Click here to close
Hello! We notice that you are using Internet Explorer, which is not supported by Xenbase and may cause the site to display incorrectly.
We suggest using a current version of Chrome,
FireFox, or Safari.
???displayArticle.abstract???
Activation of Wnt/beta-catenin target genes is regulated by a heterodimer of beta-catenin and the high mobility group box transcription factors of the lymphoid enhancer factor (LEF)/T-cell factor (TCF) family. In vertebrates, four LEF/TCF family members have been identified. They all contain a conserved beta-catenin-binding motif at the N terminus and a highly conserved high mobility group box for DNA binding. The core sequence between these motifs is less conserved and contributes to the specific properties of the individual family members. To identify interacting proteins that allocate specific functions to the individual LEF/TCF transcription factors, we performed a yeast two-hybrid screen using the less conserved core sequence as bait. We isolated the murine LIM protein HIC-5 (hydrogen peroxide-induced clone 5; also termed ARA-55 (androgen receptor activator of 55 kDa)) and cloned the highly conserved Xenopus homolog. In addition, we report that the LIM domain-containing C-terminal half of HIC-5 binds to a conserved alternatively spliced exon in LEF/TCF transcription factors. Our functional analyses revealed that HIC-5 acts as negative regulator of a subset of LEF/TCF family members, which have been characterized as activators in reporter gene analyses and in the Xenopus axis induction assay. In addition, we observed a repressive interference of LEF/TCF family members with HIC-5-mediated activation of glucocorticoid-driven transcription, which again could be allocated to specific LEF/TCF subtypes. With the characterization of HIC-5 as a binding partner of the alternatively spliced exon in LEF/TCF transcription factors, we identified a novel molecular mechanism in the dialog of steroid and canonical Wnt signaling that is LEF/TCF subtype-dependent.
FIGURE 1.
XHIC-5 binds to Xenopus TCF proteins. A, protein alignment of XHIC-5 with its human and murine orthologs reveals high homology in the LD and LIM domains. The three LD motifs are indicated, and the four LIM domains are illustrated by black bars. B, GST pull-down assay with in vitro translated XHIC-5 and immobilized Xenopus GST-LEF/TCF fusion proteins consisting of amino acids 63â274 for XLEF-1, amino acids 63â328 for XTCF-3, and amino acids 63â353 for XTCF-4 revealed that XHIC-5 specifically bound to XTCF-3 and XTCF-4, but only very weakly to XLEF-1. Recombinantly expressed GST-LEF/TCF fusion proteins were immobilized on glutathione-Sepharose and incubated with in vitro translated 35S-labeled XHIC-5. Upper panel, autoradiograph; lower panel, same gel stained with Coomassie Blue to demonstrate equal loading. The GST-DCOH fusion protein served as a negative control. C, GST pull-down assays with transfected Myc-tagged XHIC-5 confirmed the interaction with XTCF-3 and XTCF-4. Again, wild-type XLEF-1 hardly precipitated with immobilized GST-LEF/TCF fusion proteins. Recombinantly expressed GST-LEF/TCF fusion proteins were immobilized on glutathione-Sepharose and incubated with crude cell extracts of HEK293 cells transiently transfected with Myc-tagged XHIC-5. Upper panel, immunoblot stained with Myc epitope-specific monoclonal antibody 9E10; lower panel, same gel stained with Coomassie Blue to demonstrate equal loading. The GST-DCOH fusion protein served as a negative control.
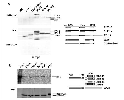
FIGURE 2.
The conserved exon in LEF/TCF is the binding domain for HIC-5. A, recombinantly expressed GST-mHIC-5 was immobilized on glutathione-Sepharose and incubated with cell lysates from HEK293 cells transfected with the indicated Myc-tagged LEF/TCF constructs. Samples were analyzed by Western blotting with Myc epitope-specific monoclonal antibody 9E10 for the presence of the transfected constructs. GST-DCOH served as a negative control. BBD, β-catenin-binding domain; DBD, DNA-binding domain. B, recombinantly expressed exons of XTCF-3 and XTCF-4 were immobilized on glutathione-Sepharose and incubated with in vitro translated 35S-labeled mHIC-5. Upper panel, autoradiograph; lower panel, same gel stained with Coomassie Blue to demonstrate equal loading.
FIGURE 3.
