Click here to close Hello! We notice that you are using Internet Explorer, which is not supported by Xenbase and may cause the site to display incorrectly. We suggest using a current version of Chrome, FireFox, or Safari.

Profile Publications (18)
XB-PERS-619

Publications By Kelly A. McLaughlin

???pagination.result.count???

???pagination.result.page??? 1


Identification and Characterization of Static Craniofacial Defects in Pre-Metamorphic Xenopus laevis Tadpoles., Jones E, Fonticella JM, McLaughlin KA., J Dev Biol. July 25, 2025; 13 (3):


Adaptive correction of craniofacial defects in pre-metamorphic Xenopus laevis tadpoles involves thyroid hormone-independent tissue remodeling., Pinet K, Deolankar M, Leung B, McLaughlin KA., Development. July 22, 2019; 146 (14):   


Recovery of the Xenopus laevis heart from ROS-induced stress utilizes conserved pathways of cardiac regeneration., Jewhurst K, McLaughlin KA., Dev Growth Differ. April 1, 2019; 61 (3): 212-227.   


HCN4 ion channel function is required for early events that regulate anatomical left-right patterning in a nodal and lefty asymmetric gene expression-independent manner., Pai VP, Willocq V, Pitcairn EJ, Lemire JM, Paré JF, Shi NQ, McLaughlin KA, Levin M., Biol Open. October 15, 2017; 6 (10): 1445-1457.   


Coordinating heart morphogenesis: A novel role for hyperpolarization-activated cyclic nucleotide-gated (HCN) channels during cardiogenesis in Xenopus laevis., Pitcairn E, Harris H, Epiney J, Pai VP, Lemire JM, Ye B, Shi NQ, Levin M, McLaughlin KA., Commun Integr Biol. May 10, 2017; 10 (3): e1309488.   


Use of Xenopus Frogs to Study Renal Development/Repair., Droz ST, McLaughlin KA., Results Probl Cell Differ. January 1, 2017; 60 77-107.


Optogenetic Control of Apoptosis in Targeted Tissues of Xenopus laevis Embryos., Jewhurst K, Levin M, McLaughlin KA., J Cell Death. October 13, 2014; 7 25-31.   


Regeneration of functional pronephric proximal tubules after partial nephrectomy in Xenopus laevis., Caine ST, Mclaughlin KA., Dev Dyn. March 1, 2013; 242 (3): 219-29.   


Acute atrazine exposure disrupts matrix metalloproteinases and retinoid signaling during organ morphogenesis in Xenopus laevis., Lenkowski JR, McLaughlin KA., J Appl Toxicol. August 1, 2010; 30 (6): 582-9.


Low concentrations of atrazine, glyphosate, 2,4-dichlorophenoxyacetic acid, and triadimefon exposures have diverse effects on Xenopus laevis organ morphogenesis., Lenkowski JR, Sanchez-Bravo G, McLaughlin KA., J Environ Sci (China). January 1, 2010; 22 (9): 1305-8.


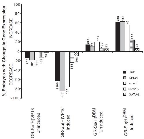
Coordinating the timing of cardiac precursor development during gastrulation: a new role for Notch signaling., Miazga CM, McLaughlin KA., Dev Biol. September 15, 2009; 333 (2): 285-96.   


Perturbation of organogenesis by the herbicide atrazine in the amphibian Xenopus laevis., Lenkowski JR, Reed JM, Deininger L, McLaughlin KA., Environ Health Perspect. February 1, 2008; 116 (2): 223-30.   


Patterning the embryonic kidney: BMP signaling mediates the differentiation of the pronephric tubules and duct in Xenopus laevis., Bracken CM, Mizeracka K, McLaughlin KA., Dev Dyn. January 1, 2008; 237 (1): 132-44.   


Subdividing the embryo: a role for Notch signaling during germ layer patterning in Xenopus laevis., Contakos SP, Gaydos CM, Pfeil EC, McLaughlin KA., Dev Biol. December 1, 2005; 288 (1): 294-307.   


The mitochondrial-apoptotic pathway is triggered in Xenopus mesoderm cells deprived of PDGF receptor signaling during gastrulation., Van Stry M, McLaughlin KA, Ataliotis P, Symes K., Dev Biol. April 1, 2004; 268 (1): 232-42.   


Isolation and characterization of Xenopus Hey-1: a downstream mediator of Notch signaling., Rones MS, Woda J, Mercola M, McLaughlin KA., Dev Dyn. December 1, 2002; 225 (4): 554-60.   


Notch regulates cell fate in the developing pronephros., McLaughlin KA, Rones MS, Mercola M., Dev Biol. November 15, 2000; 227 (2): 567-80.   


Serrate and Notch specify cell fates in the heart field by suppressing cardiomyogenesis., Rones MS, McLaughlin KA, Raffin M, Mercola M., Development. September 1, 2000; 127 (17): 3865-76.   

???pagination.result.page??? 1