a Na+-gated nonselective cation channel. 1999, Pubmed
Zhang, Activation of inwardly rectifying K+ channels by distinct PtdIns(4,5)P2 interactions. 1999, Pubmed , Xenbase
