Click here to close Hello! We notice that you are using Internet Explorer, which is not supported by Xenbase and may cause the site to display incorrectly. We suggest using a current version of Chrome, FireFox, or Safari.
XB-ART-10940
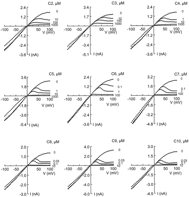
J Gen Physiol 2000 Jun 01;1156:799-814.
Show Gene links Show Anatomy links

Mechanism of IRK1 channel block by intracellular polyamines.

Guo D, Lu Z.


???displayArticle.abstract???
Intracellular polyamines inhibit the strongly rectifying IRK1 potassium channel by a mechanism different from that of a typical ionic pore blocker such as tetraethylammonium. As in other K(+) channels, in the presence of intracellular TEA, the IRK1 channel current decreases with increasing membrane voltage and eventually approaches zero. However, in the presence of intracellular polyamines, the channel current varies with membrane voltage in a complex manner: when membrane voltage is increased, the current decreases in two phases separated by a hump. Furthermore, contrary to the expectation for a nonpermeant ionic pore blocker, a significant residual IRK1 current persists at very positive membrane voltages; the amplitude of the residual current decreases with increasing polyamine concentration. This complex blocking behavior of polyamines can be accounted for by a minimal model whereby intracellular polyamines inhibit the IRK1 channel by inducing two blocked channel states. In each of the blocked states, a polyamine is bound with characteristic affinity and probability of traversing the pore. The proposal that polyamines traverse the pore at finite rates is supported by the observation that philanthotoxin-343 (spermine with a bulky chemical group attached to one end) acts as a nonpermeant ionic blocker in the IRK1 channel.

???displayArticle.pubmedLink??? 10828252
???displayArticle.pmcLink??? PMC2232894

???displayArticle.grants??? [+]

Species referenced: Xenopus laevis
Genes referenced: grik4 kcnj12 kcnj2 xk


???attribute.lit??? ???displayArticles.show???
References [+] :
Aleksandrov, Inward rectification of the IRK1 K+ channel reconstituted in lipid bilayers. 1996, Pubmed, Xenbase