XB-ART-10544
J Cell Biol
2000 Aug 07;1503:499-512. doi: 10.1083/jcb.150.3.499.
Show Gene links
Show Anatomy links
A kinesin-related protein, KRP(180), positions prometaphase spindle poles during early sea urchin embryonic cell division.
Rogers GC, Chui KK, Lee EW, Wedaman KP, Sharp DJ, Holland G, Morris RL, Scholey JM.
???displayArticle.abstract???
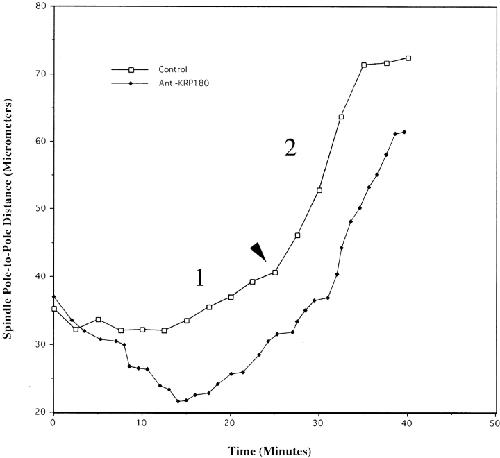
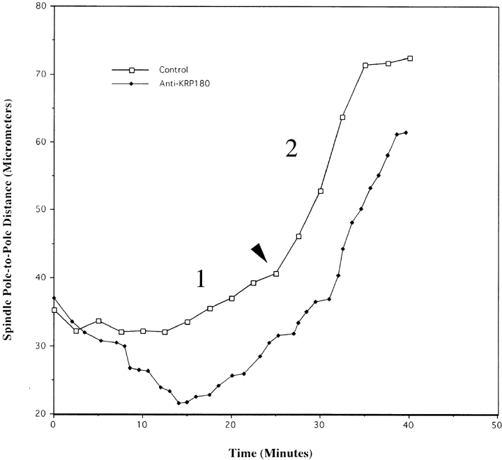
We have investigated the intracellular roles of an Xklp2-related kinesin motor, KRP(180), in positioning spindle poles during early sea urchin embryonic cell division using quantitative, real-time analysis. Immunolocalization reveals that KRP(180) concentrates on microtubules in the central spindle, but is absent from centrosomes. Microinjection of inhibitory antibodies and dominant negative constructs suggest that KRP(180) is not required for the initial separation of spindle poles, but instead functions to transiently position spindle poles specifically during prometaphase.
???displayArticle.pubmedLink??? 10931863
???displayArticle.pmcLink??? PMC2175202
???displayArticle.link??? J Cell Biol
???displayArticle.grants??? [+]
Species referenced: Xenopus
Genes referenced: cdk1 dnai1 dync1li1 kif15 mylkl tbx2
???attribute.lit??? ???displayArticles.show???
References [+] :
Boleti,
Xklp2, a novel Xenopus centrosomal kinesin-like protein required for centrosome separation during mitosis.
1996, Pubmed,
Xenbase
Boleti, Xklp2, a novel Xenopus centrosomal kinesin-like protein required for centrosome separation during mitosis. 1996, Pubmed , Xenbase
Chui, Roles of two homotetrameric kinesins in sea urchin embryonic cell division. 2000, Pubmed
Devereux, A comprehensive set of sequence analysis programs for the VAX. 1984, Pubmed
Echeverri, Molecular characterization of the 50-kD subunit of dynactin reveals function for the complex in chromosome alignment and spindle organization during mitosis. 1996, Pubmed
Goldstein, With apologies to scheherazade: tails of 1001 kinesin motors. 1993, Pubmed
Groigno, An anaphase calcium signal controls chromosome disjunction in early sea urchin embryos. 1998, Pubmed
Henson, Immunolocalization of the heterotrimeric kinesin-related protein KRP(85/95) in the mitotic apparatus of sea urchin embryos. 1995, Pubmed
Hinchcliffe, The coordination of centrosome reproduction with nuclear events of the cell cycle in the sea urchin zygote. 1998, Pubmed
Holzbaur, DYNEINS: molecular structure and cellular function. 1994, Pubmed
Hoyt, Genetic analysis of the mitotic spindle. 1996, Pubmed
Kashina, The bimC family of kinesins: essential bipolar mitotic motors driving centrosome separation. 1997, Pubmed
Kiehart, Microinjection of echinoderm eggs: apparatus and procedures. 1982, Pubmed
Lupas, Predicting coiled coils from protein sequences. 1991, Pubmed
Molina, A chromatin-associated kinesin-related protein required for normal mitotic chromosome segregation in Drosophila. 1997, Pubmed
Morris, Heterotrimeric kinesin-II is required for the assembly of motile 9+2 ciliary axonemes on sea urchin embryos. 1997, Pubmed
Mountain, The kinesin-related protein, HSET, opposes the activity of Eg5 and cross-links microtubules in the mammalian mitotic spindle. 1999, Pubmed , Xenbase
Nakagawa, Identification and classification of 16 new kinesin superfamily (KIF) proteins in mouse genome. 1997, Pubmed
Nigg, Cellular substrates of p34(cdc2) and its companion cyclin-dependent kinases. 1993, Pubmed
O'Connell, Suppression of the bimC4 mitotic spindle defect by deletion of klpA, a gene encoding a KAR3-related kinesin-like protein in Aspergillus nidulans. 1993, Pubmed
Pidoux, Fission yeast pkl1 is a kinesin-related protein involved in mitotic spindle function. 1996, Pubmed
Rogers, Amino acid sequences common to rapidly degraded proteins: the PEST hypothesis. 1986, Pubmed
Rogers, Identification of kinesin-C, a calmodulin-binding carboxy-terminal kinesin in animal (Strongylocentrotus purpuratus) cells. 1999, Pubmed
Saunders, Kinesin-related proteins required for structural integrity of the mitotic spindle. 1992, Pubmed
Sawin, Mitotic spindle organization by a plus-end-directed microtubule motor. 1992, Pubmed , Xenbase
Scholey, Functions of motor proteins in echinoderm embryos: an argument in support of antibody inhibition experiments. 1998, Pubmed
Sharp, Functional coordination of three mitotic motors in Drosophila embryos. 2000, Pubmed
Sharp, Antagonistic microtubule-sliding motors position mitotic centrosomes in Drosophila early embryos. 1999, Pubmed
Siegel, Determination of molecular weights and frictional ratios of proteins in impure systems by use of gel filtration and density gradient centrifugation. Application to crude preparations of sulfite and hydroxylamine reductases. 1966, Pubmed
Song, In vitro motility of AtKCBP, a calmodulin-binding kinesin protein of Arabidopsis. 1997, Pubmed
Starr, ZW10 helps recruit dynactin and dynein to the kinetochore. 1998, Pubmed
Vaisberg, Cytoplasmic dynein plays a role in mammalian mitotic spindle formation. 1993, Pubmed
Vernos, Chromosomes take the lead in spindle assembly. 1995, Pubmed
Vernos, Xklp1, a chromosomal Xenopus kinesin-like protein essential for spindle organization and chromosome positioning. 1995, Pubmed , Xenbase
Warrick, Myosin structure and function in cell motility. 1987, Pubmed
Wittmann, Localization of the kinesin-like protein Xklp2 to spindle poles requires a leucine zipper, a microtubule-associated protein, and dynein. 1998, Pubmed , Xenbase
Wright, Roles of kinesin and kinesin-like proteins in sea urchin embryonic cell division: evaluation using antibody microinjection. 1993, Pubmed
Zamyatnin, Protein volume in solution. 1972, Pubmed