LEF/TCF proteins bind to the LIM domain-containing C-terminal half of HIC-5. The recombinantly expressed C-terminal half (GST-HIC-5ÎN, LIM domains, amino acids 212â430) and N-terminal half (GST-HIC-5ÎC, LD domains, amino acids 1â202) of mHIC-5 were immobilized on glutathione-Sepharose and incubated with in vitro translated 35S-labeled murine and human LEF/TCF proteins. Upper panels, auto-radiographs; lower panels, same gels stained with Coomassie Blue to demonstrate equal loading. GST-DCOH served as a negative control. BBD, β-catenin-binding domain; DBD, DNA-binding domain.
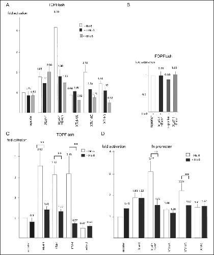
FIGURE 4.
HIC-5 represses LEF/TCF-induced target gene promoter activation. A, HEK293 cells were cotransfected with TOPFlash, cytomegalovirus (CMV)-β-galactosidase for normalization, and the indicated LEF/TCF constructs in the absence (white bars) or presence of mHIC-5 (black bars) or XHIC-5 (gray bars). B, HIC-5 did not regulate the FOPFlash promoter in either the presence or absence of XLEF-1+Exon. HEK293 cells were cotransfected with FOPFlash, CMV-β-galactosidase for normalization, and XLEF-1+Exon in the presence or absence of mHIC-5. C, HEK293 cells were cotransfected with TOPFlash, CMV-β-galactosidase, and the indicated human and murine LEF/TCF proteins in the absence (white bars) or presence (black bars) of mHIC-5. D, HEK293 cells were cotransfected with the Xenopus fibronectin (fn) promoter, CMV-β-galactosidase, and the indicated LEF/TCF proteins in the absence (white bars) or presence (black bars) of mHIC-5. Each bar represents the average of 6–14 transfections. The error bars indicate the S.E. **, significant difference (p < 0.05, Student's t test).
FIGURE 5.
HIC-5 suppresses canonical Wnt signaling in Xenopus embryos. Both ventral blastomeres of Xenopus four-cell stage embryos were injected with 500 pg or mLEF-1, XLEF-1, or mHIC-5 mRNA or co-injected with 500 pg of mHIC-5 mRNA + 500 pg of mLEF-1 or XLEF-1 mRNA. Embryos were cultivated until the neurula stage and analyzed for secondary axis formation. A, the phenotypes of injected embryos are shown. Secondary axes induced by mLEF-1 and XLEF-1 are best seen by the appearance of a secondary neural tube. B, secondary axis formation was quantified. n, number of injected embryos. C, embryos injected with 70 pg of XWNT-8 RNA revealed complete dorso-anteriorization, which is best seen by the appearance of a ring-shaped cement gland. Co-injection of 500 pg of HIC-5 mRNA resulted in a partial rescue and the appearance of secondary axis or in a complete rescue and the appearance of a single axis. D, expression of the Wnt target genes siamois and Xnr-3 was analyzed by reverse transcription-PCR in injected and uninjected stage 10.5 Xenopus embryos. H4, amplification of the histone H4 housekeeping gene; -RT, control amplification without reverse transcription.
FIGURE 6.
LEF/TCF proteins suppress HIC-5-induced steroid receptor activation. A, shown are the results from double staining of HeLa cells with a polyclonal antibody against HIC-5 (green) and a monoclonal antibody against TCF-3/4 or LEF-1 (red). Overlay of the HIC-5 signal with LEF/TCF signals revealed that HeLa cells contain substantial amounts of HIC-5 protein in the nucleus, where it co-localizes with LEF/TCF proteins. B, HeLa cells were cotransfected with MMTV-luciferase and CMV-β-galactosidase for normalization and treated with the indicated amounts of dexamethasone (Dexa). Each bar represents the mean value of at least seven transfections. The error bars indicate the S.E. C, reverse transcription-PCR analysis revealed that expression of the glucocorticoid receptor target genes p21cip1 and p27kip1 depends on the hormone concentration and the levels of HIC-5 and TCF. GAPDH, amplification of the housekeeping gene; -RT, control amplification of the housekeeping gene without reverse transcription. D, HeLa cells were cotransfected with MMTV-luciferase and CMV-β-galactosidase for normalization and the indicated Xenopus LEF/TCF constructs in the presence (black bars) or absence (white bars) of mHIC-5. The glucocorticoid receptor was activated by adding 10 nM dexamethasone dissolved in ethanol or by adding the solvent alone. Shown is the -fold activation by dexamethasone treatment normalized to ethanol treatment. E, the conditions were the same as described for D, but with mammalian LEF/TCF proteins. Each bar represents the mean value of at least seven transfections. The error bars indicate the S.E.