Click here to close
Hello! We notice that you are using Internet Explorer, which is not supported by Xenbase and may cause the site to display incorrectly.
We suggest using a current version of Chrome,
FireFox, or Safari.
???displayArticle.abstract???
The cystic fibrosis transmembrane conductance regulator (CFTR) Cl channel exhibits lyotropic anion selectivity. Anions that are more readily dehydrated than Cl exhibit permeability ratios (P(S)/P(Cl)) greater than unity and also bind more tightly in the channel. We compared the selectivity of CFTR to that of a synthetic anion-selective membrane [poly(vinyl chloride)-tridodecylmethylammonium chloride; PVC-TDMAC] for which the nature of the physical process that governs the anion-selective response is more readily apparent. The permeability and binding selectivity patterns of CFTR differed only by a multiplicative constant from that of the PVC-TDMAC membrane; and a continuum electrostatic model suggested that both patterns could be understood in terms of the differences in the relative stabilization of anions by water and the polarizable interior of the channel or synthetic membrane. The calculated energies of anion-channel interaction, derived from measurements of either permeability or binding, varied as a linear function of inverse ionic radius (1/r), as expected from a Born-type model of ion charging in a medium characterized by an effective dielectric constant of 19. The model predicts that large anions, like SCN, although they experience weaker interactions (relative to Cl) with water and also with the channel, are more permeant than Cl because anion-water energy is a steeper function of 1/r than is the anion-channel energy. These large anions also bind more tightly for the same reason: the reduced energy of hydration allows the net transfer energy (the well depth) to be more negative. This simple selectivity mechanism that governs permeability and binding acts to optimize the function of CFTR as a Cl filter. Anions that are smaller (more difficult to dehydrate) than Cl are energetically retarded from entering the channel, while the larger (more readily dehydrated) anions are retarded in their passage by "sticking" within the channel.
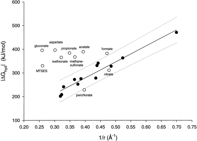
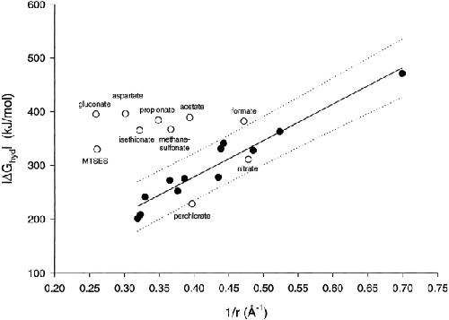
Figure 1. The absolute value of the hydration energy (|ΔGhyd|) plotted as a function of reciprocal anion radius (or equivalent sphere radius). The filled circles represent the halides and pseudohalides (Table ), and the open circles represent the polyatomic anions, which are noted on the figure for clarity. The solid line is the best fit to the data for the halides and pseudohalides; it has a slope of 674.5, y intercept of 8.8, and a correlation coefficient of 0.94. The dotted lines are the 95% prediction intervals (confidence intervals of the population).
Figure 2. (A) CFTR permeability selectivity and PVC-TDMAC membrane selectivity. CFTR permeability ratios (Table ) expressed as differences in the peak heights (kJ/mol) plotted as a function of Δ(ΔG)trans for the PVC-TDMAC membrane, which has the units of kilojoules per mole (see ). Both variables are defined with respect to tricyanomethanide, so that the y and x axes reflect, respectively, the magnitude of the increase in the apparent peak barrier height and the increase in the water-electrode transfer free energy. The line shown is a linear regression with a slope of 0.16 and correlation coefficient (r2) of 0.93. The iodide point (○) flagged with an asterisk reflects a PI/PCl of 2.1, as determined by Tabcharani et al. 1997, whereas the lower value (□), PI/PCl of 0.4, flagged with a double asterisk, is more often seen with CFTR (Anderson et al. 1991; Sheppard et al. 1993; Mansoura et al. 1998). (B) CFTR binding selectivity and PVC-TDMAC membrane selectivity. The ratio of the apparent half-maximal inhibition constants expressed as relative differences in well depth (kJ/mol) are plotted as a function of Δ(ΔG)trans for the PVC-TDMAC (kJ/mol). Both variables are defined with respect to tricyanomethanide. The line shown is a linear regression with a slope of 0.196 and a correlation coefficient of 0.73.
