|
XB-PERS-5021
Publications By Lauren A O'Connell
???pagination.result.count??????pagination.result.page??? 1
|
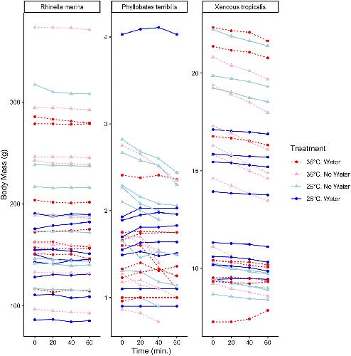
Water Availability and Temperature as Modifiers of Evaporative Water Loss in Tropical Frogs., Juarez BH, Quintanilla-Salinas I, Lacey MP, O'Connell LA., Integr Comp Biol. September 17, 2024; 64 (2): 354-365. |
|
Comparative analysis of amphibian genomes: An emerging resource for basic and applied research., Kosch TA, Crawford AJ, Lockridge Mueller R, Wollenberg Valero KC, Power ML, Rodríguez A, O'Connell LA, Young ND, Skerratt LF., Mol Ecol Resour. January 4, 2024; 25 (1): e14025. |
|
Albino Xenopus laevis tadpoles prefer dark environments compared to wild type., Adebogun GT, Bachmann AE, Callan AA, Khan U, Lewis AR, Pollock AC, Alfonso SA, Arango Sumano D, Bhatt DA, Cullen AB, Hajian CM, Huang W, Jaeger EL, Li E, Maske AK, Offenberg EG, Ta V, Whiting WW, McKinney JE, Butler J, O'Connell LA., MicroPubl Biol. January 1, 2023; 2023 |
|
Multi-glomerular projection of single olfactory receptor neurons is conserved among amphibians., Weiss L, Jungblut LD, Pozzi AG, Zielinski BS, O'Connell LA, Hassenklöver T, Manzini I., J Comp Neurol. September 1, 2020; 528 (13): 2239-2253. |
|
Bringing immersive science to undergraduate laboratory courses using CRISPR gene knockouts in frogs and butterflies., Martin A, Wolcott NS, O'Connell LA., J Exp Biol. February 7, 2020; 223 (Pt Suppl 1): |
|
Conservation of Glomerular Organization in the Main Olfactory Bulb of Anuran Larvae., Weiss L, Jungblut LD, Pozzi AG, O'Connell LA, Hassenklöver T, Manzini I., Front Neuroanat. January 1, 2020; 14 44. |
???pagination.result.page??? 1
