XB-GENEPAGE-6070708
Gene Symbol: thrb
Gene Name: thyroid hormone receptor, beta
| RNA-Seq and EST Transcriptome profiles | ???displayGene.tropicalis??? | ???displayGene.laevis???.L | ???displayGene.laevis???.S |
| RNA-Seq stage profile | Data from Owens et al. 2016 | Data from Session et al. 2016 | Data from Session et al. 2016 |
| ???displayGene.geoData??? | thrb.L | thrb.S | |
| Microarray Data | Data from Yanai et al. 2011 | Data from Yanai et al. 2011 | Data from Yanai et al. 2011 |
| Stage and Tissue Profiles | ||||||||
|
|
|
||||||
| Experimental Regulation (via RNA-seq) | ||
|
| ||
|
Source: Ding et al. 2017 (laevis) |
||
| Literature Images | Sort by: |
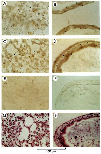
NF stage 52 Denver, et al. 2009 | NF stage 52 Denver, et al. 2009 | NF stage 52 Denver, et al. 2009 | NF stage 52 Hoopfer, et al. 2002 | NF stage 52 to NF stage 55 Fairclough, et al. 1997 | 6 more [+] |