Figure 3. (A) Energetic analysis of PVC-TDMAC membrane selectivity. The filled circles represent the equilibrium transfer energy [Δ(ΔG)trans] for each anion relative to the value of C(CN)3 plotted as function of reciprocal anion radius, 1/r (Table ), and the dashed line is the best fit to the points. The solid line is the relative hydration energy [|Δ(ΔG)hyd|, C(CN)3 reference] calculated using and plotted versus 1/r. The dotted line is the relative solvation energy [|Δ(ΔG)solv|, C(CN)3 reference] calculated as Δ(ΔG)hyd − Δ(ΔG)trans. (A, inset) The free energy of transfer for a spherical test charge of 1-Å radius, plotted as a function of the dielectric constant of the medium to which the ion is being transferred from a vacuum according to . (B) Energetic analysis of CFTR permeability selectivity. The solid circles represent the relative peak height [Δ(ΔG)peak, C(CN)3 reference] calculated from the permeability ratios (Table ) plotted as function of reciprocal anion radius, 1/r (Table ). The dashed line is the best fit to the data points. The solid line is the relative hydration energy [|Δ(ΔG)hyd|, C(CN)3 reference] calculated using vs. 1/r. The dotted line is the apparent relative solvation energy [|Δ(ΔG)solv|] calculated by subtracting the best fit to the data points from |Δ(ΔG)hyd|.
Figure 4. Energetics of CFTR permeability selectivity expressed with respect to a vacuum reference phase. The filled circles represent the relative peak heights (ΔGpeak, vacuum reference) calculated from the permeability ratios (Table ) and plotted as a function of reciprocal anion radius, 1/r (Table ). The solid line is the hydration energy, |ΔGhyd|, calculated using , and plotted versus 1/r. The dotted line is the solvation energy, |ΔGsolv|, calculated for a homogenous medium with a dielectric constant of 19 using vs. 1/r. The dashed line is the predicted peak barrier height, ΔGpeak, calculated from the difference between the hydration energy and the solvation energy (ΔGsolv − ΔGhyd).
Figure 6. (A) Energetics of CFTR relative binding selectivity. The filled circles are the relative well depth [|Î(ÎG)well|, C(CN)3 reference] calculated using the ratio of the apparent inhibition constants (Table ) plotted as function of reciprocal anion radius, 1/r (Table ). The dashed line is the best fit to the data points. The solid line is the relative hydration energy [|Î(ÎG)hyd|, C(CN)3 reference] calculated using plotted vs. 1/r for reference. Due to the fact that the measurements were made with respect to Cl (see materials and methods), it is not possible to calculate a value for Cl; however, the plot permits an extrapolation for Cl based on the size of the anion (highlighted with an arrow). (B) Anion-channel stabilization energies at the binding site plotted with respect to a vacuum reference phase. The filled circles are the well depths set by fixing the well depth for SCN at 12.5 kJ/mol (5.1 RT, based on the dissociation constant of 6.4 mM reported by Tabcharani et al. 1993) and adding the hydration energy plotted as function of reciprocal anion radius, 1/r. The dashed line is the best fit to the data points. The Cl point (â) shown is the well depth of 8.2 kJ/mol, based on the reported dissociation constant for Cl of 38 mM reported by Tabcharani et al. 1997, shown for comparison. The solid line is the hydration energy, |ÎGhyd|, calculated using plotted vs. 1/r. The dotted line is the solvation energy, |ÎGsolv|, calculated for a homogenous medium with a dielectric constant of 19 using plotted vs. 1/r, as in Fig. 4. Note that values of transfer energy greater than the hydration energy reflect energetic wells, whereas values less than the hydration energy reflect energetic barriers.
Figure 5. Energetics of permeability selectivity for GABAR (A), GlyR (B), and the T84-ORCC (C). The filled circles represent the relative peak heights [Î(ÎG)peak, SCN reference] calculated from the reported permeability ratios (Bormann et al. 1987; Halm and Frizzell 1992) plotted as function of reciprocal anion radius, 1/r (Table ). The dashed line is the best fit to the data points. The solid line is the relative hydration energy [|Î(ÎG)hyd|, SCN reference] calculated using vs. 1/r. The dotted line is the apparent relative solvation energy [|Î(ÎG)solv|] calculated by subtracting the best fit to the data points from |Î(ÎG)hyd|.
Figure 7. Iodide block of CFTR current. (A) The solid line is the cAMP-activated current (10 μM forskolin + 1 mM IBMX) in standard frog ringer (materials and methods) for an oocyte expressing wtCFTR. The dashed line is the current 2 min after the addition of 5 mM NaI to the perfusate. (B) The solid line is the cAMP-activated current (10 μM forskolin + 1 mM IBMX) in a reduced Cl frog ringer (30 mM Cl; 70 mM aspartate) for an oocyte expressing wtCFTR. The dashed line is the current 2 min after the addition of 5 mM NaI to the perfusate. The data was collected using a ramp protocol as noted in materials and methods.
Figure 8. Model for permeation in Cl channels that exhibit lyotropic selectivity. (A) A channel that does not bind ions. An anion is indicated in three locations along with its inner sphere water molecules. (B) The inner âliningâ of the wtCFTR pore, with its anion binding site, suspended in water, with an anion in the proposed narrow region in which elements of the pore wall make inner sphere contact with the anion. (C) The wtCFTR channel with its anion binding site in a lipid bilayer. (D) The energetics of transfer. The solid trapezoidal line represents the energetic expense associated with partitioning into a âpolarizableâ tunnel embedded in a bilayer, envisioned in A. The dashed line represents the energetic well seen by an anion in the narrow region of the pore wall in free solution, as envisioned in B. The dotted line represents the profile of the total free energy (A + B) associated with traversing the wtCFTR channel embedded in a bilayer. The well depth and peak height are predicted to change in a parallel fashion due to the anion size-dependent changes in the free energy, which is shown in E for Cl (solid line) and a larger anion (dashed line), such as SCN. Anions that enter the channel more readily also bind more tightly.
Ackerman,
Hypotonicity activates a native chloride current in Xenopus oocytes.
1994, Pubmed,
Xenbase
Ackerman,
Hypotonicity activates a native chloride current in Xenopus oocytes.
1994,
Pubmed
,
Xenbase Andersen,
Molecular determinants of channel function.
1992,
Pubmed Andersen,
Perspectives on ion permeation.
1999,
Pubmed Anderson,
Demonstration that CFTR is a chloride channel by alteration of its anion selectivity.
1991,
Pubmed Aqvist,
Energetics of ion permeation through membrane channels. Solvation of Na+ by gramicidin A.
1989,
Pubmed Armstrong,
Potassium pores of nerve and muscle membranes.
1975,
Pubmed Bezanilla,
Negative conductance caused by entry of sodium and cesium ions into the potassium channels of squid axons.
1972,
Pubmed Bormann,
Mechanism of anion permeation through channels gated by glycine and gamma-aminobutyric acid in mouse cultured spinal neurones.
1987,
Pubmed Dawson,
Cystic fibrosis transmembrane conductance regulator. Permeant ions find the pore.
1997,
Pubmed Dawson,
CFTR: mechanism of anion conduction.
1999,
Pubmed Doyle,
The structure of the potassium channel: molecular basis of K+ conduction and selectivity.
1998,
Pubmed Drumm,
Chloride conductance expressed by delta F508 and other mutant CFTRs in Xenopus oocytes.
1991,
Pubmed
,
Xenbase Eisenman,
Ionic selectivity revisited: the role of kinetic and equilibrium processes in ion permeation through channels.
1983,
Pubmed EISENMAN,
Cation selective glass electrodes and their mode of operation.
1962,
Pubmed Fahlke,
Pore-forming segments in voltage-gated chloride channels.
1997,
Pubmed Finkelstein,
Permeability and electrical properties of thin lipid membranes.
1968,
Pubmed Gilson,
Calculation of the total electrostatic energy of a macromolecular system: solvation energies, binding energies, and conformational analysis.
1988,
Pubmed Gutman,
Quantitation of physical-chemical properties of the aqueous phase inside the phoE ionic channel.
1992,
Pubmed Halm,
Identifying swelling-activated channels from ion selectivity patterns.
1998,
Pubmed Halm,
Anion permeation in an apical membrane chloride channel of a secretory epithelial cell.
1992,
Pubmed Hille,
Ionic selectivity of Na and K channels of nerve membranes.
1975,
Pubmed Hille,
Ionic selectivity, saturation, and block in sodium channels. A four-barrier model.
1975,
Pubmed Karshikoff,
Electrostatic properties of two porin channels from Escherichia coli.
1994,
Pubmed Kowdley,
Hyperpolarization-activated chloride currents in Xenopus oocytes.
1994,
Pubmed
,
Xenbase Levitt,
Modeling of ion channels.
1999,
Pubmed Lewis,
Acetylcholine receptor channel ionic selectivity: ions experience an aqueous environment.
1983,
Pubmed Linsdell,
Multi-Ion mechanism for ion permeation and block in the cystic fibrosis transmembrane conductance regulator chloride channel.
1997,
Pubmed Linsdell,
Permeability of wild-type and mutant cystic fibrosis transmembrane conductance regulator chloride channels to polyatomic anions.
1997,
Pubmed Linsdell,
Non-pore lining amino acid side chains influence anion selectivity of the human CFTR Cl- channel expressed in mammalian cell lines.
1998,
Pubmed Linsdell,
Adenosine triphosphate-dependent asymmetry of anion permeation in the cystic fibrosis transmembrane conductance regulator chloride channel.
1998,
Pubmed Machaca,
Asymmetrical distribution of Ca-activated Cl channels in Xenopus oocytes.
1998,
Pubmed
,
Xenbase Mansoura,
2 barrier-1 site pore: an interactive spreadsheet model for two permeating ions.
1998,
Pubmed Mansoura,
Cystic fibrosis transmembrane conductance regulator (CFTR) anion binding as a probe of the pore.
1998,
Pubmed
,
Xenbase Nonner,
Progress and prospects in permeation.
1999,
Pubmed OVERBEEK,
The Donnan equilibrium.
1956,
Pubmed Partenskii,
Influence of a channel-forming peptide on energy barriers to ion permeation, viewed from a continuum dielectric perspective.
1994,
Pubmed Sansom,
The dielectric properties of water within model transbilayer pores.
1997,
Pubmed Sansom,
Water dynamics in model transbilayer pores.
1996,
Pubmed Sham,
The effect of protein relaxation on charge-charge interactions and dielectric constants of proteins.
1998,
Pubmed Sharp,
Electrostatic interactions in macromolecules: theory and applications.
1990,
Pubmed Sheppard,
Mutations in CFTR associated with mild-disease-form Cl- channels with altered pore properties.
1993,
Pubmed Tabcharani,
Halide permeation in wild-type and mutant cystic fibrosis transmembrane conductance regulator chloride channels.
1997,
Pubmed Tabcharani,
Multi-ion pore behaviour in the CFTR chloride channel.
1993,
Pubmed Urban,
Ion movements in gramicidin pores. An example of single-file transport.
1980,
Pubmed Yim,
Polymer membrane-based ion-, gas- and bio-selective potentiometric sensors.
1993,
Pubmed